Learning Spelling From Meaning.

IF 1.3 4区 心理学 Q4 PSYCHOLOGY, EXPERIMENTAL
Anezka Smejkalova, Fabienne Chetail
{"title":"Learning Spelling From Meaning.","authors":"Anezka Smejkalova, Fabienne Chetail","doi":"10.1027/1618-3169/a000587","DOIUrl":null,"url":null,"abstract":"<p><p><b></b> According to the instance-based approach, each novel word encounter is encoded as an episodic trace, including different aspects of word knowledge (orthography, semantics, phonology) and context. Experiencing the novel word again leads to reactivating the previous instances to support word identification. Accordingly, once a link between orthography and meaning is established through several instances of co-occurrence, presenting the novel word form enhances semantic learning even if the contexts are uninformative about the meaning (Eskenazi et al., 2018). Here, we investigated whether informative contexts enhance orthographic learning in the absence of the novel word form. Participants read pseudowords in three definition-like sentences, followed by three unrelated filler sentences (baseline condition), three uninformative sentences (orthographic condition), or three informative sentences with synonyms replacing the pseudoword (semantic condition). After reading, participants were better at spelling pseudowords exposed in the semantic than in the baseline condition and recalled more definitions of the pseudowords exposed in the orthographic than in the baseline condition. Such results indicate that both semantic and orthographic learning benefit from the contexts where the target information is absent. Overall, this supports the instance-based approach and contributes to the understanding of the interplay between orthography and semantics in contextual word learning.</p>","PeriodicalId":12173,"journal":{"name":"Experimental psychology","volume":"70 3","pages":"145-154"},"PeriodicalIF":1.3000,"publicationDate":"2023-05-01","publicationTypes":"Journal Article","fieldsOfStudy":null,"isOpenAccess":false,"openAccessPdf":"https://www.ncbi.nlm.nih.gov/pmc/articles/PMC10658638/pdf/","citationCount":"0","resultStr":null,"platform":"Semanticscholar","paperid":null,"PeriodicalName":"Experimental psychology","FirstCategoryId":"102","ListUrlMain":"https://doi.org/10.1027/1618-3169/a000587","RegionNum":4,"RegionCategory":"心理学","ArticlePicture":[],"TitleCN":null,"AbstractTextCN":null,"PMCID":null,"EPubDate":"","PubModel":"","JCR":"Q4","JCRName":"PSYCHOLOGY, EXPERIMENTAL","Score":null,"Total":0}
引用次数: 0

Abstract

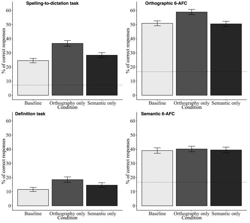
According to the instance-based approach, each novel word encounter is encoded as an episodic trace, including different aspects of word knowledge (orthography, semantics, phonology) and context. Experiencing the novel word again leads to reactivating the previous instances to support word identification. Accordingly, once a link between orthography and meaning is established through several instances of co-occurrence, presenting the novel word form enhances semantic learning even if the contexts are uninformative about the meaning (Eskenazi et al., 2018). Here, we investigated whether informative contexts enhance orthographic learning in the absence of the novel word form. Participants read pseudowords in three definition-like sentences, followed by three unrelated filler sentences (baseline condition), three uninformative sentences (orthographic condition), or three informative sentences with synonyms replacing the pseudoword (semantic condition). After reading, participants were better at spelling pseudowords exposed in the semantic than in the baseline condition and recalled more definitions of the pseudowords exposed in the orthographic than in the baseline condition. Such results indicate that both semantic and orthographic learning benefit from the contexts where the target information is absent. Overall, this supports the instance-based approach and contributes to the understanding of the interplay between orthography and semantics in contextual word learning.

Abstract Image

Abstract Image

Abstract Image

从意义中学习拼写。
根据基于实例的方法,每一个新颖的单词相遇都被编码为情节痕迹,包括单词知识的不同方面(正字法、语义、音韵学)和上下文。再次体验新单词会导致重新激活以前的实例以支持单词识别。因此,一旦通过几个共现实例建立了正字法和意义之间的联系,即使上下文对意义没有信息,呈现新的单词形式也会增强语义学习(Eskenazi et al.,2018)。在这里,我们研究了在没有新颖的单词形式的情况下,信息上下文是否能增强正字法学习。参与者阅读三个类似定义的句子中的假字,然后是三个不相关的填充句(基线条件)、三个无信息句(正字法条件),或者用同义词代替假名的三个信息性句子(语义条件)。阅读后,参与者比基线条件下更善于拼写语义中暴露的假词,并回忆起比基线条件中更多的正字法中暴露的假词的定义。这些结果表明,语义和正字法学习都受益于目标信息缺失的环境。总的来说,这支持了基于实例的方法,并有助于理解上下文单词学习中正字法和语义之间的相互作用。
本文章由计算机程序翻译,如有差异,请以英文原文为准。
求助全文
约1分钟内获得全文 求助全文
来源期刊
Experimental psychology
Experimental psychology PSYCHOLOGY, EXPERIMENTAL-
CiteScore
2.00
自引率
7.70%
发文量
18
期刊介绍: As its name implies, Experimental Psychology (ISSN 1618-3169) publishes innovative, original, high-quality experimental research in psychology — quickly! It aims to provide a particularly fast outlet for such research, relying heavily on electronic exchange of information which begins with the electronic submission of manuscripts, and continues throughout the entire review and production process. The scope of the journal is defined by the experimental method, and so papers based on experiments from all areas of psychology are published. In addition to research articles, Experimental Psychology includes occasional theoretical and review articles.
×
引用
GB/T 7714-2015
复制
MLA
复制
APA
复制
导出至
BibTeX EndNote RefMan NoteFirst NoteExpress
×
提示
您的信息不完整,为了账户安全,请先补充。
现在去补充
×
提示
您因"违规操作"
具体请查看互助需知
我知道了
×
提示
确定
请完成安全验证×
copy
已复制链接
快去分享给好友吧!
我知道了
右上角分享
点击右上角分享
0
联系我们:info@booksci.cn Book学术提供免费学术资源搜索服务,方便国内外学者检索中英文文献。致力于提供最便捷和优质的服务体验。 Copyright © 2023 布克学术 All rights reserved.
京ICP备2023020795号-1
ghs 京公网安备 11010802042870号
Book学术文献互助
Book学术文献互助群
群 号:604180095
Book学术官方微信