B vitamins and their combination could reduce migraine headaches: A randomized double-blind controlled trial.

IF 0.5 Q4 CLINICAL NEUROLOGY
Shiva Nematgorgani, Soodeh Razeghi-Jahromi, Elham Jafari, Mansoureh Togha, Pegah Rafiee, Zeinab Ghorbani, Zeynab Sadat Ahmadi, Vali Baigi
{"title":"B vitamins and their combination could reduce migraine headaches: A randomized double-blind controlled trial.","authors":"Shiva Nematgorgani, Soodeh Razeghi-Jahromi, Elham Jafari, Mansoureh Togha, Pegah Rafiee, Zeinab Ghorbani, Zeynab Sadat Ahmadi, Vali Baigi","doi":"10.18502/cjn.v21i2.10494","DOIUrl":null,"url":null,"abstract":"<p><p><b>Background:</b> The B vitamins can potentially help prevent migraine. This study was designed to examine the effects of supplementation with thiamine (B1), pyridoxine (B6), cobalamin (B12), folic acid (B9), and a combination of these vitamins on women with episodic migraine (EM). <b>Methods:</b> This study was a double-blind, placebo-controlled, randomized, clinical trial conducted on 120 women with EM. The participants were divided into the 6 groups of B1 (n = 20), B6 (n = 20), B12 (n = 20), B9 (n = 20), vitamin B complex (n = 20), and placebo (n = 20). Subjects received 1 capsule daily for 12 weeks. As part of the baseline and post-intervention phases, paper-based headache diaries were used to record the number of abortive drugs consumed and the frequency of headache attacks, and the Migraine Disability Assessment Questionnaire (MIDAS) was used to assess migraine disability. <b>Results:</b> A 16-week study on women with EM revealed that the mean changes in the frequency of headache attacks decreased significantly in all vitamin groups in comparison with the placebo group (P < 0.001). In contrast to the placebo, there was also a significant improvement in the migraine disability score in each vitamin group (P < 0.001). The 12-week supplementation with vitamins B9, B1, B6, B12, and B complex also brought on a significant decrease in the use of abortive drugs compared to the placebo group (P = 0.032). <b>Conclusion:</b> The results of this study showed that B1, B6, B12, and B9, and a combination of these vitamins could be effective as an adjuvant in treatment and prophylaxis of EM. Further large trials with long-term follow-ups will be required to confirm our results.</p>","PeriodicalId":40077,"journal":{"name":"Current Journal of Neurology","volume":"21 1","pages":"105-118"},"PeriodicalIF":0.5000,"publicationDate":"2022-04-04","publicationTypes":"Journal Article","fieldsOfStudy":null,"isOpenAccess":false,"openAccessPdf":"https://www.ncbi.nlm.nih.gov/pmc/articles/PMC9860208/pdf/","citationCount":"1","resultStr":null,"platform":"Semanticscholar","paperid":null,"PeriodicalName":"Current Journal of Neurology","FirstCategoryId":"1085","ListUrlMain":"https://doi.org/10.18502/cjn.v21i2.10494","RegionNum":0,"RegionCategory":null,"ArticlePicture":[],"TitleCN":null,"AbstractTextCN":null,"PMCID":null,"EPubDate":"","PubModel":"","JCR":"Q4","JCRName":"CLINICAL NEUROLOGY","Score":null,"Total":0}
引用次数: 1

Abstract

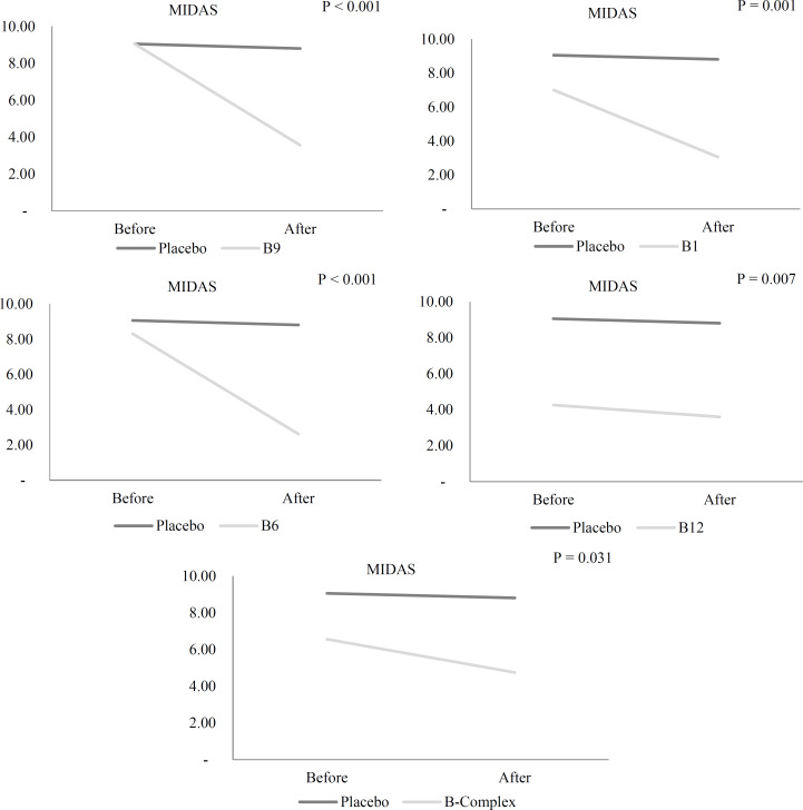
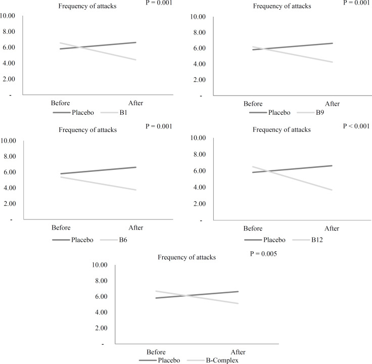
Background: The B vitamins can potentially help prevent migraine. This study was designed to examine the effects of supplementation with thiamine (B1), pyridoxine (B6), cobalamin (B12), folic acid (B9), and a combination of these vitamins on women with episodic migraine (EM). Methods: This study was a double-blind, placebo-controlled, randomized, clinical trial conducted on 120 women with EM. The participants were divided into the 6 groups of B1 (n = 20), B6 (n = 20), B12 (n = 20), B9 (n = 20), vitamin B complex (n = 20), and placebo (n = 20). Subjects received 1 capsule daily for 12 weeks. As part of the baseline and post-intervention phases, paper-based headache diaries were used to record the number of abortive drugs consumed and the frequency of headache attacks, and the Migraine Disability Assessment Questionnaire (MIDAS) was used to assess migraine disability. Results: A 16-week study on women with EM revealed that the mean changes in the frequency of headache attacks decreased significantly in all vitamin groups in comparison with the placebo group (P < 0.001). In contrast to the placebo, there was also a significant improvement in the migraine disability score in each vitamin group (P < 0.001). The 12-week supplementation with vitamins B9, B1, B6, B12, and B complex also brought on a significant decrease in the use of abortive drugs compared to the placebo group (P = 0.032). Conclusion: The results of this study showed that B1, B6, B12, and B9, and a combination of these vitamins could be effective as an adjuvant in treatment and prophylaxis of EM. Further large trials with long-term follow-ups will be required to confirm our results.

Abstract Image

Abstract Image

Abstract Image

B族维生素及其组合可以减轻偏头痛:一项随机双盲对照试验
背景:B族维生素可能有助于预防偏头痛。本研究旨在研究补充硫胺素(B1)、吡哆醇(B6)、钴胺素(B12)、叶酸(B9)以及这些维生素的组合对发作性偏头痛(EM)妇女的影响。方法:本研究是一项双盲、安慰剂对照、随机的临床试验,对120名患有EM的女性进行。参与者被分为6组:B1组(n=20)、B6组(n=2 0)、B12组(n=3 0)、B9组(n=4 0)、维生素B复合物组(n=5 0)和安慰剂组(n=6 0)。受试者在12周内每天服用1粒胶囊。作为基线和干预后阶段的一部分,使用纸质头痛日记来记录服用流产药物的数量和头痛发作的频率,并使用偏头痛残疾评估问卷(MIDAS)来评估偏头痛残疾。结果:一项针对EM女性的为期16周的研究显示,与安慰剂组相比,所有维生素组头痛发作频率的平均变化都显著降低(P<0.001)。与安慰剂相比,每个维生素组的偏头痛残疾评分也有显著改善(P<001),与安慰剂组相比,B12和B复合物也显著减少了流产药物的使用(P=0.032)。结论:本研究的结果表明,B1、B6、B12和B9以及这些维生素的组合可以有效地作为佐剂治疗和预防EM。还需要进一步的长期随访大型试验来证实我们的结果。
本文章由计算机程序翻译,如有差异,请以英文原文为准。
求助全文
约1分钟内获得全文 求助全文
来源期刊
Current Journal of Neurology
Current Journal of Neurology CLINICAL NEUROLOGY-
CiteScore
0.80
自引率
14.30%
发文量
30
审稿时长
12 weeks
×
引用
GB/T 7714-2015
复制
MLA
复制
APA
复制
导出至
BibTeX EndNote RefMan NoteFirst NoteExpress
×
提示
您的信息不完整,为了账户安全,请先补充。
现在去补充
×
提示
您因"违规操作"
具体请查看互助需知
我知道了
×
提示
确定
请完成安全验证×
copy
已复制链接
快去分享给好友吧!
我知道了
右上角分享
点击右上角分享
0
联系我们:info@booksci.cn Book学术提供免费学术资源搜索服务,方便国内外学者检索中英文文献。致力于提供最便捷和优质的服务体验。 Copyright © 2023 布克学术 All rights reserved.
京ICP备2023020795号-1
ghs 京公网安备 11010802042870号
Book学术文献互助
Book学术文献互助群
群 号:604180095
Book学术官方微信