Comparison of Binocular Vision Parameters Pre- and Post-EPILASIK Laser Vision Correction Surgery for Myopia in a Pilot Study - Can Vision Therapy Augment Refractive Results?

Q3 Medicine
British and Irish Orthoptic Journal Pub Date : 2021-01-12 eCollection Date: 2021-01-01 DOI:10.22599/bioj.158
Radhika Natarajan, Sushmitha Arcot Dandapani, Jameel Rizwana Hussaindeen
{"title":"Comparison of Binocular Vision Parameters Pre- and Post-EPILASIK Laser Vision Correction Surgery for Myopia in a Pilot Study - Can Vision Therapy Augment Refractive Results?","authors":"Radhika Natarajan,&nbsp;Sushmitha Arcot Dandapani,&nbsp;Jameel Rizwana Hussaindeen","doi":"10.22599/bioj.158","DOIUrl":null,"url":null,"abstract":"<p><strong>Purpose: </strong>To analyze the changes in the binocular vision parameters after bilateral Epilasik laser vision correction surgery (LVCS).</p><p><strong>Setting: </strong>Medical Research Foundation, Tamil Nadu, India.</p><p><strong>Study design: </strong>Prospective cohort study.</p><p><strong>Methods: </strong>Subjects with a best corrected visual acuity of ≤ 0.0 Log MAR scale and refractive error: < 6.00DS of myopia, < 0.75D of astigmatism, and < 1D of anisometropia were included in the study. All subjects underwent a comprehensive eye examination, LVCS workup which included corneal topography, tomography, aberrometry, and dry eye assessment prior to binocular vision assessment. Complete Binocular vision assessment which included stereopsis, fusion for distance and near, near point of convergence, phoria measurement, vergence amplitudes and facility, accommodative amplitudes, response, and facility was performed with the best corrected vision prior to LVCS, one month and six months after the surgery.</p><p><strong>Results: </strong>Twenty-five subjects of age 23.8 ± 2.9 years were included. Age ranged from 20 to 32 years. Ten were female and 15 were male. The median spherical power was -2.00DS with an inter quartile range (IQR) of -1.50DS to -3.00DS for both eyes. The median cylindrical power was plano with IQR -0.50DC to -1.00DC for both eyes. There was a statistically significant decrease in monocular and binocular accommodative amplitudes (accounting for age-related changes) as well as positive fusional vergence recovery for near between baseline and one month after surgery (p < 0.05).</p><p><strong>Conclusion: </strong>Though subjects were asymptomatic post LVCS, still there is an indication that myopic LVCS could precipitate or aggravate an existing non-strabismic binocular vision anomaly. Comprehensive binocular vision assessment and appropriate management is recommended before and after LVCS.</p>","PeriodicalId":36083,"journal":{"name":"British and Irish Orthoptic Journal","volume":"17 1","pages":"1-7"},"PeriodicalIF":0.0000,"publicationDate":"2021-01-12","publicationTypes":"Journal Article","fieldsOfStudy":null,"isOpenAccess":false,"openAccessPdf":"https://www.ncbi.nlm.nih.gov/pmc/articles/PMC8269787/pdf/","citationCount":"2","resultStr":null,"platform":"Semanticscholar","paperid":null,"PeriodicalName":"British and Irish Orthoptic Journal","FirstCategoryId":"1085","ListUrlMain":"https://doi.org/10.22599/bioj.158","RegionNum":0,"RegionCategory":null,"ArticlePicture":[],"TitleCN":null,"AbstractTextCN":null,"PMCID":null,"EPubDate":"2021/1/1 0:00:00","PubModel":"eCollection","JCR":"Q3","JCRName":"Medicine","Score":null,"Total":0}
引用次数: 2

Abstract

Purpose: To analyze the changes in the binocular vision parameters after bilateral Epilasik laser vision correction surgery (LVCS).

Setting: Medical Research Foundation, Tamil Nadu, India.

Study design: Prospective cohort study.

Methods: Subjects with a best corrected visual acuity of ≤ 0.0 Log MAR scale and refractive error: < 6.00DS of myopia, < 0.75D of astigmatism, and < 1D of anisometropia were included in the study. All subjects underwent a comprehensive eye examination, LVCS workup which included corneal topography, tomography, aberrometry, and dry eye assessment prior to binocular vision assessment. Complete Binocular vision assessment which included stereopsis, fusion for distance and near, near point of convergence, phoria measurement, vergence amplitudes and facility, accommodative amplitudes, response, and facility was performed with the best corrected vision prior to LVCS, one month and six months after the surgery.

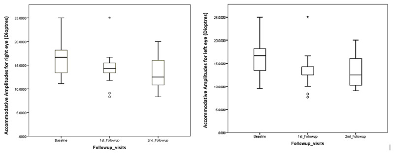
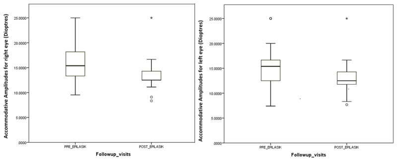
Results: Twenty-five subjects of age 23.8 ± 2.9 years were included. Age ranged from 20 to 32 years. Ten were female and 15 were male. The median spherical power was -2.00DS with an inter quartile range (IQR) of -1.50DS to -3.00DS for both eyes. The median cylindrical power was plano with IQR -0.50DC to -1.00DC for both eyes. There was a statistically significant decrease in monocular and binocular accommodative amplitudes (accounting for age-related changes) as well as positive fusional vergence recovery for near between baseline and one month after surgery (p < 0.05).

Conclusion: Though subjects were asymptomatic post LVCS, still there is an indication that myopic LVCS could precipitate or aggravate an existing non-strabismic binocular vision anomaly. Comprehensive binocular vision assessment and appropriate management is recommended before and after LVCS.

Abstract Image

Abstract Image

一项前期研究中近视激光视力矫正手术前后双目视力参数的比较——视力治疗能增强屈光效果吗?
目的:分析双侧激光视力矫正手术(LVCS)后双眼视力参数的变化。单位:印度泰米尔纳德邦医学研究基金会。研究设计:前瞻性队列研究。方法:纳入最佳矫正视力≤0.0 Log MAR量表,屈光不可见度< 6.00DS(近视)、< 0.75D(散光)、< 1D(参差)的受试者。所有受试者在双眼视力评估之前都进行了全面的眼科检查,LVCS检查包括角膜地形图、断层扫描、像差测量和干眼评估。在LVCS术前、术后1个月和6个月以最佳矫正视力进行完整的双目视觉评估,包括立体视觉、远近融合、近会聚点、远视测量、会聚幅度和便利、调节幅度、反应和便利。结果:纳入受试者25例,年龄23.8±2.9岁。年龄从20岁到32岁不等。其中女性10人,男性15人。双眼的中位球幂为-2.00DS,四分位间距(IQR)为-1.50 ~ -3.00DS。中位柱形功率为平眼,双眼IQR为-0.50DC至-1.00DC。单眼和双眼调节幅度(考虑年龄相关变化)以及正融合收敛恢复在基线和术后1个月附近有统计学意义的下降(p < 0.05)。结论:虽然受试者在LVCS后无症状,但有迹象表明,近视LVCS可使已有的非斜视性双眼视力异常发生或加重。建议在LVCS前后进行全面的双眼视力评估和适当的管理。
本文章由计算机程序翻译,如有差异,请以英文原文为准。
求助全文
约1分钟内获得全文 求助全文
来源期刊
British and Irish Orthoptic Journal
British and Irish Orthoptic Journal Health Professions-Optometry
CiteScore
1.50
自引率
0.00%
发文量
13
审稿时长
18 weeks
×
引用
GB/T 7714-2015
复制
MLA
复制
APA
复制
导出至
BibTeX EndNote RefMan NoteFirst NoteExpress
×
提示
您的信息不完整,为了账户安全,请先补充。
现在去补充
×
提示
您因"违规操作"
具体请查看互助需知
我知道了
×
提示
确定
请完成安全验证×
copy
已复制链接
快去分享给好友吧!
我知道了
右上角分享
点击右上角分享
0
联系我们:info@booksci.cn Book学术提供免费学术资源搜索服务,方便国内外学者检索中英文文献。致力于提供最便捷和优质的服务体验。 Copyright © 2023 布克学术 All rights reserved.
京ICP备2023020795号-1
ghs 京公网安备 11010802042870号
Book学术文献互助
Book学术文献互助群
群 号:604180095
Book学术官方微信