Does the EyeChart App for iPhones Give Comparable Measurements to Traditional Visual Acuity Charts?

Q3 Medicine
Katie Ansell, Gail Maconachie, Anne Bjerre
{"title":"Does the EyeChart App for iPhones Give Comparable Measurements to Traditional Visual Acuity Charts?","authors":"Katie Ansell,&nbsp;Gail Maconachie,&nbsp;Anne Bjerre","doi":"10.22599/bioj.146","DOIUrl":null,"url":null,"abstract":"<p><strong>Aim: </strong>To investigate if the EyeChart app gives accurate visual acuity (VA) measurements that are comparable to those achieved using traditional VA charts.</p><p><strong>Method: </strong>Twenty-four participants (aged 18-27 years, mean 20.13 ± 1.78 years) with VA of 6/60 Snellen or better regardless of any strabismus, amblyopia, or ocular pathology volunteered for this prospective study. The best-corrected monocular VA of each participant's right eye was measured on the Snellen chart at 6 m, the ETDRS chart at 3 m, and the EyeChart app presented on an iPhone SE at 1.2 m (4ft).</p><p><strong>Results: </strong>The mean VA scores obtained were: -0.13 ± 0.08 logMAR on the Snellen chart, -0.11 ± 0.08 logMAR on the ETDRS chart, and -0.09 ± 0.07 logMAR on the EyeChart app. After Bonferroni Correction adjustments were applied, a significant difference was found between the EyeChart app and the Snellen chart (t = -3.756, p = 0.003), however the difference between the EyeChart app and the ETDRS chart did not reach statistical significance (t = -2.391, p = 0.076). The EyeChart app had a strong correlation with both the Snellen (r = 0.79, p < 0.01) and ETDRS charts (r = 0.88, p < 0.01). The Coefficients of Agreement revealed a variation of less than one logMAR line between the EyeChart app and the traditional VA charts (Snellen: 0.09 logMAR; ETDRS: 0.08 logMAR).</p><p><strong>Conclusion: </strong>This study found that the EyeChart app gives accurate VA scores that are comparable to those achieved using the gold-standard ETDRS chart in a healthy young adult population. However, the accuracy and repeatability of the EyeChart app when testing a patient population must be investigated before it can be integrated into clinical practice.</p>","PeriodicalId":36083,"journal":{"name":"British and Irish Orthoptic Journal","volume":"16 1","pages":"19-24"},"PeriodicalIF":0.0000,"publicationDate":"2020-04-15","publicationTypes":"Journal Article","fieldsOfStudy":null,"isOpenAccess":false,"openAccessPdf":"https://www.ncbi.nlm.nih.gov/pmc/articles/PMC7510399/pdf/","citationCount":"10","resultStr":null,"platform":"Semanticscholar","paperid":null,"PeriodicalName":"British and Irish Orthoptic Journal","FirstCategoryId":"1085","ListUrlMain":"https://doi.org/10.22599/bioj.146","RegionNum":0,"RegionCategory":null,"ArticlePicture":[],"TitleCN":null,"AbstractTextCN":null,"PMCID":null,"EPubDate":"","PubModel":"","JCR":"Q3","JCRName":"Medicine","Score":null,"Total":0}
引用次数: 10

Abstract

Aim: To investigate if the EyeChart app gives accurate visual acuity (VA) measurements that are comparable to those achieved using traditional VA charts.

Method: Twenty-four participants (aged 18-27 years, mean 20.13 ± 1.78 years) with VA of 6/60 Snellen or better regardless of any strabismus, amblyopia, or ocular pathology volunteered for this prospective study. The best-corrected monocular VA of each participant's right eye was measured on the Snellen chart at 6 m, the ETDRS chart at 3 m, and the EyeChart app presented on an iPhone SE at 1.2 m (4ft).

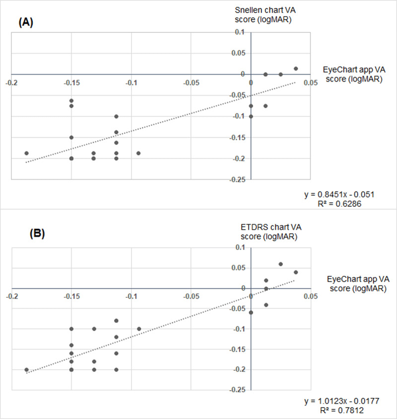
Results: The mean VA scores obtained were: -0.13 ± 0.08 logMAR on the Snellen chart, -0.11 ± 0.08 logMAR on the ETDRS chart, and -0.09 ± 0.07 logMAR on the EyeChart app. After Bonferroni Correction adjustments were applied, a significant difference was found between the EyeChart app and the Snellen chart (t = -3.756, p = 0.003), however the difference between the EyeChart app and the ETDRS chart did not reach statistical significance (t = -2.391, p = 0.076). The EyeChart app had a strong correlation with both the Snellen (r = 0.79, p < 0.01) and ETDRS charts (r = 0.88, p < 0.01). The Coefficients of Agreement revealed a variation of less than one logMAR line between the EyeChart app and the traditional VA charts (Snellen: 0.09 logMAR; ETDRS: 0.08 logMAR).

Conclusion: This study found that the EyeChart app gives accurate VA scores that are comparable to those achieved using the gold-standard ETDRS chart in a healthy young adult population. However, the accuracy and repeatability of the EyeChart app when testing a patient population must be investigated before it can be integrated into clinical practice.

Abstract Image

Abstract Image

iphone上的EyeChart应用程序能提供与传统视力表相当的测量结果吗?
目的:调查EyeChart应用程序是否提供准确的视力(VA)测量,可与使用传统VA图表获得的结果相媲美。方法:24名志愿者(年龄18-27岁,平均20.13±1.78岁),视差为6/60或更高,无论是否有斜视、弱视或眼部病理,均自愿参加本前瞻性研究。在Snellen图上测量每个参与者右眼的最佳单眼矫正VA为6米,ETDRS图为3米,在iPhone SE上显示的EyeChart应用程序为1.2米(4英尺)。结果:获得的VA平均评分为:Snellen图-0.13±0.08 logMAR, ETDRS图-0.11±0.08 logMAR, EyeChart app -0.09±0.07 logMAR。经Bonferroni校正后,EyeChart app与Snellen图差异有统计学意义(t = -3.756, p = 0.003),而EyeChart app与ETDRS图差异无统计学意义(t = -2.391, p = 0.076)。EyeChart应用程序与Snellen图(r = 0.79, p < 0.01)和ETDRS图(r = 0.88, p < 0.01)均有很强的相关性。一致性系数显示,EyeChart应用与传统VA图表之间的logMAR差异小于1条(Snellen: 0.09 logMAR;ETDRS: 0.08 logMAR)。结论:本研究发现,EyeChart应用程序在健康的年轻成年人中提供准确的VA评分,与使用金标准ETDRS图表获得的评分相当。然而,EyeChart应用程序在测试患者群体时的准确性和可重复性必须进行调查,然后才能将其整合到临床实践中。
本文章由计算机程序翻译,如有差异,请以英文原文为准。
求助全文
约1分钟内获得全文 求助全文
来源期刊
British and Irish Orthoptic Journal
British and Irish Orthoptic Journal Health Professions-Optometry
CiteScore
1.50
自引率
0.00%
发文量
13
审稿时长
18 weeks
×
引用
GB/T 7714-2015
复制
MLA
复制
APA
复制
导出至
BibTeX EndNote RefMan NoteFirst NoteExpress
×
提示
您的信息不完整,为了账户安全,请先补充。
现在去补充
×
提示
您因"违规操作"
具体请查看互助需知
我知道了
×
提示
确定
请完成安全验证×
copy
已复制链接
快去分享给好友吧!
我知道了
右上角分享
点击右上角分享
0
联系我们:info@booksci.cn Book学术提供免费学术资源搜索服务,方便国内外学者检索中英文文献。致力于提供最便捷和优质的服务体验。 Copyright © 2023 布克学术 All rights reserved.
京ICP备2023020795号-1
ghs 京公网安备 11010802042870号
Book学术文献互助
Book学术文献互助群
群 号:604180095
Book学术官方微信