Abnormal liver-related biomarkers in COVID-19 patients and the role of prealbumin.

IF 2
Tao Li, Ying Guo, Xianghua Zhuang, Laigang Huang, Xingqian Zhang, Fengtao Wei, Baohua Yang
{"title":"Abnormal liver-related biomarkers in COVID-19 patients and the role of prealbumin.","authors":"Tao Li,&nbsp;Ying Guo,&nbsp;Xianghua Zhuang,&nbsp;Laigang Huang,&nbsp;Xingqian Zhang,&nbsp;Fengtao Wei,&nbsp;Baohua Yang","doi":"10.4103/sjg.SJG_239_20","DOIUrl":null,"url":null,"abstract":"<p><strong>Background/aims: </strong>We aimed to evaluate the distribution of abnormal liver-related biomarkers in patients with coronavirus disease (COVID-19) and explore the prognostic value of elevated liver enzymes and abnormal liver synthetic capacity with regards to patient mortality.</p><p><strong>Patients and methods: </strong>This retrospective observational study included 80 laboratory-confirmed COVID-19 cases. Data were collected from the electronic medical record system by a trained team of physicians. Alanine aminotransferase (ALT), aspartate aminotransferase (AST), total bilirubin (TB), albumin, and prealbumin levels at admission and on day 7 after admission were collected. The primary outcome of the current study was patient mortality.</p><p><strong>Results: </strong>Abnormal ALT, AST, TB, albumin, and prealbumin levels were observed in 11 (13.8%), 15 (18.8%), 5 (6.3%), 22 (27.5%), and 31 (38.8%) patients, respectively. Male gender correlated with elevated ALT and AST levels (p = 0.027 and 0.036, respectively). Higher levels of AST and lower levels of albumin and prealbumin were associated with patient mortality (p = 0.009, 0.002, and 0.003, respectively). Multivariate Cox regression analysis identified patient age (p = 0.013, HR 1.108) and prealbumin levels (p = 0.015, HR 0.986) as independent predictors for patient mortality. However, changes in liver-related biomarkers were not associated with poor outcome in multivariate analysis (p > 0.05).</p><p><strong>Conclusions: </strong>Abnormalities in albumin and prealbumin levels are common among COVID-19 patients and hypoprealbuminemia independently predicts adverse outcome and should be carefully considered in clinical practice. Moreover, changes in liver-related biomarkers is not a salient feature of COVID-19.</p>","PeriodicalId":520774,"journal":{"name":"Saudi journal of gastroenterology : official journal of the Saudi Gastroenterology Association","volume":" ","pages":"272-278"},"PeriodicalIF":2.0000,"publicationDate":"2020-09-01","publicationTypes":"Journal Article","fieldsOfStudy":null,"isOpenAccess":false,"openAccessPdf":"https://ftp.ncbi.nlm.nih.gov/pub/pmc/oa_pdf/25/92/SJG-26-272.PMC7739989.pdf","citationCount":"11","resultStr":null,"platform":"Semanticscholar","paperid":null,"PeriodicalName":"Saudi journal of gastroenterology : official journal of the Saudi Gastroenterology Association","FirstCategoryId":"3","ListUrlMain":"https://doi.org/10.4103/sjg.SJG_239_20","RegionNum":0,"RegionCategory":null,"ArticlePicture":[],"TitleCN":null,"AbstractTextCN":null,"PMCID":null,"EPubDate":"","PubModel":"","JCR":"","JCRName":"","Score":null,"Total":0}
引用次数: 11

Abstract

Background/aims: We aimed to evaluate the distribution of abnormal liver-related biomarkers in patients with coronavirus disease (COVID-19) and explore the prognostic value of elevated liver enzymes and abnormal liver synthetic capacity with regards to patient mortality.

Patients and methods: This retrospective observational study included 80 laboratory-confirmed COVID-19 cases. Data were collected from the electronic medical record system by a trained team of physicians. Alanine aminotransferase (ALT), aspartate aminotransferase (AST), total bilirubin (TB), albumin, and prealbumin levels at admission and on day 7 after admission were collected. The primary outcome of the current study was patient mortality.

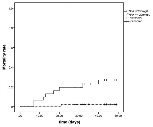
Results: Abnormal ALT, AST, TB, albumin, and prealbumin levels were observed in 11 (13.8%), 15 (18.8%), 5 (6.3%), 22 (27.5%), and 31 (38.8%) patients, respectively. Male gender correlated with elevated ALT and AST levels (p = 0.027 and 0.036, respectively). Higher levels of AST and lower levels of albumin and prealbumin were associated with patient mortality (p = 0.009, 0.002, and 0.003, respectively). Multivariate Cox regression analysis identified patient age (p = 0.013, HR 1.108) and prealbumin levels (p = 0.015, HR 0.986) as independent predictors for patient mortality. However, changes in liver-related biomarkers were not associated with poor outcome in multivariate analysis (p > 0.05).

Conclusions: Abnormalities in albumin and prealbumin levels are common among COVID-19 patients and hypoprealbuminemia independently predicts adverse outcome and should be carefully considered in clinical practice. Moreover, changes in liver-related biomarkers is not a salient feature of COVID-19.

Abstract Image

COVID-19患者肝脏相关生物标志物异常及前白蛋白的作用
背景/目的:我们旨在评估冠状病毒病(COVID-19)患者中肝脏相关异常生物标志物的分布,并探讨肝酶升高和肝脏合成能力异常与患者死亡率的预后价值。患者和方法:本回顾性观察研究纳入80例实验室确诊的COVID-19病例。数据由训练有素的医生团队从电子病历系统中收集。收集入院时及入院后第7天的丙氨酸转氨酶(ALT)、天冬氨酸转氨酶(AST)、总胆红素(TB)、白蛋白和前白蛋白水平。当前研究的主要结果是患者死亡率。结果:ALT、AST、TB、白蛋白、前白蛋白水平异常分别为11例(13.8%)、15例(18.8%)、5例(6.3%)、22例(27.5%)、31例(38.8%)。男性与ALT和AST水平升高相关(p分别为0.027和0.036)。较高水平的AST和较低水平的白蛋白和前白蛋白与患者死亡率相关(p分别= 0.009、0.002和0.003)。多因素Cox回归分析发现,患者年龄(p = 0.013, HR 1.108)和白蛋白前水平(p = 0.015, HR 0.986)是患者死亡率的独立预测因素。然而,在多因素分析中,肝脏相关生物标志物的变化与预后不良无关(p > 0.05)。结论:白蛋白和白蛋白前水平异常在COVID-19患者中很常见,低钙血症独立预测不良结局,在临床实践中应慎重考虑。此外,肝脏相关生物标志物的变化并不是COVID-19的显著特征。
本文章由计算机程序翻译,如有差异,请以英文原文为准。
求助全文
约1分钟内获得全文 求助全文
来源期刊
自引率
0.00%
发文量
0
×
引用
GB/T 7714-2015
复制
MLA
复制
APA
复制
导出至
BibTeX EndNote RefMan NoteFirst NoteExpress
×
提示
您的信息不完整,为了账户安全,请先补充。
现在去补充
×
提示
您因"违规操作"
具体请查看互助需知
我知道了
×
提示
确定
请完成安全验证×
copy
已复制链接
快去分享给好友吧!
我知道了
右上角分享
点击右上角分享
0
联系我们:info@booksci.cn Book学术提供免费学术资源搜索服务,方便国内外学者检索中英文文献。致力于提供最便捷和优质的服务体验。 Copyright © 2023 布克学术 All rights reserved.
京ICP备2023020795号-1
ghs 京公网安备 11010802042870号
Book学术文献互助
Book学术文献互助群
群 号:604180095
Book学术官方微信