Risk assessment for indeterminate pulmonary nodules using a novel, plasma-protein based biomarker assay.

Biomedical research and clinical practice Pub Date : 2018-12-01 Epub Date: 2018-10-29 DOI:10.15761/brcp.1000173
Neil N Trivedi, Mehrdad Arjomandi, James K Brown, Tess Rubenstein, Abigail D Rostykus, Stephanie Esposito, Eden Axler, Mike Beggs, Heng Yu, Luis Carbonell, Alice Juang, Sandy Kamer, Bhavin Patel, Shan Wang, Amanda L Fish, Zaid Haddad, Alan Hb Wu
{"title":"Risk assessment for indeterminate pulmonary nodules using a novel, plasma-protein based biomarker assay.","authors":"Neil N Trivedi, Mehrdad Arjomandi, James K Brown, Tess Rubenstein, Abigail D Rostykus, Stephanie Esposito, Eden Axler, Mike Beggs, Heng Yu, Luis Carbonell, Alice Juang, Sandy Kamer, Bhavin Patel, Shan Wang, Amanda L Fish, Zaid Haddad, Alan Hb Wu","doi":"10.15761/brcp.1000173","DOIUrl":null,"url":null,"abstract":"<p><strong>Background: </strong>The increase in lung cancer screening is intensifying the need for a noninvasive test to characterize the many indeterminate pulmonary nodules (IPN) discovered. Correctly identifying non-cancerous nodules is needed to reduce overdiagnosis and overtreatment. Alternatively, early identification of malignant nodules may represent a potentially curable form of lung cancer.</p><p><strong>Objective: </strong>To develop and validate a plasma-based multiplexed protein assay for classifying IPN by discriminating between those with a lung cancer diagnosis established pathologically and those found to be clinically and radiographically stable for at least one year.</p><p><strong>Methods: </strong>Using a novel technology, we developed assays for plasma proteins associated with lung cancer into a panel for characterizing the risk that an IPN found on chest imaging is malignant. The assay panel was evaluated with a cohort of 277 samples, all from current smokers with an IPN 4-30 mm. Subjects were divided into training and test sets to identify a Support Vector Machine (SVM) model for risk classification containing those proteins and clinical factors that added discriminatory information to the Veteran's Affairs (VA) Clinical Factors Model. The algorithm was then evaluated in an independent validation cohort.</p><p><strong>Results: </strong>Among the 97 validation study subjects, 68 were grouped as having intermediate risk by the VA model of which the SVM model correctly identified 44 (65%) of these intermediate-risk samples as low (n=16) or high risk (n=28). The SVM model negative predictive value (NPV) was 94% and its sensitivity was 94%.</p><p><strong>Conclusion: </strong>The performance of the novel plasma protein biomarker assay supports its use as a noninvasive risk assessment aid for characterizing IPN. The high NPV of the SVM model suggests its application as a rule-out test to increase the confidence of providers to avoid aggressive interventions for their patients for whom the VA model result is an inconclusive, intermediate risk.</p>","PeriodicalId":92336,"journal":{"name":"Biomedical research and clinical practice","volume":"3 4","pages":""},"PeriodicalIF":0.0000,"publicationDate":"2018-12-01","publicationTypes":"Journal Article","fieldsOfStudy":null,"isOpenAccess":false,"openAccessPdf":"https://www.ncbi.nlm.nih.gov/pmc/articles/PMC7480946/pdf/","citationCount":"0","resultStr":null,"platform":"Semanticscholar","paperid":null,"PeriodicalName":"Biomedical research and clinical practice","FirstCategoryId":"1085","ListUrlMain":"https://doi.org/10.15761/brcp.1000173","RegionNum":0,"RegionCategory":null,"ArticlePicture":[],"TitleCN":null,"AbstractTextCN":null,"PMCID":null,"EPubDate":"2018/10/29 0:00:00","PubModel":"Epub","JCR":"","JCRName":"","Score":null,"Total":0}
引用次数: 0

Abstract

Background: The increase in lung cancer screening is intensifying the need for a noninvasive test to characterize the many indeterminate pulmonary nodules (IPN) discovered. Correctly identifying non-cancerous nodules is needed to reduce overdiagnosis and overtreatment. Alternatively, early identification of malignant nodules may represent a potentially curable form of lung cancer.

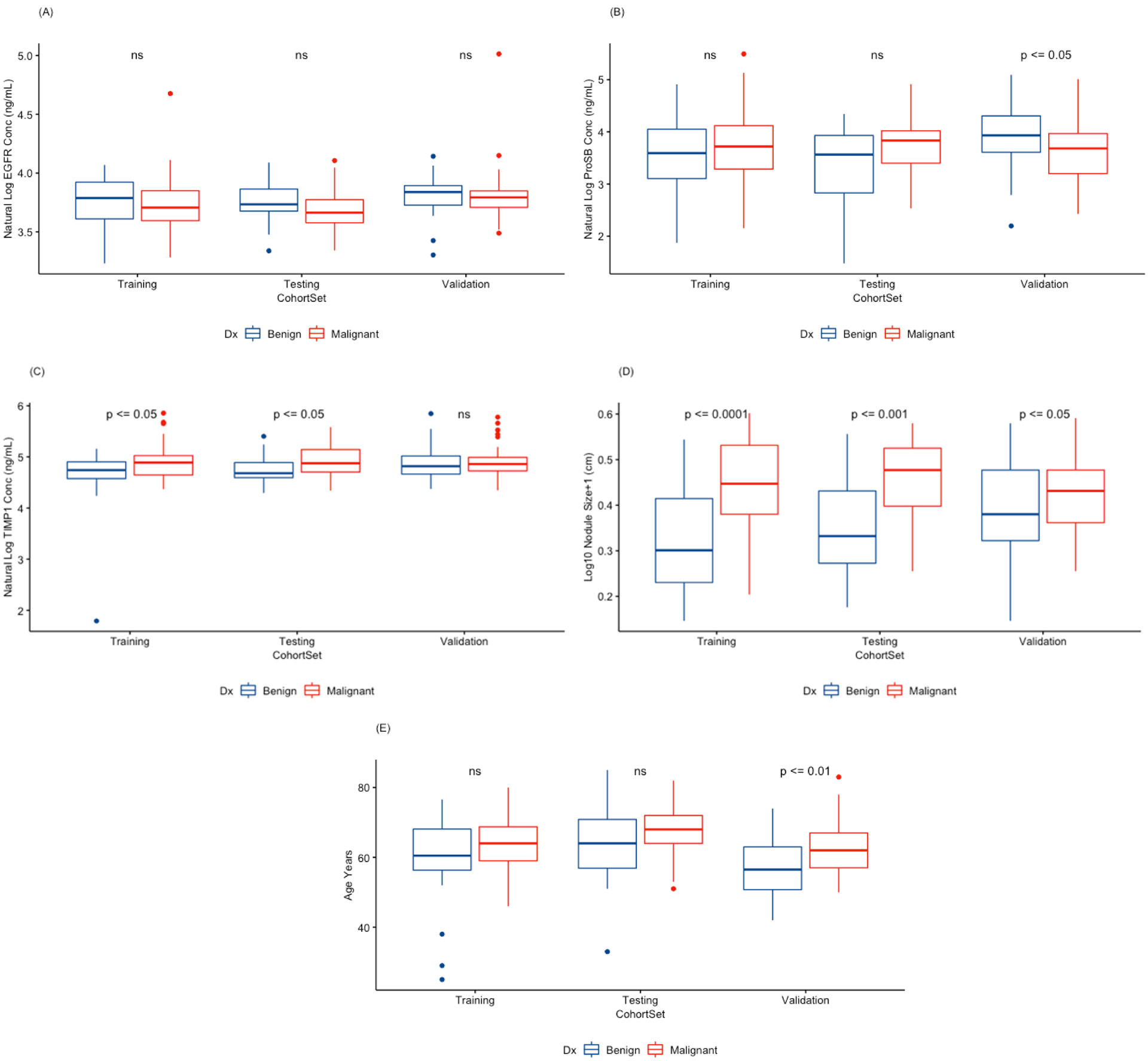
Objective: To develop and validate a plasma-based multiplexed protein assay for classifying IPN by discriminating between those with a lung cancer diagnosis established pathologically and those found to be clinically and radiographically stable for at least one year.

Methods: Using a novel technology, we developed assays for plasma proteins associated with lung cancer into a panel for characterizing the risk that an IPN found on chest imaging is malignant. The assay panel was evaluated with a cohort of 277 samples, all from current smokers with an IPN 4-30 mm. Subjects were divided into training and test sets to identify a Support Vector Machine (SVM) model for risk classification containing those proteins and clinical factors that added discriminatory information to the Veteran's Affairs (VA) Clinical Factors Model. The algorithm was then evaluated in an independent validation cohort.

Results: Among the 97 validation study subjects, 68 were grouped as having intermediate risk by the VA model of which the SVM model correctly identified 44 (65%) of these intermediate-risk samples as low (n=16) or high risk (n=28). The SVM model negative predictive value (NPV) was 94% and its sensitivity was 94%.

Conclusion: The performance of the novel plasma protein biomarker assay supports its use as a noninvasive risk assessment aid for characterizing IPN. The high NPV of the SVM model suggests its application as a rule-out test to increase the confidence of providers to avoid aggressive interventions for their patients for whom the VA model result is an inconclusive, intermediate risk.

Abstract Image

Abstract Image

Abstract Image

使用基于血浆蛋白的新型生物标记物检测法对不确定肺结节进行风险评估。
背景:随着肺癌筛查的增加,人们更加需要一种无创检验来确定已发现的许多不确定肺结节(IPN)的特征。需要正确识别非癌结节,以减少过度诊断和过度治疗。另外,早期识别恶性结节可能代表一种潜在的可治愈的肺癌形式:目的:开发并验证一种基于血浆的多重蛋白检测方法,通过区分病理确诊为肺癌的结节和临床及影像学表现稳定至少一年的结节,对 IPN 进行分类:我们采用一种新技术,开发了与肺癌相关的血浆蛋白检测方法,并将其整合到一个检测面板中,用于确定胸部影像学检查发现的 IPN 是否为恶性肿瘤。我们用一组 277 份样本对该检测板进行了评估,所有样本均来自 IPN 为 4-30 mm 的当前吸烟者。受试者被分为训练集和测试集,以确定用于风险分类的支持向量机 (SVM) 模型,该模型包含的蛋白质和临床因素为退伍军人事务 (VA) 临床因素模型增加了判别信息。然后在一个独立的验证组群中对该算法进行了评估:结果:在 97 名验证研究对象中,有 68 人被退伍军人事务部模型归类为中度风险,其中 SVM 模型正确识别出 44 个(65%)中度风险样本为低风险(16 人)或高风险(28 人)。SVM 模型的阴性预测值(NPV)为 94%,灵敏度为 94%:新型血浆蛋白生物标志物检测的性能支持将其用作描述 IPN 特征的无创风险评估辅助工具。SVM 模型的高 NPV 建议将其用作排除测试,以增强医疗服务提供者的信心,避免对 VA 模型结果为不确定的中度风险患者进行积极干预。
本文章由计算机程序翻译,如有差异,请以英文原文为准。
求助全文
约1分钟内获得全文 求助全文
来源期刊
自引率
0.00%
发文量
0
×
引用
GB/T 7714-2015
复制
MLA
复制
APA
复制
导出至
BibTeX EndNote RefMan NoteFirst NoteExpress
×
提示
您的信息不完整,为了账户安全,请先补充。
现在去补充
×
提示
您因"违规操作"
具体请查看互助需知
我知道了
×
提示
确定
请完成安全验证×
copy
已复制链接
快去分享给好友吧!
我知道了
右上角分享
点击右上角分享
0
联系我们:info@booksci.cn Book学术提供免费学术资源搜索服务,方便国内外学者检索中英文文献。致力于提供最便捷和优质的服务体验。 Copyright © 2023 布克学术 All rights reserved.
京ICP备2023020795号-1
ghs 京公网安备 11010802042870号
Book学术文献互助
Book学术文献互助群
群 号:604180095
Book学术官方微信