Impact of Gastrointestinal Symptoms on Health-Related Quality of Life in an Australian Parkinson's Disease Cohort.

IF 2.2 4区 医学 Q3 CLINICAL NEUROLOGY
Parkinson's Disease Pub Date : 2022-11-25 eCollection Date: 2022-01-01 DOI:10.1155/2022/4053665
Jade E Kenna, Megan C Bakeberg, Maddison Y Abonnel, Frank L Mastaglia, Ryan S Anderton
{"title":"Impact of Gastrointestinal Symptoms on Health-Related Quality of Life in an Australian Parkinson's Disease Cohort.","authors":"Jade E Kenna,&nbsp;Megan C Bakeberg,&nbsp;Maddison Y Abonnel,&nbsp;Frank L Mastaglia,&nbsp;Ryan S Anderton","doi":"10.1155/2022/4053665","DOIUrl":null,"url":null,"abstract":"<p><strong>Background: </strong>Gastrointestinal symptoms (GIS) in people with Parkinson's disease (PwP) are often underreported and may remain untreated. Constipation is a common nonmotor symptom that can adversely affect health-related quality of life (QoL); however, the impact of other GIS has not been adequately investigated.</p><p><strong>Objectives: </strong>To investigate the relationship between QoL and constipation using the Bristol Stool Chart, bowel movement frequency, and a perceived constipation measure; and to explore the relationship between QoL and other GIS in an Australian PD cohort.</p><p><strong>Methods: </strong>The impact of constipation and other GIS on QoL, as measured using the PDQ-39 scale, was assessed in a cohort of 144 (89 males, 55 females) clinic-attending PwP. Constipation was assessed using the Bristol Stool Chart as well as a composite constipation measure, and the Gastrointestinal Symptom Rating Scale (GSRS) was used to rate other GIS. Covariate corrected linear regression models were utilised to determine significant associations between GIS and QoL scores.</p><p><strong>Results: </strong>Individual and combined constipation measures were significantly associated with poorer QoL (<i>p</i>=0.032 and <i>p</i>=0.002, respectively). Analysis of GSRS symptom domains showed that in addition to symptoms of gastrointestinal hypomotility, a number of other symptoms such as increased eructation and increased flatus were also associated with poorer QoL.</p><p><strong>Conclusions: </strong>The findings point to the importance of GIS as contributor to health-related QoL in PwP. A better understanding of the relationship between GIS and QoL will help facilitate the development of more effective screening and treatment programs to improve symptom management and QoL for PwP.</p>","PeriodicalId":19907,"journal":{"name":"Parkinson's Disease","volume":" ","pages":"4053665"},"PeriodicalIF":2.2000,"publicationDate":"2022-11-25","publicationTypes":"Journal Article","fieldsOfStudy":null,"isOpenAccess":false,"openAccessPdf":"https://www.ncbi.nlm.nih.gov/pmc/articles/PMC9718626/pdf/","citationCount":"1","resultStr":null,"platform":"Semanticscholar","paperid":null,"PeriodicalName":"Parkinson's Disease","FirstCategoryId":"3","ListUrlMain":"https://doi.org/10.1155/2022/4053665","RegionNum":4,"RegionCategory":"医学","ArticlePicture":[],"TitleCN":null,"AbstractTextCN":null,"PMCID":null,"EPubDate":"2022/1/1 0:00:00","PubModel":"eCollection","JCR":"Q3","JCRName":"CLINICAL NEUROLOGY","Score":null,"Total":0}
引用次数: 1

Abstract

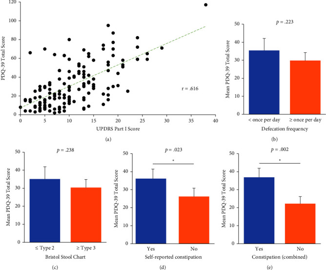
Background: Gastrointestinal symptoms (GIS) in people with Parkinson's disease (PwP) are often underreported and may remain untreated. Constipation is a common nonmotor symptom that can adversely affect health-related quality of life (QoL); however, the impact of other GIS has not been adequately investigated.

Objectives: To investigate the relationship between QoL and constipation using the Bristol Stool Chart, bowel movement frequency, and a perceived constipation measure; and to explore the relationship between QoL and other GIS in an Australian PD cohort.

Methods: The impact of constipation and other GIS on QoL, as measured using the PDQ-39 scale, was assessed in a cohort of 144 (89 males, 55 females) clinic-attending PwP. Constipation was assessed using the Bristol Stool Chart as well as a composite constipation measure, and the Gastrointestinal Symptom Rating Scale (GSRS) was used to rate other GIS. Covariate corrected linear regression models were utilised to determine significant associations between GIS and QoL scores.

Results: Individual and combined constipation measures were significantly associated with poorer QoL (p=0.032 and p=0.002, respectively). Analysis of GSRS symptom domains showed that in addition to symptoms of gastrointestinal hypomotility, a number of other symptoms such as increased eructation and increased flatus were also associated with poorer QoL.

Conclusions: The findings point to the importance of GIS as contributor to health-related QoL in PwP. A better understanding of the relationship between GIS and QoL will help facilitate the development of more effective screening and treatment programs to improve symptom management and QoL for PwP.

Abstract Image

胃肠道症状对澳大利亚帕金森病患者健康相关生活质量的影响
背景:帕金森病(PwP)患者的胃肠道症状(GIS)经常被低估,并且可能得不到治疗。便秘是一种常见的非运动症状,可对健康相关生活质量(QoL)产生不利影响;然而,其他地理信息系统的影响尚未得到充分调查。目的:通过布里斯托大便图、排便频率和感知便秘测量来探讨生活质量与便秘的关系;并探讨澳大利亚PD队列中生活质量与其他GIS之间的关系。方法:采用PDQ-39量表测量便秘和其他GIS对生活质量的影响,对144名(89名男性,55名女性)临床就诊的PwP患者进行评估。使用布里斯托大便量表和复合便秘量表评估便秘,并使用胃肠道症状评定量表(GSRS)对其他GIS进行评分。协变量校正线性回归模型用于确定GIS和生活质量评分之间的显著关联。结果:单独和联合便秘措施与较差的生活质量显著相关(p=0.032和p=0.002)。对GSRS症状域的分析表明,除了胃肠功能低下的症状外,许多其他症状,如嗳气增加和胀气增加也与较差的生活质量有关。结论:研究结果指出GIS对PwP患者健康相关生活质量的重要性。更好地了解GIS与生活质量之间的关系将有助于制定更有效的筛查和治疗方案,以改善PwP的症状管理和生活质量。
本文章由计算机程序翻译,如有差异,请以英文原文为准。
求助全文
约1分钟内获得全文 求助全文
来源期刊
Parkinson's Disease
Parkinson's Disease CLINICAL NEUROLOGY-
CiteScore
5.80
自引率
3.10%
发文量
0
审稿时长
18 weeks
期刊介绍: Parkinson’s Disease is a peer-reviewed, Open Access journal that publishes original research articles, review articles, and clinical studies related to the epidemiology, etiology, pathogenesis, genetics, cellular, molecular and neurophysiology, as well as the diagnosis and treatment of Parkinson’s disease.
×
引用
GB/T 7714-2015
复制
MLA
复制
APA
复制
导出至
BibTeX EndNote RefMan NoteFirst NoteExpress
×
提示
您的信息不完整,为了账户安全,请先补充。
现在去补充
×
提示
您因"违规操作"
具体请查看互助需知
我知道了
×
提示
确定
请完成安全验证×
copy
已复制链接
快去分享给好友吧!
我知道了
右上角分享
点击右上角分享
0
联系我们:info@booksci.cn Book学术提供免费学术资源搜索服务,方便国内外学者检索中英文文献。致力于提供最便捷和优质的服务体验。 Copyright © 2023 布克学术 All rights reserved.
京ICP备2023020795号-1
ghs 京公网安备 11010802042870号
Book学术文献互助
Book学术文献互助群
群 号:604180095
Book学术官方微信