Thoracic CT radiomics analysis for predicting synchronous brain metastasis in patients with lung cancer.

IF 1.7 4区 医学 Q2 Medicine
Zhimin Ding, Yuancheng Wang, Cong Xia, Xiangpan Meng, Qian Yu, Shenghong Ju
{"title":"Thoracic CT radiomics analysis for predicting synchronous brain metastasis in patients with lung cancer.","authors":"Zhimin Ding, Yuancheng Wang, Cong Xia, Xiangpan Meng, Qian Yu, Shenghong Ju","doi":"10.5152/dir.2021.21677","DOIUrl":null,"url":null,"abstract":"<p><strong>Purpose: </strong>We aimed to assess the feasibility of radiomics analysis based on non-contrast-enhanced thoracic CT images in predicting synchronous brain metastasis (SBM) in lung cancer patients at initial diagnosis.</p><p><strong>Methods: </strong>This retrospective study enrolled 371 lung cancer patients (with SBM n=147, without SBM n=224) confirmed by histopathology. Patients were allocated to the training set (n=258) and testing set (n=113). The optimal radiomics features were selected by using the least absolute shrinkage and selection operator (LASSO) algorithm. The radiomics, clinicoradiologic, and combined models were developed to predict SBM using multivariable logistic regression. Then the discrimination ability of the models was assessed. Furthermore, the prediction performance of the abovementioned three models for oligometastatic (1-3 lesions) or multiple (>3 lesions) brain metastases in SBM, metachronous brain metastasis (MBM), and total (SBM and MBM) groups were investigated.</p><p><strong>Results: </strong>Six radiomics features and two clinicoradiologic characteristics were chosen for predicting SBM. Both the radiomics model (area under the receiver operating characteristic curve [AUC] = 0.870 and 0.824 in the training and testing sets, respectively) and the combined model (AUC = 0.912 and 0.859, respectively) presented better predictive ability for SBM than the clinicoradiologic model (AUC = 0.712 and 0.692, respectively). The decision curve analysis (DCA) demonstrated the clinical usefulness of the radiomics-based models. The radiomics model can also be used to predict oligometastatic or multiple brain metastases in SBM, MBM, and total groups (P = .045, P = .022, and P = .030, respectively).</p><p><strong>Conclusion: </strong>The radiomics model and the combined model we presented can be used as valuable imaging markers for predicting patients at high risk of SBM at the initial diagnosis of lung cancer. Furthermore, the radiomics model can also be utilized as an indicator for identifying oligometastatic or multiple brain metastases.</p>","PeriodicalId":50582,"journal":{"name":"Diagnostic and Interventional Radiology","volume":" ","pages":"39-49"},"PeriodicalIF":1.7000,"publicationDate":"2022-01-01","publicationTypes":"Journal Article","fieldsOfStudy":null,"isOpenAccess":false,"openAccessPdf":"https://www.ncbi.nlm.nih.gov/pmc/articles/PMC12278919/pdf/","citationCount":"0","resultStr":null,"platform":"Semanticscholar","paperid":null,"PeriodicalName":"Diagnostic and Interventional Radiology","FirstCategoryId":"3","ListUrlMain":"https://doi.org/10.5152/dir.2021.21677","RegionNum":4,"RegionCategory":"医学","ArticlePicture":[],"TitleCN":null,"AbstractTextCN":null,"PMCID":null,"EPubDate":"","PubModel":"","JCR":"Q2","JCRName":"Medicine","Score":null,"Total":0}
引用次数: 0

Abstract

Purpose: We aimed to assess the feasibility of radiomics analysis based on non-contrast-enhanced thoracic CT images in predicting synchronous brain metastasis (SBM) in lung cancer patients at initial diagnosis.

Methods: This retrospective study enrolled 371 lung cancer patients (with SBM n=147, without SBM n=224) confirmed by histopathology. Patients were allocated to the training set (n=258) and testing set (n=113). The optimal radiomics features were selected by using the least absolute shrinkage and selection operator (LASSO) algorithm. The radiomics, clinicoradiologic, and combined models were developed to predict SBM using multivariable logistic regression. Then the discrimination ability of the models was assessed. Furthermore, the prediction performance of the abovementioned three models for oligometastatic (1-3 lesions) or multiple (>3 lesions) brain metastases in SBM, metachronous brain metastasis (MBM), and total (SBM and MBM) groups were investigated.

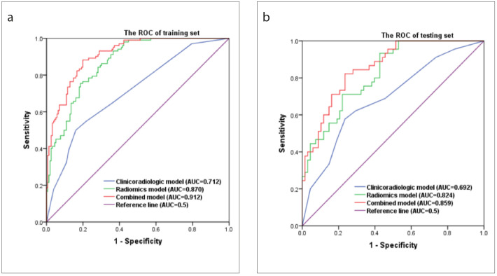
Results: Six radiomics features and two clinicoradiologic characteristics were chosen for predicting SBM. Both the radiomics model (area under the receiver operating characteristic curve [AUC] = 0.870 and 0.824 in the training and testing sets, respectively) and the combined model (AUC = 0.912 and 0.859, respectively) presented better predictive ability for SBM than the clinicoradiologic model (AUC = 0.712 and 0.692, respectively). The decision curve analysis (DCA) demonstrated the clinical usefulness of the radiomics-based models. The radiomics model can also be used to predict oligometastatic or multiple brain metastases in SBM, MBM, and total groups (P = .045, P = .022, and P = .030, respectively).

Conclusion: The radiomics model and the combined model we presented can be used as valuable imaging markers for predicting patients at high risk of SBM at the initial diagnosis of lung cancer. Furthermore, the radiomics model can also be utilized as an indicator for identifying oligometastatic or multiple brain metastases.

Abstract Image

Abstract Image

Abstract Image

胸部CT放射组学分析预测肺癌患者同步脑转移。
目的:我们旨在评估基于非增强胸部CT图像的放射组学分析在早期诊断肺癌患者同步脑转移(SBM)预测中的可行性。方法:回顾性研究纳入371例经组织病理学证实的肺癌患者,其中有SBM者147例,无SBM者224例。患者被分配到训练集(n=258)和测试集(n=113)。采用最小绝对收缩和选择算子(LASSO)算法选择最优放射组学特征。放射组学、临床放射学和联合模型采用多变量logistic回归预测SBM。然后对模型的识别能力进行了评价。此外,我们还研究了上述三种模型对SBM、异时性脑转移(MBM)和全脑转移(SBM和MBM)组低转移性(1-3个病灶)或多发(> -3个病灶)脑转移的预测性能。结果:选择了6个放射组学特征和2个临床放射学特征来预测SBM。放射组学模型(训练集和测试集受试者工作特征曲线下面积[AUC]分别为0.870和0.824)和联合模型(AUC分别为0.912和0.859)对SBM的预测能力均优于临床放射学模型(AUC分别为0.712和0.692)。决策曲线分析(DCA)证明了基于放射组学的模型的临床实用性。放射组学模型也可用于预测SBM, MBM和total组的低转移性或多发性脑转移(P = 0.045, P = 0.022和P = 0.030)。结论:放射组学模型及联合模型可作为肺癌初诊时预测SBM高危患者的有价值的影像学指标。此外,放射组学模型还可以作为鉴别低转移性或多发性脑转移的指标。
本文章由计算机程序翻译,如有差异,请以英文原文为准。
求助全文
约1分钟内获得全文 求助全文
来源期刊
CiteScore
3.50
自引率
4.80%
发文量
69
审稿时长
6-12 weeks
期刊介绍: Diagnostic and Interventional Radiology (Diagn Interv Radiol) is the open access, online-only official publication of Turkish Society of Radiology. It is published bimonthly and the journal’s publication language is English. The journal is a medium for original articles, reviews, pictorial essays, technical notes related to all fields of diagnostic and interventional radiology.
×
引用
GB/T 7714-2015
复制
MLA
复制
APA
复制
导出至
BibTeX EndNote RefMan NoteFirst NoteExpress
×
提示
您的信息不完整,为了账户安全,请先补充。
现在去补充
×
提示
您因"违规操作"
具体请查看互助需知
我知道了
×
提示
确定
请完成安全验证×
copy
已复制链接
快去分享给好友吧!
我知道了
右上角分享
点击右上角分享
0
联系我们:info@booksci.cn Book学术提供免费学术资源搜索服务,方便国内外学者检索中英文文献。致力于提供最便捷和优质的服务体验。 Copyright © 2023 布克学术 All rights reserved.
京ICP备2023020795号-1
ghs 京公网安备 11010802042870号
Book学术文献互助
Book学术文献互助群
群 号:604180095
Book学术官方微信