The effect of sweat sample storage condition on sweat content.

Q1 Biochemistry, Genetics and Molecular Biology
Temperature Pub Date : 2021-01-15 eCollection Date: 2021-01-01 DOI:10.1080/23328940.2020.1867294
Lisa Klous, Mireille Folkerts, Hein Daanen, Nicola Gerrett
{"title":"The effect of sweat sample storage condition on sweat content.","authors":"Lisa Klous,&nbsp;Mireille Folkerts,&nbsp;Hein Daanen,&nbsp;Nicola Gerrett","doi":"10.1080/23328940.2020.1867294","DOIUrl":null,"url":null,"abstract":"<p><p>Due to time and logistical constraints sweat samples cannot always be analyzed immediately. The purpose of this study was to investigate the effect of storage temperature and duration on sweat electrolyte and metabolite concentrations. Twelve participants cycled for 60 min at 40 W.m<sup>-2</sup> in 33°C and 65% RH. Using the absorbent patch technique, six sweat samples were collected from the posterior torso. Sweat from the six samples was mixed, divided again over six samples and placed in sealed vials. Sweat sodium, chloride, potassium, ammonia, lactate and urea concentrations in one sample were determined immediately. Two samples were stored at room temperature (~25°C, 42% RH) for 7 and 28 days respectively. The remaining samples were frozen at -20°C for 1 h, 7 or 28 days respectively before analysis. Sweat sodium, chloride, potassium and urea concentrations were not affected by storage temperature and duration. Sweat lactate decreased (-1.8 ± 1.8 mmol.L<sup>-1</sup>, P = 0.007) and ammonia concentrations increased (5.1 ± 3.9 mmol.L<sup>-1</sup>, P = 0.017) after storage for 28 days at 25°C only. The storage temperature and duration did not affect sodium, chloride, potassium and urea concentrations. However, sweat samples should not be stored for longer than 7 days at 25°C to obtain reliable sweat lactate and ammonia concentrations. When samples are frozen at -20°C, the storage duration could be extended to 28 days for these components.</p>","PeriodicalId":36837,"journal":{"name":"Temperature","volume":"8 3","pages":"254-261"},"PeriodicalIF":0.0000,"publicationDate":"2021-01-15","publicationTypes":"Journal Article","fieldsOfStudy":null,"isOpenAccess":false,"openAccessPdf":"https://sci-hub-pdf.com/10.1080/23328940.2020.1867294","citationCount":"3","resultStr":null,"platform":"Semanticscholar","paperid":null,"PeriodicalName":"Temperature","FirstCategoryId":"1085","ListUrlMain":"https://doi.org/10.1080/23328940.2020.1867294","RegionNum":0,"RegionCategory":null,"ArticlePicture":[],"TitleCN":null,"AbstractTextCN":null,"PMCID":null,"EPubDate":"2021/1/1 0:00:00","PubModel":"eCollection","JCR":"Q1","JCRName":"Biochemistry, Genetics and Molecular Biology","Score":null,"Total":0}
引用次数: 3

Abstract

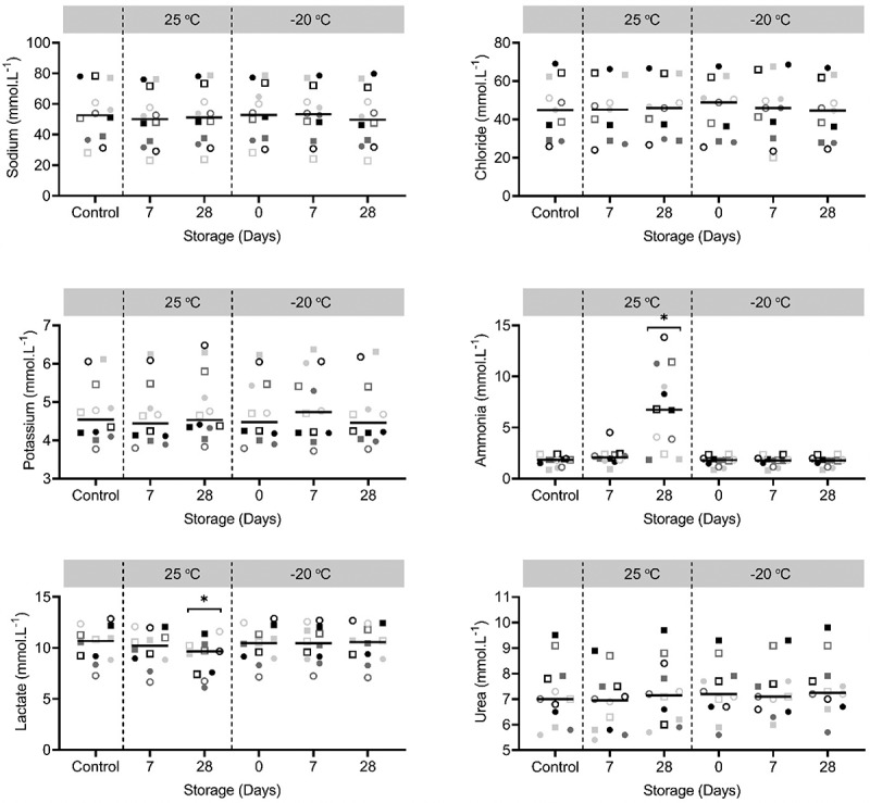
Due to time and logistical constraints sweat samples cannot always be analyzed immediately. The purpose of this study was to investigate the effect of storage temperature and duration on sweat electrolyte and metabolite concentrations. Twelve participants cycled for 60 min at 40 W.m-2 in 33°C and 65% RH. Using the absorbent patch technique, six sweat samples were collected from the posterior torso. Sweat from the six samples was mixed, divided again over six samples and placed in sealed vials. Sweat sodium, chloride, potassium, ammonia, lactate and urea concentrations in one sample were determined immediately. Two samples were stored at room temperature (~25°C, 42% RH) for 7 and 28 days respectively. The remaining samples were frozen at -20°C for 1 h, 7 or 28 days respectively before analysis. Sweat sodium, chloride, potassium and urea concentrations were not affected by storage temperature and duration. Sweat lactate decreased (-1.8 ± 1.8 mmol.L-1, P = 0.007) and ammonia concentrations increased (5.1 ± 3.9 mmol.L-1, P = 0.017) after storage for 28 days at 25°C only. The storage temperature and duration did not affect sodium, chloride, potassium and urea concentrations. However, sweat samples should not be stored for longer than 7 days at 25°C to obtain reliable sweat lactate and ammonia concentrations. When samples are frozen at -20°C, the storage duration could be extended to 28 days for these components.

Abstract Image

汗液样品贮存条件对汗液含量的影响。
由于时间和物流的限制,汗液样本不能总是立即分析。本研究的目的是研究储存温度和时间对汗液电解质和代谢物浓度的影响。12名参与者在33°C和65%相对湿度下,在40 w - m-2下骑行60分钟。使用吸收贴片技术,从后躯干收集了6份汗液样本。将六个样本的汗液混合,再分成六个样本,放在密封的小瓶中。在一个样品中立即测定汗液中的钠、氯、钾、氨、乳酸和尿素浓度。两份样品分别在室温(~25℃,42% RH)下保存7天和28天。其余样品分别在-20°C冷冻1小时、7天或28天后进行分析。汗液中钠、氯、钾和尿素浓度不受储存温度和时间的影响。汗液乳酸降低(-1.8±1.8 mmol)。L-1, P = 0.007),氨浓度升高(5.1±3.9 mmol)。L-1, P = 0.017),仅在25°C下保存28天后。贮藏温度和贮藏时间对钠、氯、钾和尿素浓度没有影响。然而,汗液样品不应在25°C下储存超过7天,以获得可靠的汗液乳酸和氨浓度。当样品在-20°C冷冻时,这些成分的保存时间可以延长到28天。
本文章由计算机程序翻译,如有差异,请以英文原文为准。
求助全文
约1分钟内获得全文 求助全文
来源期刊
Temperature
Temperature Medicine-Physiology (medical)
CiteScore
10.40
自引率
0.00%
发文量
37
×
引用
GB/T 7714-2015
复制
MLA
复制
APA
复制
导出至
BibTeX EndNote RefMan NoteFirst NoteExpress
×
提示
您的信息不完整,为了账户安全,请先补充。
现在去补充
×
提示
您因"违规操作"
具体请查看互助需知
我知道了
×
提示
确定
请完成安全验证×
copy
已复制链接
快去分享给好友吧!
我知道了
右上角分享
点击右上角分享
0
联系我们:info@booksci.cn Book学术提供免费学术资源搜索服务,方便国内外学者检索中英文文献。致力于提供最便捷和优质的服务体验。 Copyright © 2023 布克学术 All rights reserved.
京ICP备2023020795号-1
ghs 京公网安备 11010802042870号
Book学术文献互助
Book学术文献互助群
群 号:604180095
Book学术官方微信