Transcriptomic Analyses Reveals Molecular Regulation of Photosynthesis by Epichloë endophyte in Achnatherum inebrians under Blumeria graminis Infection.

Yue Zhu, Shibo Zhu, Fang Zhang, Zhenrui Zhao, Michael J Christensen, Zhibiao Nan, Xingxu Zhang
{"title":"Transcriptomic Analyses Reveals Molecular Regulation of Photosynthesis by <i>Epichloë</i> endophyte in <i>Achnatherum inebrians</i> under <i>Blumeria graminis</i> Infection.","authors":"Yue Zhu,&nbsp;Shibo Zhu,&nbsp;Fang Zhang,&nbsp;Zhenrui Zhao,&nbsp;Michael J Christensen,&nbsp;Zhibiao Nan,&nbsp;Xingxu Zhang","doi":"10.3390/jof8111201","DOIUrl":null,"url":null,"abstract":"<p><p>Photosynthesis is essential for the growth of all green plants, and the presence of an <i>Epichloë</i> endophyte enhances the photosynthesis of <i>Achnatherum inebrians</i> (drunken horse grass, DHG), including when it is under attack by fungal pathogens. However, few studies have examined the mechanism of the increased photosynthetic activity at the molecular level of <i>A. inebrians</i> when it is under pathogen stress. The present study investigated the effects of the presence of the <i>Epichloë</i> endophyte on the net photosynthetic rate, intercellular CO<sub>2</sub> concentration, stomatal conductance, and transpiration rate of DHG plants under a <i>Blumeria graminis</i> infection condition, and we compared the transcriptomes using RNA sequencing. The results showed that the photosynthetic rate of <i>Epichloë</i> endophyte-infected (E+) plants was higher under the <i>B. graminis</i> infection condition, and also without this pathogen, when it was compared with <i>Epichloë</i> endophyte-free (E-) plants. The E+ plants uninfected with <i>B. graminis</i> had 15 up-regulated unigenes that are involved in photosynthesis which were compared to the E- plants that were uninfected with this pathogen. This suggests that the presence of an <i>Epichloë</i> endophyte up-regulates the genes that are involved in the process of photosynthesis.</p>","PeriodicalId":520671,"journal":{"name":"Journal of fungi (Basel, Switzerland)","volume":" ","pages":""},"PeriodicalIF":0.0000,"publicationDate":"2022-11-14","publicationTypes":"Journal Article","fieldsOfStudy":null,"isOpenAccess":false,"openAccessPdf":"https://www.ncbi.nlm.nih.gov/pmc/articles/PMC9695909/pdf/","citationCount":"2","resultStr":null,"platform":"Semanticscholar","paperid":null,"PeriodicalName":"Journal of fungi (Basel, Switzerland)","FirstCategoryId":"99","ListUrlMain":"https://doi.org/10.3390/jof8111201","RegionNum":0,"RegionCategory":null,"ArticlePicture":[],"TitleCN":null,"AbstractTextCN":null,"PMCID":null,"EPubDate":"","PubModel":"","JCR":"","JCRName":"","Score":null,"Total":0}
引用次数: 2

Abstract

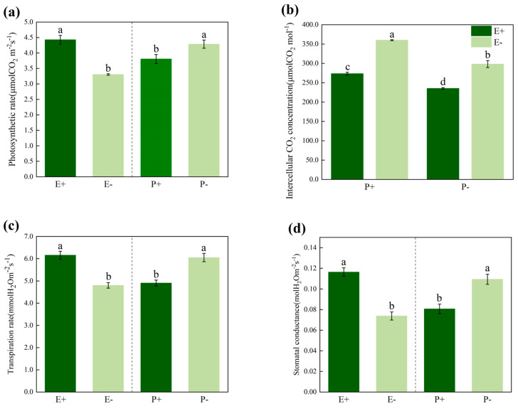
Photosynthesis is essential for the growth of all green plants, and the presence of an Epichloë endophyte enhances the photosynthesis of Achnatherum inebrians (drunken horse grass, DHG), including when it is under attack by fungal pathogens. However, few studies have examined the mechanism of the increased photosynthetic activity at the molecular level of A. inebrians when it is under pathogen stress. The present study investigated the effects of the presence of the Epichloë endophyte on the net photosynthetic rate, intercellular CO2 concentration, stomatal conductance, and transpiration rate of DHG plants under a Blumeria graminis infection condition, and we compared the transcriptomes using RNA sequencing. The results showed that the photosynthetic rate of Epichloë endophyte-infected (E+) plants was higher under the B. graminis infection condition, and also without this pathogen, when it was compared with Epichloë endophyte-free (E-) plants. The E+ plants uninfected with B. graminis had 15 up-regulated unigenes that are involved in photosynthesis which were compared to the E- plants that were uninfected with this pathogen. This suggests that the presence of an Epichloë endophyte up-regulates the genes that are involved in the process of photosynthesis.

Abstract Image

Abstract Image

Abstract Image

转录组学分析揭示Epichloë内生菌对禾本科蓝灰菌侵染下酒牛膝草光合作用的分子调控
光合作用对所有绿色植物的生长都是必不可少的,Epichloë内生菌的存在增强了酒马草(Achnatherum inebrians, DHG)的光合作用,包括当它受到真菌病原体的攻击时。然而,很少有研究从分子水平上探讨酒葡萄在病原菌胁迫下提高光合活性的机制。本研究研究了Epichloë内生菌的存在对蓝草侵染条件下DHG植株净光合速率、胞间CO2浓度、气孔导度和蒸腾速率的影响,并利用RNA测序对转录组进行了比较。结果表明:Epichloë内生菌侵染(E+)植株与Epichloë无内生菌侵染(E-)植株相比,在禾本科芽孢杆菌侵染条件下的光合速率更高,未侵染的植株光合速率也更高。与未侵染的E+植株相比,未侵染的E+植株有15个参与光合作用的基因上调。这表明Epichloë内生菌的存在上调了参与光合作用过程的基因。
本文章由计算机程序翻译,如有差异,请以英文原文为准。
求助全文
约1分钟内获得全文 求助全文
来源期刊
自引率
0.00%
发文量
0
×
引用
GB/T 7714-2015
复制
MLA
复制
APA
复制
导出至
BibTeX EndNote RefMan NoteFirst NoteExpress
×
提示
您的信息不完整,为了账户安全,请先补充。
现在去补充
×
提示
您因"违规操作"
具体请查看互助需知
我知道了
×
提示
确定
请完成安全验证×
copy
已复制链接
快去分享给好友吧!
我知道了
右上角分享
点击右上角分享
0
联系我们:info@booksci.cn Book学术提供免费学术资源搜索服务,方便国内外学者检索中英文文献。致力于提供最便捷和优质的服务体验。 Copyright © 2023 布克学术 All rights reserved.
京ICP备2023020795号-1
ghs 京公网安备 11010802042870号
Book学术文献互助
Book学术文献互助群
群 号:604180095
Book学术官方微信