A Retrospective, Observational, EMR-Based Real-World Evidence Study to Assess the Incidence of Pedal Edema in Essential Hypertensive Patients on Amlodipine or Cilnidipine.

IF 1.7 4区 医学 Q3 PERIPHERAL VASCULAR DISEASE
International Journal of Hypertension Pub Date : 2022-02-23 eCollection Date: 2022-01-01 DOI:10.1155/2022/6868143
Jamshed Dalal, J P Sawhney, P B Jayagopal, P K Hazra, Mohammed Yunus Khan, Kumar Gaurav, Colette Pinto, Amey Mane, Sachin Rao, Madhur Jain
{"title":"A Retrospective, Observational, EMR-Based Real-World Evidence Study to Assess the Incidence of Pedal Edema in Essential Hypertensive Patients on Amlodipine or Cilnidipine.","authors":"Jamshed Dalal, J P Sawhney, P B Jayagopal, P K Hazra, Mohammed Yunus Khan, Kumar Gaurav, Colette Pinto, Amey Mane, Sachin Rao, Madhur Jain","doi":"10.1155/2022/6868143","DOIUrl":null,"url":null,"abstract":"<p><strong>Introduction: </strong>Calcium channel blockers have pedal edema as one of the confining factors of treatment. A real-world study may help evident reality of the situation in regular Indian clinical practice. The aim of the study is to assess effectiveness and incidence of pedal edema in essential hypertensive patients treated with amlodipine or cilnidipine monotherapy.</p><p><strong>Methods: </strong>Retrospective EMR data of adult essential hypertensive patients, prescribed amlodipine (<i>n</i> = 800) or cilnidipine (<i>n</i> = 800) as monotherapy, were analyzed. Incidence of pedal edema from baseline visit was analyzed in terms of dose and duration of treatment. The changes in systolic (SBP) and diastolic blood pressure (DBP) from baseline and proportion of patients achieving target BP goals were assessed.</p><p><strong>Results: </strong>In amlodipine and cilnidipine groups, mean changes in SBP and DBP from baseline to end of the study period were 28.4 and 15.1 mmHg and 24.3 and 13.5 mmHg, respectively (<i>p</i> value <0.05). More than 50% of patients in both groups achieved BP goal at the end of the study (<i>p</i> value 0.266). In amlodipine group, total 23.9% reported pedal edema, while in cilnidipine, 27.6% (<i>p</i> value 0.0863). At the end of the study, 3.5% and 8.2% of patients remain with pedal edema, respectively, in both groups (<i>pvalue</i> <0.005).</p><p><strong>Conclusion: </strong>Amlodipine demonstrated greater BP reduction at a lower average dose, better efficacy, and tolerability in terms of pedal edema count as a lesser number of patients reported edema at the end of the study and a higher percentage of patients continued the prescribed baseline dosage regimen as compared to cilnidipine. Thus, the study established amlodipine as an effective and well-tolerated antihypertensive for Indians.</p>","PeriodicalId":14132,"journal":{"name":"International Journal of Hypertension","volume":"2022 1","pages":"6868143"},"PeriodicalIF":1.7000,"publicationDate":"2022-02-23","publicationTypes":"Journal Article","fieldsOfStudy":null,"isOpenAccess":false,"openAccessPdf":"https://www.ncbi.nlm.nih.gov/pmc/articles/PMC8890895/pdf/","citationCount":"0","resultStr":null,"platform":"Semanticscholar","paperid":null,"PeriodicalName":"International Journal of Hypertension","FirstCategoryId":"3","ListUrlMain":"https://doi.org/10.1155/2022/6868143","RegionNum":4,"RegionCategory":"医学","ArticlePicture":[],"TitleCN":null,"AbstractTextCN":null,"PMCID":null,"EPubDate":"2022/1/1 0:00:00","PubModel":"eCollection","JCR":"Q3","JCRName":"PERIPHERAL VASCULAR DISEASE","Score":null,"Total":0}
引用次数: 0

Abstract

Introduction: Calcium channel blockers have pedal edema as one of the confining factors of treatment. A real-world study may help evident reality of the situation in regular Indian clinical practice. The aim of the study is to assess effectiveness and incidence of pedal edema in essential hypertensive patients treated with amlodipine or cilnidipine monotherapy.

Methods: Retrospective EMR data of adult essential hypertensive patients, prescribed amlodipine (n = 800) or cilnidipine (n = 800) as monotherapy, were analyzed. Incidence of pedal edema from baseline visit was analyzed in terms of dose and duration of treatment. The changes in systolic (SBP) and diastolic blood pressure (DBP) from baseline and proportion of patients achieving target BP goals were assessed.

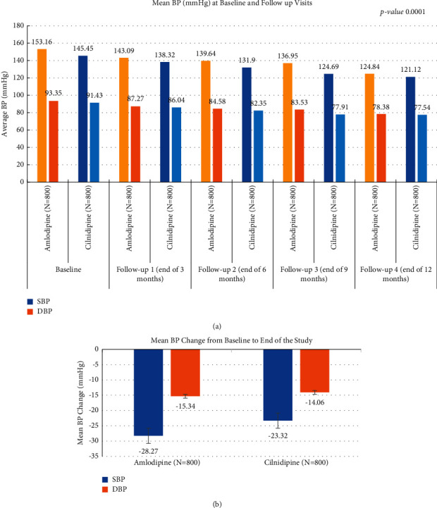
Results: In amlodipine and cilnidipine groups, mean changes in SBP and DBP from baseline to end of the study period were 28.4 and 15.1 mmHg and 24.3 and 13.5 mmHg, respectively (p value <0.05). More than 50% of patients in both groups achieved BP goal at the end of the study (p value 0.266). In amlodipine group, total 23.9% reported pedal edema, while in cilnidipine, 27.6% (p value 0.0863). At the end of the study, 3.5% and 8.2% of patients remain with pedal edema, respectively, in both groups (pvalue <0.005).

Conclusion: Amlodipine demonstrated greater BP reduction at a lower average dose, better efficacy, and tolerability in terms of pedal edema count as a lesser number of patients reported edema at the end of the study and a higher percentage of patients continued the prescribed baseline dosage regimen as compared to cilnidipine. Thus, the study established amlodipine as an effective and well-tolerated antihypertensive for Indians.

Abstract Image

Abstract Image

Abstract Image

一项基于EMR的回顾性、观察性、真实世界证据研究,用于评估服用氨氯地平或西尼地平的原发性高血压患者踏板水肿的发生率
钙通道阻滞剂是治疗足跖水肿的限制因素之一。一项真实世界的研究可能有助于在印度的常规临床实践中明确现实情况。本研究的目的是评估氨氯地平或西尼地平单药治疗原发性高血压患者踏板水肿的有效性和发生率。方法回顾性分析成年原发性高血压患者服用氨氯地平(n = 800)或西尼地平(n = 800)作为单一疗法进行分析。根据治疗剂量和持续时间分析基线访视时踏板水肿的发生率。评估了自基线以来收缩压(SBP)和舒张压(DBP)的变化以及达到目标血压目标的患者比例。结果氨氯地平和西尼地平组从基线到研究结束SBP和DBP的平均变化分别为28.4和15.1 mmHg和24.3和13.5 mmHg(p值<0.05)。在研究结束时,两组中超过50%的患者实现了BP目标(p值0.266)。氨氯地平组中,共有23.9%的患者报告了踏板水肿,而西尼地平组为27.6%(p值0.0863)。在研究结束时,分别有3.5%和8.2%的患者仍然存在踏板水肿,结论氨氯地平在较低的平均剂量下表现出更大的血压降低,在踏板水肿计数方面表现出更好的疗效和耐受性,因为与西尼地平相比,在研究结束时报告水肿的患者数量较少,继续使用规定的基线剂量方案的患者比例较高。因此,该研究确定氨氯地平是一种对印度人有效且耐受性良好的降压药。
本文章由计算机程序翻译,如有差异,请以英文原文为准。
求助全文
约1分钟内获得全文 求助全文
来源期刊
International Journal of Hypertension
International Journal of Hypertension Medicine-Internal Medicine
CiteScore
4.00
自引率
5.30%
发文量
45
期刊介绍: International Journal of Hypertension is a peer-reviewed, Open Access journal that provides a forum for clinicians and basic scientists interested in blood pressure regulation and pathophysiology, as well as treatment and prevention of hypertension. The journal publishes original research articles, review articles, and clinical studies on the etiology and risk factors of hypertension, with a special focus on vascular biology, epidemiology, pediatric hypertension, and hypertensive nephropathy.
×
引用
GB/T 7714-2015
复制
MLA
复制
APA
复制
导出至
BibTeX EndNote RefMan NoteFirst NoteExpress
×
提示
您的信息不完整,为了账户安全,请先补充。
现在去补充
×
提示
您因"违规操作"
具体请查看互助需知
我知道了
×
提示
确定
请完成安全验证×
copy
已复制链接
快去分享给好友吧!
我知道了
右上角分享
点击右上角分享
0
联系我们:info@booksci.cn Book学术提供免费学术资源搜索服务,方便国内外学者检索中英文文献。致力于提供最便捷和优质的服务体验。 Copyright © 2023 布克学术 All rights reserved.
京ICP备2023020795号-1
ghs 京公网安备 11010802042870号
Book学术文献互助
Book学术文献互助群
群 号:604180095
Book学术官方微信