Novobiocin inhibits membrane synthesis and vacuole formation of Enterococcus faecalis protoplasts.

IF 3.9 3区 生物学 Q2 CELL BIOLOGY
Rintaro Tsuchikado, Satoshi Kami, Sawako Takahashi, Hiromi Nishida
{"title":"Novobiocin inhibits membrane synthesis and vacuole formation of <i>Enterococcus faecalis</i> protoplasts.","authors":"Rintaro Tsuchikado,&nbsp;Satoshi Kami,&nbsp;Sawako Takahashi,&nbsp;Hiromi Nishida","doi":"10.15698/mic2020.11.735","DOIUrl":null,"url":null,"abstract":"<p><p>We demonstrate that plasma membrane biosynthesis and vacuole formation require DNA replication in <i>Enterococcus faecalis</i> protoplasts. The replication inhibitor novobiocin inhibited not only DNA replication but also cell enlargement (plasma membrane biosynthesis) and vacuole formation during the enlargement of the <i>E. faecalis</i> protoplasts. After novobiocin treatment prior to vacuole formation, the cell size of <i>E. faecalis</i> protoplasts was limited to 6 μm in diameter and the cells lacked vacuoles. When novobiocin was added after vacuole formation, <i>E. faecalis</i> protoplasts grew with vacuole enlargement; after novobiocin removal, protoplasts were enlarged again. Although cell size distribution of the protoplasts was similar following the 24 h and 48 h novobiocin treatments, after 72 h of novobiocin treatment there was a greater number of smaller sized protoplasts, suggesting that extended novobiocin treatment may inhibit the re-enlargement of <i>E. faecalis</i> protoplasts after novobiocin removal. Our findings demonstrate that novobiocin can control the enlargement of <i>E. faecalis</i> protoplasts due to inhibition of DNA replication.</p>","PeriodicalId":18397,"journal":{"name":"Microbial Cell","volume":"7 11","pages":"300-308"},"PeriodicalIF":3.9000,"publicationDate":"2020-08-10","publicationTypes":"Journal Article","fieldsOfStudy":null,"isOpenAccess":false,"openAccessPdf":"https://www.ncbi.nlm.nih.gov/pmc/articles/PMC7590531/pdf/","citationCount":"3","resultStr":null,"platform":"Semanticscholar","paperid":null,"PeriodicalName":"Microbial Cell","FirstCategoryId":"99","ListUrlMain":"https://doi.org/10.15698/mic2020.11.735","RegionNum":3,"RegionCategory":"生物学","ArticlePicture":[],"TitleCN":null,"AbstractTextCN":null,"PMCID":null,"EPubDate":"","PubModel":"","JCR":"Q2","JCRName":"CELL BIOLOGY","Score":null,"Total":0}
引用次数: 3

Abstract

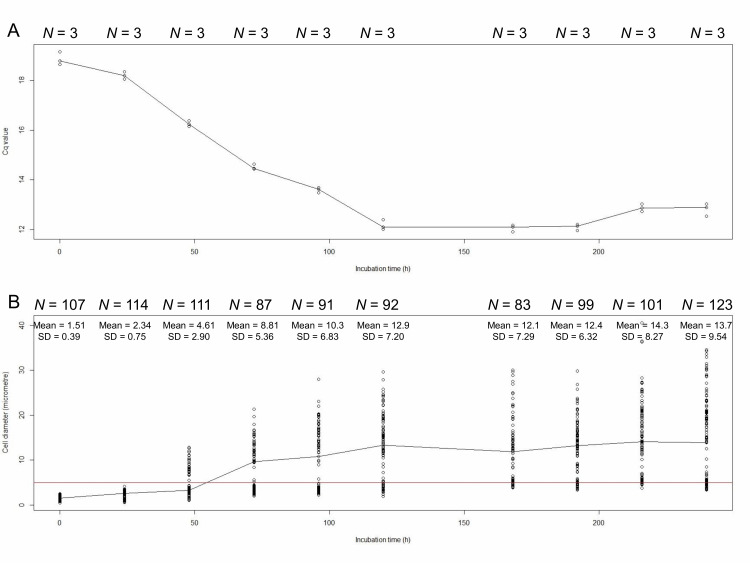
We demonstrate that plasma membrane biosynthesis and vacuole formation require DNA replication in Enterococcus faecalis protoplasts. The replication inhibitor novobiocin inhibited not only DNA replication but also cell enlargement (plasma membrane biosynthesis) and vacuole formation during the enlargement of the E. faecalis protoplasts. After novobiocin treatment prior to vacuole formation, the cell size of E. faecalis protoplasts was limited to 6 μm in diameter and the cells lacked vacuoles. When novobiocin was added after vacuole formation, E. faecalis protoplasts grew with vacuole enlargement; after novobiocin removal, protoplasts were enlarged again. Although cell size distribution of the protoplasts was similar following the 24 h and 48 h novobiocin treatments, after 72 h of novobiocin treatment there was a greater number of smaller sized protoplasts, suggesting that extended novobiocin treatment may inhibit the re-enlargement of E. faecalis protoplasts after novobiocin removal. Our findings demonstrate that novobiocin can control the enlargement of E. faecalis protoplasts due to inhibition of DNA replication.

Abstract Image

Abstract Image

Abstract Image

新生物素抑制粪肠球菌原生质体的膜合成和液泡形成。
我们证明了粪肠球菌原生质体的质膜生物合成和液泡形成需要DNA复制。复制抑制剂新生物素不仅可以抑制DNA复制,还可以抑制粪肠球菌原生质体扩大过程中的细胞扩大(质膜生物合成)和液泡形成。在形成液泡之前,经新生物素处理后,粪肠球菌原生质体的细胞直径限制在6 μm,细胞缺乏液泡。当液泡形成后加入新生素时,粪肠球菌原生质体随液泡增大而生长;去除新生物素后,原生质体再次增大。虽然在新生物素处理24 h和48 h后,原生质体的细胞大小分布相似,但在新生物素处理72 h后,较小的原生质体数量更多,这表明延长新生物素处理可能抑制了去除新生物素后粪肠球菌原生质体的再扩大。我们的研究结果表明,新生物素可以通过抑制DNA复制来控制粪肠球菌原生质体的扩大。
本文章由计算机程序翻译,如有差异,请以英文原文为准。
求助全文
约1分钟内获得全文 求助全文
来源期刊
Microbial Cell
Microbial Cell Multiple-
CiteScore
6.40
自引率
0.00%
发文量
32
审稿时长
12 weeks
×
引用
GB/T 7714-2015
复制
MLA
复制
APA
复制
导出至
BibTeX EndNote RefMan NoteFirst NoteExpress
×
提示
您的信息不完整,为了账户安全,请先补充。
现在去补充
×
提示
您因"违规操作"
具体请查看互助需知
我知道了
×
提示
确定
请完成安全验证×
copy
已复制链接
快去分享给好友吧!
我知道了
右上角分享
点击右上角分享
0
联系我们:info@booksci.cn Book学术提供免费学术资源搜索服务,方便国内外学者检索中英文文献。致力于提供最便捷和优质的服务体验。 Copyright © 2023 布克学术 All rights reserved.
京ICP备2023020795号-1
ghs 京公网安备 11010802042870号
Book学术文献互助
Book学术文献互助群
群 号:604180095
Book学术官方微信