Victims, Vignettes, and Videos: Meta-Analytic and Experimental Evidence That Emotional Impact Enhances the Derogation of Innocent Victims.

IF 10.4 1区 心理学 Q1 PSYCHOLOGY, SOCIAL
Personality and Social Psychology Review Pub Date : 2020-08-01 Epub Date: 2020-04-22 DOI:10.1177/1088868320914208
Rael J Dawtry, Mitchell J Callan, Annelie J Harvey, Ana I Gheorghiu
{"title":"Victims, Vignettes, and Videos: Meta-Analytic and Experimental Evidence That Emotional Impact Enhances the Derogation of Innocent Victims.","authors":"Rael J Dawtry, Mitchell J Callan, Annelie J Harvey, Ana I Gheorghiu","doi":"10.1177/1088868320914208","DOIUrl":null,"url":null,"abstract":"<p><p>Research during the 1960s found that observers could be moved enough by an innocent victim's suffering to derogate their character. However, recent research has produced inconsistent evidence for this effect. We conducted the first meta-analysis (<i>k</i> = 55) of the experimental literature on the victim derogation effect to test the hypothesis that it varies as a function of the emotional impactfulness of the context for observers. We found that studies which employed more impactful contexts (e.g., that were real and vivid) reported larger derogation effects. Emotional impact was, however, confounded by year of appearance, such that older studies reported larger effects and were more impactful. To disentangle the role of emotional impact, in two primary experiments we found that more impactful contexts increased the derogation of an innocent victim. Overall, the findings advance our theoretical understanding of the contexts in which observers are more likely to derogate an innocent victim.</p>","PeriodicalId":48386,"journal":{"name":"Personality and Social Psychology Review","volume":"24 3","pages":"233-259"},"PeriodicalIF":10.4000,"publicationDate":"2020-08-01","publicationTypes":"Journal Article","fieldsOfStudy":null,"isOpenAccess":false,"openAccessPdf":"https://www.ncbi.nlm.nih.gov/pmc/articles/PMC7506872/pdf/","citationCount":"0","resultStr":null,"platform":"Semanticscholar","paperid":null,"PeriodicalName":"Personality and Social Psychology Review","FirstCategoryId":"102","ListUrlMain":"https://doi.org/10.1177/1088868320914208","RegionNum":1,"RegionCategory":"心理学","ArticlePicture":[],"TitleCN":null,"AbstractTextCN":null,"PMCID":null,"EPubDate":"2020/4/22 0:00:00","PubModel":"Epub","JCR":"Q1","JCRName":"PSYCHOLOGY, SOCIAL","Score":null,"Total":0}
引用次数: 0

Abstract

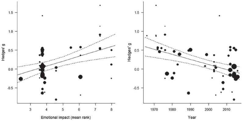
Research during the 1960s found that observers could be moved enough by an innocent victim's suffering to derogate their character. However, recent research has produced inconsistent evidence for this effect. We conducted the first meta-analysis (k = 55) of the experimental literature on the victim derogation effect to test the hypothesis that it varies as a function of the emotional impactfulness of the context for observers. We found that studies which employed more impactful contexts (e.g., that were real and vivid) reported larger derogation effects. Emotional impact was, however, confounded by year of appearance, such that older studies reported larger effects and were more impactful. To disentangle the role of emotional impact, in two primary experiments we found that more impactful contexts increased the derogation of an innocent victim. Overall, the findings advance our theoretical understanding of the contexts in which observers are more likely to derogate an innocent victim.

Abstract Image

Abstract Image

Abstract Image

受害者、小故事和视频:元分析和实验证据表明,情感冲击会增强对无辜受害者的贬损。
20 世纪 60 年代的研究发现,观察者会被无辜受害者的痛苦所感动,从而贬低他们的人格。然而,最近的研究却对这种效应提出了不一致的证据。我们首次对受害者贬损效应的实验文献进行了荟萃分析(k = 55),以验证这样一个假设,即受害者贬损效应随情境对观察者情感冲击力的大小而变化。我们发现,采用更有冲击力的情境(如真实生动的情境)的研究报告了更大的贬损效应。然而,情感影响会受到出现年份的影响,因此出现年份越早的研究报告的影响越大,影响也越大。为了区分情绪影响的作用,我们在两个主要实验中发现,更具影响力的情境会增加对无辜受害者的贬损。总之,这些发现推进了我们对观察者更有可能贬损无辜受害者的情境的理论理解。
本文章由计算机程序翻译,如有差异,请以英文原文为准。
求助全文
约1分钟内获得全文 求助全文
来源期刊
CiteScore
19.00
自引率
1.90%
发文量
20
期刊介绍: Title: Personality and Social Psychology Review (PSPR) Journal Overview: Official journal of SPSP, the Society for Personality and Social Psychology, Inc. Premiere outlet for original theoretical papers and conceptual review articles in all areas of personality and social psychology Features stimulating conceptual pieces identifying new research directions and comprehensive review papers providing integrative frameworks for existing theory and research programs Topics Covered: Attitudes and Social Cognition: Examines the inner workings of the human mind in understanding, evaluating, and responding to the social environment Interpersonal and Group Processes: Explores patterns of interaction and interdependence characterizing everyday human functioning Intergroup Relations: Investigates determinants of prejudice, conflict, cooperation, and harmonious relationships between social groups Personality and Individual Differences: Focuses on causes, assessment, structures, and processes giving rise to human variation Biological and Cultural Influences: Studies the biological and cultural mediation of social psychological and personality processes
×
引用
GB/T 7714-2015
复制
MLA
复制
APA
复制
导出至
BibTeX EndNote RefMan NoteFirst NoteExpress
×
提示
您的信息不完整,为了账户安全,请先补充。
现在去补充
×
提示
您因"违规操作"
具体请查看互助需知
我知道了
×
提示
确定
请完成安全验证×
copy
已复制链接
快去分享给好友吧!
我知道了
右上角分享
点击右上角分享
0
联系我们:info@booksci.cn Book学术提供免费学术资源搜索服务,方便国内外学者检索中英文文献。致力于提供最便捷和优质的服务体验。 Copyright © 2023 布克学术 All rights reserved.
京ICP备2023020795号-1
ghs 京公网安备 11010802042870号
Book学术文献互助
Book学术文献互助群
群 号:604180095
Book学术官方微信