The effect of spatial resolution on deep learning classification of lung cancer histopathology.

IF 2.1
BJR open Pub Date : 2023-08-15 eCollection Date: 2023-01-01 DOI:10.1259/bjro.20230008
Mitchell Wiebe, Christina Haston, Michael Lamey, Apurva Narayan, Rasika Rajapakshe
{"title":"The effect of spatial resolution on deep learning classification of lung cancer histopathology.","authors":"Mitchell Wiebe, Christina Haston, Michael Lamey, Apurva Narayan, Rasika Rajapakshe","doi":"10.1259/bjro.20230008","DOIUrl":null,"url":null,"abstract":"<p><strong>Objective: </strong>The microscopic analysis of biopsied lung nodules represents the gold-standard for definitive diagnosis of lung cancer. Deep learning has achieved pathologist-level classification of non-small cell lung cancer histopathology images at high resolutions (0.5-2 µm/px), and recent studies have revealed tomography-histology relationships at lower spatial resolutions. Thus, we tested whether patterns for histological classification of lung cancer could be detected at spatial resolutions such as those offered by ultra-high-resolution CT.</p><p><strong>Methods: </strong>We investigated the performance of a deep convolutional neural network (inception-v3) to classify lung histopathology images at lower spatial resolutions than that of typical pathology. Models were trained on 2167 histopathology slides from The Cancer Genome Atlas to differentiate between lung cancer tissues (adenocarcinoma (LUAD) and squamous-cell carcinoma (LUSC)), and normal dense tissue. Slides were accessed at 2.5 × magnification (4 µm/px) and reduced resolutions of 8, 16, 32, 64, and 128 µm/px were simulated by applying digital low-pass filters.</p><p><strong>Results: </strong>The classifier achieved area under the curve ≥0.95 for all classes at spatial resolutions of 4-16 µm/px, and area under the curve ≥0.95 for differentiating normal tissue from the two cancer types at 128 µm/px.</p><p><strong>Conclusions: </strong>Features for tissue classification by deep learning exist at spatial resolutions below what is typically viewed by pathologists.</p><p><strong>Advances in knowledge: </strong>We demonstrated that a deep convolutional network could differentiate normal and cancerous lung tissue at spatial resolutions as low as 128 µm/px and LUAD, LUSC, and normal tissue as low as 16 µm/px. Our data, and results of tomography-histology studies, indicate that these patterns should also be detectable within tomographic data at these resolutions.</p>","PeriodicalId":72419,"journal":{"name":"BJR open","volume":" ","pages":"20230008"},"PeriodicalIF":2.1000,"publicationDate":"2023-08-15","publicationTypes":"Journal Article","fieldsOfStudy":null,"isOpenAccess":false,"openAccessPdf":"https://www.ncbi.nlm.nih.gov/pmc/articles/PMC10636338/pdf/","citationCount":"0","resultStr":null,"platform":"Semanticscholar","paperid":null,"PeriodicalName":"BJR open","FirstCategoryId":"1085","ListUrlMain":"https://doi.org/10.1259/bjro.20230008","RegionNum":0,"RegionCategory":null,"ArticlePicture":[],"TitleCN":null,"AbstractTextCN":null,"PMCID":null,"EPubDate":"2023/1/1 0:00:00","PubModel":"eCollection","JCR":"","JCRName":"","Score":null,"Total":0}
引用次数: 0

Abstract

Objective: The microscopic analysis of biopsied lung nodules represents the gold-standard for definitive diagnosis of lung cancer. Deep learning has achieved pathologist-level classification of non-small cell lung cancer histopathology images at high resolutions (0.5-2 µm/px), and recent studies have revealed tomography-histology relationships at lower spatial resolutions. Thus, we tested whether patterns for histological classification of lung cancer could be detected at spatial resolutions such as those offered by ultra-high-resolution CT.

Methods: We investigated the performance of a deep convolutional neural network (inception-v3) to classify lung histopathology images at lower spatial resolutions than that of typical pathology. Models were trained on 2167 histopathology slides from The Cancer Genome Atlas to differentiate between lung cancer tissues (adenocarcinoma (LUAD) and squamous-cell carcinoma (LUSC)), and normal dense tissue. Slides were accessed at 2.5 × magnification (4 µm/px) and reduced resolutions of 8, 16, 32, 64, and 128 µm/px were simulated by applying digital low-pass filters.

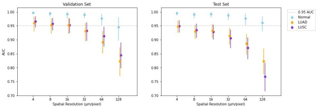
Results: The classifier achieved area under the curve ≥0.95 for all classes at spatial resolutions of 4-16 µm/px, and area under the curve ≥0.95 for differentiating normal tissue from the two cancer types at 128 µm/px.

Conclusions: Features for tissue classification by deep learning exist at spatial resolutions below what is typically viewed by pathologists.

Advances in knowledge: We demonstrated that a deep convolutional network could differentiate normal and cancerous lung tissue at spatial resolutions as low as 128 µm/px and LUAD, LUSC, and normal tissue as low as 16 µm/px. Our data, and results of tomography-histology studies, indicate that these patterns should also be detectable within tomographic data at these resolutions.

Abstract Image

Abstract Image

Abstract Image

空间分辨率对肺癌组织病理学深度学习分类的影响
肺结节活检的显微镜分析是确定诊断癌症的金标准。深度学习已经实现了高分辨率非小细胞肺癌癌症组织病理学图像的病理学级别分类(0.5–2 µm/px),最近的研究揭示了较低空间分辨率下的断层扫描-组织学关系。因此,我们测试了是否可以在超高分辨率CT等空间分辨率下检测到癌症的组织学分类模式。我们研究了深度卷积神经网络(inception-v3)在低于典型病理学的空间分辨率下对肺组织病理学图像进行分类的性能。在来自癌症基因组图谱的2167张组织病理学切片上训练模型,以区分癌症组织(腺癌(LUAD)和鳞状细胞癌(LUSC))和正常致密组织。载玻片以2.5倍放大(4 µm/px),分辨率降低到8、16、32、64和128 µm/px通过应用数字低通滤波器进行模拟。分类器在4-16的空间分辨率下实现了所有类别的曲线下面积≥0.95 μm/px,曲线下面积≥0.95,用于在128区分正常组织和两种癌症类型 µm/px。通过深度学习进行组织分类的特征存在于低于病理学家通常看到的空间分辨率下。我们证明,深度卷积网络可以在低至128的空间分辨率下区分正常和癌性肺组织 µm/px,LUAD、LUSC和正常组织低至16 µm/px。我们的数据以及断层扫描-组织学研究的结果表明,在这些分辨率的断层扫描数据中也应该可以检测到这些模式。
本文章由计算机程序翻译,如有差异,请以英文原文为准。
求助全文
约1分钟内获得全文 求助全文
来源期刊
自引率
0.00%
发文量
0
审稿时长
18 weeks
×
引用
GB/T 7714-2015
复制
MLA
复制
APA
复制
导出至
BibTeX EndNote RefMan NoteFirst NoteExpress
×
提示
您的信息不完整,为了账户安全,请先补充。
现在去补充
×
提示
您因"违规操作"
具体请查看互助需知
我知道了
×
提示
确定
请完成安全验证×
copy
已复制链接
快去分享给好友吧!
我知道了
右上角分享
点击右上角分享
0
联系我们:info@booksci.cn Book学术提供免费学术资源搜索服务,方便国内外学者检索中英文文献。致力于提供最便捷和优质的服务体验。 Copyright © 2023 布克学术 All rights reserved.
京ICP备2023020795号-1
ghs 京公网安备 11010802042870号
Book学术文献互助
Book学术文献互助群
群 号:604180095
Book学术官方微信