Novel insights into weight loss: acupuncture combined with a very low-carbohydrate diet-a Swiss experience.

IF 2.6 3区 医学 Q2 INTEGRATIVE & COMPLEMENTARY MEDICINE
Acupuncture in Medicine Pub Date : 2023-12-01 Epub Date: 2023-10-03 DOI:10.1177/09645284231202811
Massimo Fumagalli, Raymond G Landgraaf, Nadège N Schiavi-Lods, Sorin S Golcea, Harry R Büller, Max Nieuwdorp
{"title":"Novel insights into weight loss: acupuncture combined with a very low-carbohydrate diet-a Swiss experience.","authors":"Massimo Fumagalli, Raymond G Landgraaf, Nadège N Schiavi-Lods, Sorin S Golcea, Harry R Büller, Max Nieuwdorp","doi":"10.1177/09645284231202811","DOIUrl":null,"url":null,"abstract":"<p><strong>Objective: </strong>The objective of this study was to assess the effects of an acupuncture-diet program for treatment of overweight and obesity.</p><p><strong>Methods: </strong>The program consisted of weekly acupuncture sessions combined with a very low-carbohydrate diet in patients with a body mass index (BMI) of 25 kg/m<sup>2</sup> or above. Data were collected retrospectively between 2002 and 2021 in seven clinics in Switzerland through automated data extraction of existing medical records. The treatments described are standard care at the facilities where they took place.</p><p><strong>Results: </strong>A total of 11,233 patients were included. In those with a BMI of 25 kg/m<sup>2</sup> or above, a positive effect on body weight was noted with a peak average body weight loss of approximately 17.5 kg reached after 7 months. Long-term stabilization was at about 15.5 kg after 18 months. Significant male-female differences (p < 0.01) were observed with women losing less weight. Differences were also noted between overweight, obese and extremely obese patients suggesting a BMI-dependent effect. Maximum weight loss of patients with BMI of 35 kg/m<sup>2</sup> or above was 29.8 ± 12 kg, while it was 18.8 ± 8 kg for obese patients (BMI = 30-34.9 kg/m<sup>2</sup>) and 12 ± 7 kg for overweight patients (BMI = 25-29.9 kg/m<sup>2</sup>), reflecting a significant overall difference between groups (p < 0.01). Compliance to the protocol by patients and physicians seemed to be another differentiating factor; more adherent patients appeared to lose more weight and preserve body weight loss better over time.</p><p><strong>Conclusion: </strong>Although this study lacked a control group and was retrospective and observational in nature, a program of acupuncture combined with a very low-carbohydrate diet appeared to be effective at inducing weight loss among obese patients. The observed weight reduction in this retrospective chart review represents a good starting point for further investigation of this approach via a comparative evaluation.</p>","PeriodicalId":7257,"journal":{"name":"Acupuncture in Medicine","volume":" ","pages":"327-335"},"PeriodicalIF":2.6000,"publicationDate":"2023-12-01","publicationTypes":"Journal Article","fieldsOfStudy":null,"isOpenAccess":false,"openAccessPdf":"https://www.ncbi.nlm.nih.gov/pmc/articles/PMC10656784/pdf/","citationCount":"1","resultStr":null,"platform":"Semanticscholar","paperid":null,"PeriodicalName":"Acupuncture in Medicine","FirstCategoryId":"3","ListUrlMain":"https://doi.org/10.1177/09645284231202811","RegionNum":3,"RegionCategory":"医学","ArticlePicture":[],"TitleCN":null,"AbstractTextCN":null,"PMCID":null,"EPubDate":"2023/10/3 0:00:00","PubModel":"Epub","JCR":"Q2","JCRName":"INTEGRATIVE & COMPLEMENTARY MEDICINE","Score":null,"Total":0}
引用次数: 1

Abstract

Objective: The objective of this study was to assess the effects of an acupuncture-diet program for treatment of overweight and obesity.

Methods: The program consisted of weekly acupuncture sessions combined with a very low-carbohydrate diet in patients with a body mass index (BMI) of 25 kg/m2 or above. Data were collected retrospectively between 2002 and 2021 in seven clinics in Switzerland through automated data extraction of existing medical records. The treatments described are standard care at the facilities where they took place.

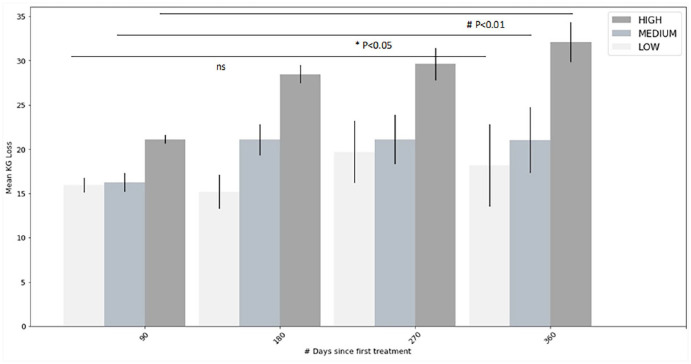
Results: A total of 11,233 patients were included. In those with a BMI of 25 kg/m2 or above, a positive effect on body weight was noted with a peak average body weight loss of approximately 17.5 kg reached after 7 months. Long-term stabilization was at about 15.5 kg after 18 months. Significant male-female differences (p < 0.01) were observed with women losing less weight. Differences were also noted between overweight, obese and extremely obese patients suggesting a BMI-dependent effect. Maximum weight loss of patients with BMI of 35 kg/m2 or above was 29.8 ± 12 kg, while it was 18.8 ± 8 kg for obese patients (BMI = 30-34.9 kg/m2) and 12 ± 7 kg for overweight patients (BMI = 25-29.9 kg/m2), reflecting a significant overall difference between groups (p < 0.01). Compliance to the protocol by patients and physicians seemed to be another differentiating factor; more adherent patients appeared to lose more weight and preserve body weight loss better over time.

Conclusion: Although this study lacked a control group and was retrospective and observational in nature, a program of acupuncture combined with a very low-carbohydrate diet appeared to be effective at inducing weight loss among obese patients. The observed weight reduction in this retrospective chart review represents a good starting point for further investigation of this approach via a comparative evaluation.

Abstract Image

Abstract Image

Abstract Image

减肥新见解:针灸结合极低碳水化合物饮食——瑞士经验。
目的:本研究的目的是评估针灸饮食方案治疗超重和肥胖的效果。方法:该项目包括对体重指数(BMI)为25的患者进行每周针灸治疗,并结合极低碳水化合物饮食 kg/m2或以上。数据是通过对现有医疗记录的自动数据提取,在2002年至2021年间在瑞士的七家诊所进行回顾性收集的。所描述的治疗是在进行治疗的设施中进行的标准护理。结果:共纳入11233例患者。在那些BMI为25的人中 kg/m2或以上,对体重有积极影响,峰值平均体重减轻约17.5 7后达到kg 月。长期稳定在15.5左右 18岁后的公斤 月。显著的男女差异(p 2或以上为29.8 ± 12 公斤,而它是18.8 ± 8. 肥胖患者的体重(BMI = 30-34.9 kg/m2)和12 ± 7. 超重患者的体重(BMI = 25-29.9 kg/m2),反映出各组之间的显著总体差异(p 结论:尽管这项研究缺乏对照组,并且具有回顾性和观察性,但针灸结合极低碳水化合物饮食似乎能有效诱导肥胖患者的体重减轻。在本次回顾性图表审查中观察到的体重减轻为通过比较评估进一步研究这种方法提供了一个良好的起点。
本文章由计算机程序翻译,如有差异,请以英文原文为准。
求助全文
约1分钟内获得全文 求助全文
来源期刊
Acupuncture in Medicine
Acupuncture in Medicine INTEGRATIVE & COMPLEMENTARY MEDICINE-
CiteScore
4.70
自引率
4.00%
发文量
59
审稿时长
6-12 weeks
期刊介绍: Acupuncture in Medicine aims to promote the scientific understanding of acupuncture and related treatments by publishing scientific investigations of their effectiveness and modes of action as well as articles on their use in health services and clinical practice. Acupuncture in Medicine uses the Western understanding of neurophysiology and anatomy to interpret the effects of acupuncture.
×
引用
GB/T 7714-2015
复制
MLA
复制
APA
复制
导出至
BibTeX EndNote RefMan NoteFirst NoteExpress
×
提示
您的信息不完整,为了账户安全,请先补充。
现在去补充
×
提示
您因"违规操作"
具体请查看互助需知
我知道了
×
提示
确定
请完成安全验证×
copy
已复制链接
快去分享给好友吧!
我知道了
右上角分享
点击右上角分享
0
联系我们:info@booksci.cn Book学术提供免费学术资源搜索服务,方便国内外学者检索中英文文献。致力于提供最便捷和优质的服务体验。 Copyright © 2023 布克学术 All rights reserved.
京ICP备2023020795号-1
ghs 京公网安备 11010802042870号
Book学术文献互助
Book学术文献互助群
群 号:604180095
Book学术官方微信