The Design, Synthesis, and Evaluation of the Biological Activity of Hydroxamic Derivatives of Sorafenib.

IF 2 4区 生物学 Q4 CELL BIOLOGY
A A Kleymenova, I A Abramov, Ya V Tkachev, P S Galeeva, V A Kleymenova, N F Zakirova, S N Kochetkov, M V Kozlov
{"title":"The Design, Synthesis, and Evaluation of the Biological Activity of Hydroxamic Derivatives of Sorafenib.","authors":"A A Kleymenova, I A Abramov, Ya V Tkachev, P S Galeeva, V A Kleymenova, N F Zakirova, S N Kochetkov, M V Kozlov","doi":"10.32607/actanaturae.27566","DOIUrl":null,"url":null,"abstract":"<p><p>Sorafenib is a multiple tyrosine kinase inhibitor that is used in the treatment of liver and renal cancers. We synthesized the hydroxamic derivatives of sorafenib bearing the pharmacophore elements of zinc-dependent histone deacetylase inhibitors. We uncovered that suppression of cancer cell proliferation by the synthesized hybrid inhibitors critically depends on the structure of the \"deacetylase\" element.</p>","PeriodicalId":6989,"journal":{"name":"Acta Naturae","volume":"17 3","pages":"56-66"},"PeriodicalIF":2.0000,"publicationDate":"2025-07-01","publicationTypes":"Journal Article","fieldsOfStudy":null,"isOpenAccess":false,"openAccessPdf":"https://www.ncbi.nlm.nih.gov/pmc/articles/PMC12536992/pdf/","citationCount":"0","resultStr":null,"platform":"Semanticscholar","paperid":null,"PeriodicalName":"Acta Naturae","FirstCategoryId":"99","ListUrlMain":"https://doi.org/10.32607/actanaturae.27566","RegionNum":4,"RegionCategory":"生物学","ArticlePicture":[],"TitleCN":null,"AbstractTextCN":null,"PMCID":null,"EPubDate":"","PubModel":"","JCR":"Q4","JCRName":"CELL BIOLOGY","Score":null,"Total":0}
引用次数: 0

Abstract

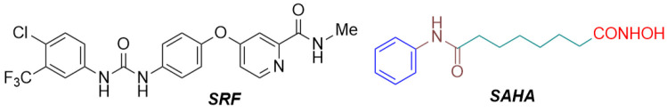
Sorafenib is a multiple tyrosine kinase inhibitor that is used in the treatment of liver and renal cancers. We synthesized the hydroxamic derivatives of sorafenib bearing the pharmacophore elements of zinc-dependent histone deacetylase inhibitors. We uncovered that suppression of cancer cell proliferation by the synthesized hybrid inhibitors critically depends on the structure of the "deacetylase" element.

Abstract Image

Abstract Image

Abstract Image

索拉非尼羟基肟衍生物生物活性的设计、合成和评价。
索拉非尼是一种多酪氨酸激酶抑制剂,用于治疗肝癌和肾癌。我们合成了含有锌依赖性组蛋白去乙酰化酶抑制剂药效团元素的索拉非尼羟肟衍生物。我们发现合成的杂化抑制剂对癌细胞增殖的抑制主要依赖于“去乙酰化酶”元素的结构。
本文章由计算机程序翻译,如有差异,请以英文原文为准。
求助全文
约1分钟内获得全文 求助全文
来源期刊
Acta Naturae
Acta Naturae 农林科学-林学
CiteScore
3.50
自引率
5.00%
发文量
0
审稿时长
>12 weeks
期刊介绍: Acta Naturae is an international journal on life sciences based in Moscow, Russia. Our goal is to present scientific work and discovery in molecular biology, biochemistry, biomedical disciplines and biotechnology. These fields represent the most important priorities for the research and engineering development both in Russia and worldwide. Acta Naturae is also a periodical for those who are curious in various aspects of biotechnological business, innovations in pharmaceutical areas, intellectual property protection and social consequences of scientific progress. The journal publishes analytical industrial surveys focused on the development of different spheres of modern life science and technology. Being a radically new and totally unique journal in Russia, Acta Naturae is useful to both representatives of fundamental research and experts in applied sciences.
×
引用
GB/T 7714-2015
复制
MLA
复制
APA
复制
导出至
BibTeX EndNote RefMan NoteFirst NoteExpress
×
提示
您的信息不完整,为了账户安全,请先补充。
现在去补充
×
提示
您因"违规操作"
具体请查看互助需知
我知道了
×
提示
确定
请完成安全验证×
copy
已复制链接
快去分享给好友吧!
我知道了
右上角分享
点击右上角分享
0
联系我们:info@booksci.cn Book学术提供免费学术资源搜索服务,方便国内外学者检索中英文文献。致力于提供最便捷和优质的服务体验。 Copyright © 2023 布克学术 All rights reserved.
京ICP备2023020795号-1
ghs 京公网安备 11010802042870号
Book学术文献互助
Book学术文献互助群
群 号:604180095
Book学术官方微信