Performance of the CYBERLEGs motorized lower limb prosthetic device during simulated daily activities.

IF 2.8 Q2 ENGINEERING, BIOMEDICAL
Wearable technologies Pub Date : 2021-11-22 eCollection Date: 2021-01-01 DOI:10.1017/wtc.2021.15
Jo Ghillebert, Joost Geeroms, Louis Flynn, Sander De Bock, Renée Govaerts, Elke Lathouwers, Simona Crea, Nicola Vitiello, Dirk Lefeber, Romain Meeusen, Kevin De Pauw
{"title":"Performance of the CYBERLEGs motorized lower limb prosthetic device during simulated daily activities.","authors":"Jo Ghillebert, Joost Geeroms, Louis Flynn, Sander De Bock, Renée Govaerts, Elke Lathouwers, Simona Crea, Nicola Vitiello, Dirk Lefeber, Romain Meeusen, Kevin De Pauw","doi":"10.1017/wtc.2021.15","DOIUrl":null,"url":null,"abstract":"<p><strong>Background: </strong>The CYBERLEGs-gamma (CLs-ɣ) prosthesis has been developed to investigate the possibilities of powerful active prosthetics in restoring human gait capabilities after lower limb amputation.</p><p><strong>Objective: </strong>The objective of this study was to determine the performance of the CLs-ɣ prosthesis during simulated daily activities.</p><p><strong>Methods: </strong>Eight participants with a transfemoral amputation (age: 55 ± 15 years, <i>K</i>-level 3, registered under: NCT03376919) performed a familiarization session, an experimental session with their current prosthesis, three training sessions with the CLs-ɣ prosthesis and another experimental session with the CLs-ɣ prosthesis. Participants completed a stair-climbing-test, a timed-up-and-go-test, a sit-to stand-test, a 2-min dual-task and a 6-min treadmill walk test.</p><p><strong>Results: </strong>Comparisons between the two experimental sessions showed that stride length significantly increased during walking with the CLs-ɣ prosthesis (<i>p</i> = .012) due to a greater step length of the amputated leg (<i>p</i> = .035). Although a training period with the prototype was included, preferred walking speed was significantly slower (<i>p</i> = .018), the metabolic cost of transport was significantly higher (<i>p</i> = .028) and reaction times significantly worsened (<i>p</i> = .012) when walking with the CLs-ɣ compared to the current prosthesis.</p><p><strong>Conclusions: </strong>It can be stated that a higher physical and cognitive effort were required when wearing the CLs-ɣ prosthesis. Positive outcomes were observed regarding stride length and stair ambulation. Future prosthetics development should minimize the weight of the device and integrate customized control systems. A recommendation for future research is to include several shorter training periods or a prolonged adaptation period.</p>","PeriodicalId":75318,"journal":{"name":"Wearable technologies","volume":"2 1","pages":"e15"},"PeriodicalIF":2.8000,"publicationDate":"2021-11-22","publicationTypes":"Journal Article","fieldsOfStudy":null,"isOpenAccess":false,"openAccessPdf":"https://www.ncbi.nlm.nih.gov/pmc/articles/PMC10936386/pdf/","citationCount":"0","resultStr":null,"platform":"Semanticscholar","paperid":null,"PeriodicalName":"Wearable technologies","FirstCategoryId":"1085","ListUrlMain":"https://doi.org/10.1017/wtc.2021.15","RegionNum":0,"RegionCategory":null,"ArticlePicture":[],"TitleCN":null,"AbstractTextCN":null,"PMCID":null,"EPubDate":"2021/1/1 0:00:00","PubModel":"eCollection","JCR":"Q2","JCRName":"ENGINEERING, BIOMEDICAL","Score":null,"Total":0}
引用次数: 0

Abstract

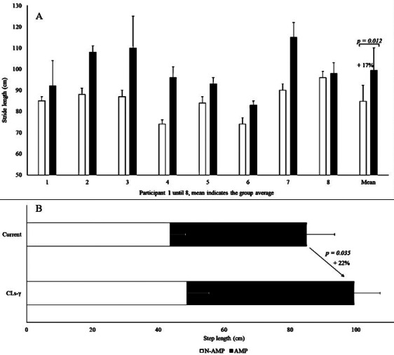
Background: The CYBERLEGs-gamma (CLs-ɣ) prosthesis has been developed to investigate the possibilities of powerful active prosthetics in restoring human gait capabilities after lower limb amputation.

Objective: The objective of this study was to determine the performance of the CLs-ɣ prosthesis during simulated daily activities.

Methods: Eight participants with a transfemoral amputation (age: 55 ± 15 years, K-level 3, registered under: NCT03376919) performed a familiarization session, an experimental session with their current prosthesis, three training sessions with the CLs-ɣ prosthesis and another experimental session with the CLs-ɣ prosthesis. Participants completed a stair-climbing-test, a timed-up-and-go-test, a sit-to stand-test, a 2-min dual-task and a 6-min treadmill walk test.

Results: Comparisons between the two experimental sessions showed that stride length significantly increased during walking with the CLs-ɣ prosthesis (p = .012) due to a greater step length of the amputated leg (p = .035). Although a training period with the prototype was included, preferred walking speed was significantly slower (p = .018), the metabolic cost of transport was significantly higher (p = .028) and reaction times significantly worsened (p = .012) when walking with the CLs-ɣ compared to the current prosthesis.

Conclusions: It can be stated that a higher physical and cognitive effort were required when wearing the CLs-ɣ prosthesis. Positive outcomes were observed regarding stride length and stair ambulation. Future prosthetics development should minimize the weight of the device and integrate customized control systems. A recommendation for future research is to include several shorter training periods or a prolonged adaptation period.

Abstract Image

Abstract Image

Abstract Image

CYBERLEGs电动下肢假肢装置在模拟日常活动中的表现
研究人员开发了CYBERLEGs-gamma (CLs- γ)假肢,以研究强大的主动假肢在下肢截肢后恢复人类步态能力的可能性。目的本研究的目的是确定CLs- α假体在模拟日常活动中的性能。方法8例经股截肢患者(年龄55±15岁,k等级3,注册号:NCT03376919)进行熟悉训练、现有假体实验、3次CLs- α假体训练和1次CLs- α假体实验。参与者完成了爬楼梯测试、计时起身测试、坐转站测试、2分钟双任务测试和6分钟跑步机步行测试。结果两个实验阶段的比较表明,由于断肢的步长更大(p = 0.035),使用CLs- β义肢行走时步幅明显增加(p = 0.012)。尽管包括使用原型的训练时间,但与目前的假肢相比,使用CLs- α行走时,首选步行速度明显较慢(p = 0.018),运输代谢成本显着较高(p = 0.028),反应时间显着恶化(p = 0.012)。结论使用CLs- α义肢时,需要付出更高的体力和认知努力。在步幅和楼梯行走方面观察到积极的结果。未来义肢的发展应该尽量减少设备的重量,并集成定制的控制系统。对未来研究的建议是包括几个较短的训练期或较长的适应期。
本文章由计算机程序翻译,如有差异,请以英文原文为准。
求助全文
约1分钟内获得全文 求助全文
来源期刊
CiteScore
5.80
自引率
0.00%
发文量
0
审稿时长
11 weeks
×
引用
GB/T 7714-2015
复制
MLA
复制
APA
复制
导出至
BibTeX EndNote RefMan NoteFirst NoteExpress
×
提示
您的信息不完整,为了账户安全,请先补充。
现在去补充
×
提示
您因"违规操作"
具体请查看互助需知
我知道了
×
提示
确定
请完成安全验证×
copy
已复制链接
快去分享给好友吧!
我知道了
右上角分享
点击右上角分享
0
联系我们:info@booksci.cn Book学术提供免费学术资源搜索服务,方便国内外学者检索中英文文献。致力于提供最便捷和优质的服务体验。 Copyright © 2023 布克学术 All rights reserved.
京ICP备2023020795号-1
ghs 京公网安备 11010802042870号
Book学术文献互助
Book学术文献互助群
群 号:604180095
Book学术官方微信