Radiomics signature for predicting postoperative disease-free survival of patients with gastric cancer: development and validation of a predictive nomogram.

IF 1.7 4区 医学 Q2 Medicine
Shuguang Shi, Zhongchang Miao, Ying Zhou, Chunling Xu, Xue Zhang
{"title":"Radiomics signature for predicting postoperative disease-free survival of patients with gastric cancer: development and validation of a predictive nomogram.","authors":"Shuguang Shi,&nbsp;Zhongchang Miao,&nbsp;Ying Zhou,&nbsp;Chunling Xu,&nbsp;Xue Zhang","doi":"10.5152/dir.2022.211034","DOIUrl":null,"url":null,"abstract":"<p><p>PURPOSE Radiomics can be used to determine the prognosis of gastric cancer (GC). The objective of this study was to predict the disease-free survival (DFS) after GC surgery based on computed tomography-enhanced images combined with clinical features. METHODS Clinical, imaging, and pathological data of patients who underwent gastric adenocarcinoma resection from June 2015 to May 2019 were retrospectively analyzed. The primary outcome was DFS. Radiomics features were selected using Least Absolute Shrinkage and Selection Operator algorithm and converted into the Rad-score. A nomogram was constructed based on the Radscore and other clinical factors. The Rad-score and nomogram were validated in the training and validation groups. RESULTS Totally, 179 patients were randomly divided into the training (n=124) and validation (n=55) groups. In the training group, validation group, and overall population, the Rad-score could be divided into categories indicating low, moderate, and high risk of recurrence, metastasis, or death; all risk categories showed a significant difference between the training, validation, and overall population groups (all P < .001). Positive lymph nodes (hazard ratio (HR)=3.07, 95% CI: 1.52-6.23, P=.002), cancer antigen-125 (HR=3.24, 95% CI: 1.54-6.80, P=.002), and the Radscore (HR=0.73, 95% CI: 0.61-0.87, P < .001) were independently associated with DFS. These 3 variables were used to construct a nomogram. In the training group, the areas under the curve at 3 years were 0.758 and 0.776 for the Rad-score and the nomogram, respectively, while they were both 1.000 in the validation group. The net benefit rate was analyzed using a decision curve in the training and validation groups, and the nomogram was superior to the single Rad-score. CONCLUSION Rad-score is an independent factor for DFS after gastrectomy for GC. The nomogram established in this study could be an effective tool for the clinical prediction of DFS after gastrectomy.</p>","PeriodicalId":50582,"journal":{"name":"Diagnostic and Interventional Radiology","volume":" ","pages":"441-449"},"PeriodicalIF":1.7000,"publicationDate":"2022-09-01","publicationTypes":"Journal Article","fieldsOfStudy":null,"isOpenAccess":false,"openAccessPdf":"https://ftp.ncbi.nlm.nih.gov/pub/pmc/oa_pdf/6b/27/dir-28-5-441.PMC9682589.pdf","citationCount":"6","resultStr":null,"platform":"Semanticscholar","paperid":null,"PeriodicalName":"Diagnostic and Interventional Radiology","FirstCategoryId":"3","ListUrlMain":"https://doi.org/10.5152/dir.2022.211034","RegionNum":4,"RegionCategory":"医学","ArticlePicture":[],"TitleCN":null,"AbstractTextCN":null,"PMCID":null,"EPubDate":"","PubModel":"","JCR":"Q2","JCRName":"Medicine","Score":null,"Total":0}
引用次数: 6

Abstract

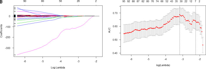
PURPOSE Radiomics can be used to determine the prognosis of gastric cancer (GC). The objective of this study was to predict the disease-free survival (DFS) after GC surgery based on computed tomography-enhanced images combined with clinical features. METHODS Clinical, imaging, and pathological data of patients who underwent gastric adenocarcinoma resection from June 2015 to May 2019 were retrospectively analyzed. The primary outcome was DFS. Radiomics features were selected using Least Absolute Shrinkage and Selection Operator algorithm and converted into the Rad-score. A nomogram was constructed based on the Radscore and other clinical factors. The Rad-score and nomogram were validated in the training and validation groups. RESULTS Totally, 179 patients were randomly divided into the training (n=124) and validation (n=55) groups. In the training group, validation group, and overall population, the Rad-score could be divided into categories indicating low, moderate, and high risk of recurrence, metastasis, or death; all risk categories showed a significant difference between the training, validation, and overall population groups (all P < .001). Positive lymph nodes (hazard ratio (HR)=3.07, 95% CI: 1.52-6.23, P=.002), cancer antigen-125 (HR=3.24, 95% CI: 1.54-6.80, P=.002), and the Radscore (HR=0.73, 95% CI: 0.61-0.87, P < .001) were independently associated with DFS. These 3 variables were used to construct a nomogram. In the training group, the areas under the curve at 3 years were 0.758 and 0.776 for the Rad-score and the nomogram, respectively, while they were both 1.000 in the validation group. The net benefit rate was analyzed using a decision curve in the training and validation groups, and the nomogram was superior to the single Rad-score. CONCLUSION Rad-score is an independent factor for DFS after gastrectomy for GC. The nomogram established in this study could be an effective tool for the clinical prediction of DFS after gastrectomy.

Abstract Image

Abstract Image

Abstract Image

预测胃癌患者术后无病生存的放射组学特征:预测nomogram发展和验证
目的放射组学可用于胃癌(GC)预后的判断。本研究的目的是基于计算机断层扫描增强图像结合临床特征预测胃癌手术后的无病生存(DFS)。方法回顾性分析2015年6月至2019年5月行胃腺癌切除术患者的临床、影像学和病理资料。主要终点为DFS。使用最小绝对收缩和选择算子算法选择放射组学特征并转换为rad评分。基于Radscore和其他临床因素构建nomogram。在训练组和验证组中验证rad评分和nomogram。结果179例患者随机分为训练组(n=124)和验证组(n=55)。在训练组、验证组和总体人群中,rad评分可分为低、中、高复发、转移或死亡风险类别;所有风险类别在训练组、验证组和总体人群组之间均显示出显著差异(均P < 0.001)。淋巴结阳性(风险比(HR)=3.07, 95% CI: 1.52 ~ 6.23, P= 0.002)、癌抗原-125 (HR=3.24, 95% CI: 1.54 ~ 6.80, P= 0.002)和Radscore (HR=0.73, 95% CI: 0.61 ~ 0.87, P < 0.001)与DFS独立相关。这3个变量被用来构造一个nomogram。在训练组中,3年时Rad-score和nomogram曲线下面积分别为0.758和0.776,而在验证组中均为1.000。在训练组和验证组使用决策曲线分析净效益率,nomogram优于单一的Rad-score。结论rad评分是胃癌术后DFS的独立影响因素。本研究建立的nomogram可作为预测胃切除术后DFS的有效工具。
本文章由计算机程序翻译,如有差异,请以英文原文为准。
求助全文
约1分钟内获得全文 求助全文
来源期刊
CiteScore
3.50
自引率
4.80%
发文量
69
审稿时长
6-12 weeks
期刊介绍: Diagnostic and Interventional Radiology (Diagn Interv Radiol) is the open access, online-only official publication of Turkish Society of Radiology. It is published bimonthly and the journal’s publication language is English. The journal is a medium for original articles, reviews, pictorial essays, technical notes related to all fields of diagnostic and interventional radiology.
×
引用
GB/T 7714-2015
复制
MLA
复制
APA
复制
导出至
BibTeX EndNote RefMan NoteFirst NoteExpress
×
提示
您的信息不完整,为了账户安全,请先补充。
现在去补充
×
提示
您因"违规操作"
具体请查看互助需知
我知道了
×
提示
确定
请完成安全验证×
copy
已复制链接
快去分享给好友吧!
我知道了
右上角分享
点击右上角分享
0
联系我们:info@booksci.cn Book学术提供免费学术资源搜索服务,方便国内外学者检索中英文文献。致力于提供最便捷和优质的服务体验。 Copyright © 2023 布克学术 All rights reserved.
京ICP备2023020795号-1
ghs 京公网安备 11010802042870号
Book学术文献互助
Book学术文献互助群
群 号:604180095
Book学术官方微信