Tricho-hepato-enteric syndrome: Retrospective multicenter experience in Saudi Arabia.

IF 2
Badr M Alsaleem, Mohammed Hasosah, Amna Basheer M Ahmed, Maher M Al Hatlani, Aziz Helal Alanazi, Abdulrahman Al-Hussaini, Ali T Asery, Khalid A Alghamdi, Muhanad M AlRuwaithi, Musa Ali M Khormi, Ahmed Al Sarkhy, Ali S Alshamrani
{"title":"Tricho-hepato-enteric syndrome: Retrospective multicenter experience in Saudi Arabia.","authors":"Badr M Alsaleem,&nbsp;Mohammed Hasosah,&nbsp;Amna Basheer M Ahmed,&nbsp;Maher M Al Hatlani,&nbsp;Aziz Helal Alanazi,&nbsp;Abdulrahman Al-Hussaini,&nbsp;Ali T Asery,&nbsp;Khalid A Alghamdi,&nbsp;Muhanad M AlRuwaithi,&nbsp;Musa Ali M Khormi,&nbsp;Ahmed Al Sarkhy,&nbsp;Ali S Alshamrani","doi":"10.4103/sjg.sjg_200_21","DOIUrl":null,"url":null,"abstract":"<p><strong>Background: </strong>Trichohepatoenteric syndrome (THES) is a very rare disorder that is characterized by intractable congenital diarrhea, woolly hair, intrauterine growth restriction, facial dysmorphism, and short stature. Our knowledge of THES is limited due to the small number of reported cases.</p><p><strong>Methods: </strong>Thirty patients diagnosed with THES, all molecularly confirmed by whole exome sequencing (WES) to have biallelic variants in TTC37 or SKIV2L, were included in the study. Clinical, biochemical, and nutritional phenotypes and outcome data were collected from all participants.</p><p><strong>Results: </strong>The median age of THES patients was 3.7 years (0.9-23 years). Diarrhea and malnutrition were the most common clinical features (100%). Other common features included hair abnormalities (96%), skin hyperpigmentation (87%), facial dysmorphic abnormalities (73%), psychomotor retardation (57%), and hepatic abnormalities (30%). Twenty-five patients required parenteral nutrition (83%) with a mean duration of 13.34 months, and nearly half were eventually weaned off. Parenteral nutrition was associated with a poor prognosis. The vast majority of cases (89.6%) had biallelic variants in SKIV2L, with biallelic variants in TTC37 accounting for the remaining cases. A total of seven variants were identified in TTC37 (n = 3) and SKIV2L (n = 4). The underlying genotype influenced some phenotypic aspects, especially liver involvement, which was more common in TTC37-related THES.</p><p><strong>Conclusion: </strong>Our data helps define the natural history of THES and provide clinical management guidelines.</p>","PeriodicalId":520774,"journal":{"name":"Saudi journal of gastroenterology : official journal of the Saudi Gastroenterology Association","volume":" ","pages":"135-142"},"PeriodicalIF":2.0000,"publicationDate":"2022-03-01","publicationTypes":"Journal Article","fieldsOfStudy":null,"isOpenAccess":false,"openAccessPdf":"https://ftp.ncbi.nlm.nih.gov/pub/pmc/oa_pdf/df/a9/SJG-28-135.PMC9007078.pdf","citationCount":"4","resultStr":null,"platform":"Semanticscholar","paperid":null,"PeriodicalName":"Saudi journal of gastroenterology : official journal of the Saudi Gastroenterology Association","FirstCategoryId":"3","ListUrlMain":"https://doi.org/10.4103/sjg.sjg_200_21","RegionNum":0,"RegionCategory":null,"ArticlePicture":[],"TitleCN":null,"AbstractTextCN":null,"PMCID":null,"EPubDate":"","PubModel":"","JCR":"","JCRName":"","Score":null,"Total":0}
引用次数: 4

Abstract

Background: Trichohepatoenteric syndrome (THES) is a very rare disorder that is characterized by intractable congenital diarrhea, woolly hair, intrauterine growth restriction, facial dysmorphism, and short stature. Our knowledge of THES is limited due to the small number of reported cases.

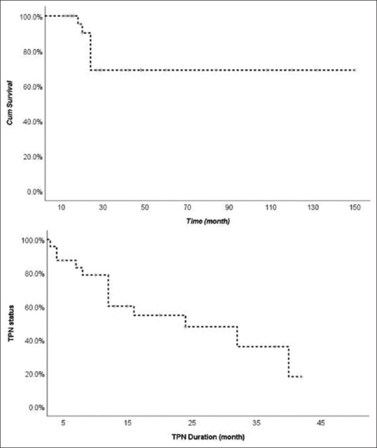
Methods: Thirty patients diagnosed with THES, all molecularly confirmed by whole exome sequencing (WES) to have biallelic variants in TTC37 or SKIV2L, were included in the study. Clinical, biochemical, and nutritional phenotypes and outcome data were collected from all participants.

Results: The median age of THES patients was 3.7 years (0.9-23 years). Diarrhea and malnutrition were the most common clinical features (100%). Other common features included hair abnormalities (96%), skin hyperpigmentation (87%), facial dysmorphic abnormalities (73%), psychomotor retardation (57%), and hepatic abnormalities (30%). Twenty-five patients required parenteral nutrition (83%) with a mean duration of 13.34 months, and nearly half were eventually weaned off. Parenteral nutrition was associated with a poor prognosis. The vast majority of cases (89.6%) had biallelic variants in SKIV2L, with biallelic variants in TTC37 accounting for the remaining cases. A total of seven variants were identified in TTC37 (n = 3) and SKIV2L (n = 4). The underlying genotype influenced some phenotypic aspects, especially liver involvement, which was more common in TTC37-related THES.

Conclusion: Our data helps define the natural history of THES and provide clinical management guidelines.

Abstract Image

Abstract Image

肝肠综合征:沙特阿拉伯多中心回顾性研究。
背景:毛肝肠综合征(trichohohepatoenteric syndrome,简称THES)是一种非常罕见的疾病,其特征是顽固性先天性腹泻、毛发绵长、宫内生长受限、面部畸形和身材矮小。由于报告的病例较少,我们对这些疾病的了解有限。方法:30例经全外显子组测序(WES)分子证实为TTC37或SKIV2L双等位基因变异的诊断为THES的患者纳入研究。收集所有参与者的临床、生化和营养表型和结局数据。结果:这些患者的中位年龄为3.7岁(0.9-23岁)。腹泻和营养不良是最常见的临床特征(100%)。其他常见特征包括头发异常(96%)、皮肤色素沉着(87%)、面部畸形(73%)、精神运动迟缓(57%)和肝脏异常(30%)。25例患者需要肠外营养(83%),平均持续时间为13.34个月,近一半患者最终断奶。肠外营养与不良预后相关。绝大多数病例(89.6%)为SKIV2L双等位变异,其余病例为TTC37双等位变异。在TTC37 (n = 3)和SKIV2L (n = 4)中共鉴定出7个变异。潜在的基因型影响了一些表型方面,特别是肝脏受累,这在TTC37相关的ths中更为常见。结论:我们的数据有助于定义这些疾病的自然病史,并提供临床治疗指南。
本文章由计算机程序翻译,如有差异,请以英文原文为准。
求助全文
约1分钟内获得全文 求助全文
来源期刊
自引率
0.00%
发文量
0
×
引用
GB/T 7714-2015
复制
MLA
复制
APA
复制
导出至
BibTeX EndNote RefMan NoteFirst NoteExpress
×
提示
您的信息不完整,为了账户安全,请先补充。
现在去补充
×
提示
您因"违规操作"
具体请查看互助需知
我知道了
×
提示
确定
请完成安全验证×
copy
已复制链接
快去分享给好友吧!
我知道了
右上角分享
点击右上角分享
0
联系我们:info@booksci.cn Book学术提供免费学术资源搜索服务,方便国内外学者检索中英文文献。致力于提供最便捷和优质的服务体验。 Copyright © 2023 布克学术 All rights reserved.
京ICP备2023020795号-1
ghs 京公网安备 11010802042870号
Book学术文献互助
Book学术文献互助群
群 号:604180095
Book学术官方微信