Network-based approach to prediction and population-based validation of in silico drug repurposing.

IF 15.7 1区 综合性期刊 Q1 MULTIDISCIPLINARY SCIENCES
Feixiong Cheng, Rishi J Desai, Diane E Handy, Ruisheng Wang, Sebastian Schneeweiss, Albert-László Barabási, Joseph Loscalzo
{"title":"Network-based approach to prediction and population-based validation of in silico drug repurposing.","authors":"Feixiong Cheng,&nbsp;Rishi J Desai,&nbsp;Diane E Handy,&nbsp;Ruisheng Wang,&nbsp;Sebastian Schneeweiss,&nbsp;Albert-László Barabási,&nbsp;Joseph Loscalzo","doi":"10.1038/s41467-018-05116-5","DOIUrl":null,"url":null,"abstract":"<p><p>Here we identify hundreds of new drug-disease associations for over 900 FDA-approved drugs by quantifying the network proximity of disease genes and drug targets in the human (protein-protein) interactome. We select four network-predicted associations to test their causal relationship using large healthcare databases with over 220 million patients and state-of-the-art pharmacoepidemiologic analyses. Using propensity score matching, two of four network-based predictions are validated in patient-level data: carbamazepine is associated with an increased risk of coronary artery disease (CAD) [hazard ratio (HR) 1.56, 95% confidence interval (CI) 1.12-2.18], and hydroxychloroquine is associated with a decreased risk of CAD (HR 0.76, 95% CI 0.59-0.97). In vitro experiments show that hydroxychloroquine attenuates pro-inflammatory cytokine-mediated activation in human aortic endothelial cells, supporting mechanistically its potential beneficial effect in CAD. In summary, we demonstrate that a unique integration of protein-protein interaction network proximity and large-scale patient-level longitudinal data complemented by mechanistic in vitro studies can facilitate drug repurposing.</p>","PeriodicalId":19066,"journal":{"name":"Nature Communications","volume":" ","pages":"2691"},"PeriodicalIF":15.7000,"publicationDate":"2018-07-12","publicationTypes":"Journal Article","fieldsOfStudy":null,"isOpenAccess":false,"openAccessPdf":"https://sci-hub-pdf.com/10.1038/s41467-018-05116-5","citationCount":"337","resultStr":null,"platform":"Semanticscholar","paperid":null,"PeriodicalName":"Nature Communications","FirstCategoryId":"103","ListUrlMain":"https://doi.org/10.1038/s41467-018-05116-5","RegionNum":1,"RegionCategory":"综合性期刊","ArticlePicture":[],"TitleCN":null,"AbstractTextCN":null,"PMCID":null,"EPubDate":"","PubModel":"","JCR":"Q1","JCRName":"MULTIDISCIPLINARY SCIENCES","Score":null,"Total":0}
引用次数: 337

Abstract

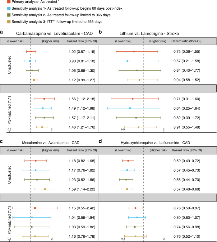
Here we identify hundreds of new drug-disease associations for over 900 FDA-approved drugs by quantifying the network proximity of disease genes and drug targets in the human (protein-protein) interactome. We select four network-predicted associations to test their causal relationship using large healthcare databases with over 220 million patients and state-of-the-art pharmacoepidemiologic analyses. Using propensity score matching, two of four network-based predictions are validated in patient-level data: carbamazepine is associated with an increased risk of coronary artery disease (CAD) [hazard ratio (HR) 1.56, 95% confidence interval (CI) 1.12-2.18], and hydroxychloroquine is associated with a decreased risk of CAD (HR 0.76, 95% CI 0.59-0.97). In vitro experiments show that hydroxychloroquine attenuates pro-inflammatory cytokine-mediated activation in human aortic endothelial cells, supporting mechanistically its potential beneficial effect in CAD. In summary, we demonstrate that a unique integration of protein-protein interaction network proximity and large-scale patient-level longitudinal data complemented by mechanistic in vitro studies can facilitate drug repurposing.

Abstract Image

Abstract Image

Abstract Image

基于网络的预测方法和基于人群的计算机药物再利用验证。
在这里,我们通过量化疾病基因和人类(蛋白质-蛋白质)相互作用组中药物靶点的网络接近度,确定了900多种fda批准的药物的数百种新的药物-疾病关联。我们选择了四个网络预测关联,使用超过2.2亿患者的大型医疗数据库和最先进的药物流行病学分析来测试它们的因果关系。使用倾向评分匹配,四种基于网络的预测中有两种在患者水平数据中得到验证:卡马西平与冠状动脉疾病(CAD)风险增加相关[风险比(HR) 1.56, 95%置信区间(CI) 1.12-2.18],羟氯喹与冠心病风险降低相关(HR 0.76, 95% CI 0.59-0.97)。体外实验表明,羟氯喹可减弱人主动脉内皮细胞中促炎细胞因子介导的激活,从而支持其对冠心病的潜在有益作用。总之,我们证明了蛋白质-蛋白质相互作用网络邻近性和大规模患者水平纵向数据的独特整合以及体外机制研究可以促进药物再利用。
本文章由计算机程序翻译,如有差异,请以英文原文为准。
求助全文
约1分钟内获得全文 求助全文
来源期刊
Nature Communications
Nature Communications Biological Science Disciplines-
CiteScore
24.90
自引率
2.40%
发文量
6928
审稿时长
3.7 months
期刊介绍: Nature Communications, an open-access journal, publishes high-quality research spanning all areas of the natural sciences. Papers featured in the journal showcase significant advances relevant to specialists in each respective field. With a 2-year impact factor of 16.6 (2022) and a median time of 8 days from submission to the first editorial decision, Nature Communications is committed to rapid dissemination of research findings. As a multidisciplinary journal, it welcomes contributions from biological, health, physical, chemical, Earth, social, mathematical, applied, and engineering sciences, aiming to highlight important breakthroughs within each domain.
×
引用
GB/T 7714-2015
复制
MLA
复制
APA
复制
导出至
BibTeX EndNote RefMan NoteFirst NoteExpress
×
提示
您的信息不完整,为了账户安全,请先补充。
现在去补充
×
提示
您因"违规操作"
具体请查看互助需知
我知道了
×
提示
确定
请完成安全验证×
copy
已复制链接
快去分享给好友吧!
我知道了
右上角分享
点击右上角分享
0
联系我们:info@booksci.cn Book学术提供免费学术资源搜索服务,方便国内外学者检索中英文文献。致力于提供最便捷和优质的服务体验。 Copyright © 2023 布克学术 All rights reserved.
京ICP备2023020795号-1
ghs 京公网安备 11010802042870号
Book学术文献互助
Book学术文献互助群
群 号:604180095
Book学术官方微信