Ibrutinib combined with rituximab and high-dose methotrexate in newly diagnosed primary CNS diffuse large B-cell lymphoma: a pilot study with long-term follow-up.

IF 3.5 3区 医学 Q2 ONCOLOGY
Frontiers in Oncology Pub Date : 2025-10-02 eCollection Date: 2025-01-01 DOI:10.3389/fonc.2025.1669385
Yixian Guo, Yongzhi Shan, Yueshan Piao, Xiaoli Chang, Dongmei Zou, Qiang Ma, Yukui Wei, Geng Xu, Yaming Wang, Dandan Wang, Lianghong Teng, Chunxue Wu, Zhilian Zhao, Tianbin Song, Hong Zhao, Wuhan Hui, Li Su, Wanling Sun
{"title":"Ibrutinib combined with rituximab and high-dose methotrexate in newly diagnosed primary CNS diffuse large B-cell lymphoma: a pilot study with long-term follow-up.","authors":"Yixian Guo, Yongzhi Shan, Yueshan Piao, Xiaoli Chang, Dongmei Zou, Qiang Ma, Yukui Wei, Geng Xu, Yaming Wang, Dandan Wang, Lianghong Teng, Chunxue Wu, Zhilian Zhao, Tianbin Song, Hong Zhao, Wuhan Hui, Li Su, Wanling Sun","doi":"10.3389/fonc.2025.1669385","DOIUrl":null,"url":null,"abstract":"<p><strong>Key point: </strong>IRM appears promising and well tolerated as first-line therapy for newly diagnosed PCNS DLBCL in a small pilot cohort; these hypothesis-generating results require confirmation in larger prospective studies.</p><p><strong>Background: </strong>Primary diffuse large B-cell lymphoma of the central nervous system (PCNS DLBCL) is a rare, aggressive lymphoma with rising incidence in elderly patients. Bruton tyrosine kinase (BTK) inhibitors show promise in recurrent/refractory cases, warranting exploration in newly diagnosed disease.</p><p><strong>Methods: </strong>This single-center pilot study evaluated the safety/efficacy of ibrutinib, rituximab, and high-dose methotrexate (IRM) in nine newly diagnosed PCNS DLBCL patients (2018-2019). Treatment included 4 cycles of IRM induction, consolidation (HSCT or 2 additional IRM cycles), and maintenance therapy (ibrutinib/lenalidomide).</p><p><strong>Results: </strong>After induction, overall response rate (ORR) was 100% (complete response [CR]: 77.8%, partial response [PR]: 22.2%). Post-consolidation, CR increased to 88.9%. At a median follow-up of 77.6 months, 5-year overall survival (OS) and progression-free survival (PFS) rates were both 77.8%, with 8 patients in sustained CR and one progression. No treatment-related deaths occurred; grade ≥3 adverse events were rare (2 neutropenia, 2 anemia, 1 gastrointestinal bleeding).</p><p><strong>Conclusion: </strong>In this small pilot cohort, IRM showed promising activity and tolerability as first-line therapy for PCNS DLBCL. These descriptive findings warrant confirmation in larger prospective trials (#ChiCTR1900027811).</p>","PeriodicalId":12482,"journal":{"name":"Frontiers in Oncology","volume":"15 ","pages":"1669385"},"PeriodicalIF":3.5000,"publicationDate":"2025-10-02","publicationTypes":"Journal Article","fieldsOfStudy":null,"isOpenAccess":false,"openAccessPdf":"https://www.ncbi.nlm.nih.gov/pmc/articles/PMC12527878/pdf/","citationCount":"0","resultStr":null,"platform":"Semanticscholar","paperid":null,"PeriodicalName":"Frontiers in Oncology","FirstCategoryId":"3","ListUrlMain":"https://doi.org/10.3389/fonc.2025.1669385","RegionNum":3,"RegionCategory":"医学","ArticlePicture":[],"TitleCN":null,"AbstractTextCN":null,"PMCID":null,"EPubDate":"2025/1/1 0:00:00","PubModel":"eCollection","JCR":"Q2","JCRName":"ONCOLOGY","Score":null,"Total":0}
引用次数: 0

Abstract

Key point: IRM appears promising and well tolerated as first-line therapy for newly diagnosed PCNS DLBCL in a small pilot cohort; these hypothesis-generating results require confirmation in larger prospective studies.

Background: Primary diffuse large B-cell lymphoma of the central nervous system (PCNS DLBCL) is a rare, aggressive lymphoma with rising incidence in elderly patients. Bruton tyrosine kinase (BTK) inhibitors show promise in recurrent/refractory cases, warranting exploration in newly diagnosed disease.

Methods: This single-center pilot study evaluated the safety/efficacy of ibrutinib, rituximab, and high-dose methotrexate (IRM) in nine newly diagnosed PCNS DLBCL patients (2018-2019). Treatment included 4 cycles of IRM induction, consolidation (HSCT or 2 additional IRM cycles), and maintenance therapy (ibrutinib/lenalidomide).

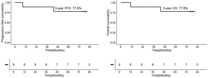
Results: After induction, overall response rate (ORR) was 100% (complete response [CR]: 77.8%, partial response [PR]: 22.2%). Post-consolidation, CR increased to 88.9%. At a median follow-up of 77.6 months, 5-year overall survival (OS) and progression-free survival (PFS) rates were both 77.8%, with 8 patients in sustained CR and one progression. No treatment-related deaths occurred; grade ≥3 adverse events were rare (2 neutropenia, 2 anemia, 1 gastrointestinal bleeding).

Conclusion: In this small pilot cohort, IRM showed promising activity and tolerability as first-line therapy for PCNS DLBCL. These descriptive findings warrant confirmation in larger prospective trials (#ChiCTR1900027811).

Abstract Image

Abstract Image

Abstract Image

伊鲁替尼联合利妥昔单抗和大剂量甲氨蝶呤治疗新诊断的原发性中枢神经系统弥漫性大b细胞淋巴瘤:一项长期随访的初步研究
重点:在一个小型试点队列中,IRM作为新诊断的PCNS DLBCL的一线治疗似乎很有希望和良好的耐受性;这些产生假设的结果需要在更大的前瞻性研究中得到证实。背景:原发性中枢神经系统弥漫性大b细胞淋巴瘤(PCNS DLBCL)是一种罕见的侵袭性淋巴瘤,在老年患者中发病率呈上升趋势。布鲁顿酪氨酸激酶(BTK)抑制剂在复发/难治性病例中显示出希望,值得在新诊断的疾病中进行探索。方法:本单中心试点研究评估了伊鲁替尼、利妥昔单抗和大剂量甲氨蝶呤(IRM)治疗9例新诊断的PCNS DLBCL患者(2018-2019)的安全性/有效性。治疗包括4个周期的IRM诱导、巩固(HSCT或2个额外的IRM周期)和维持治疗(依鲁替尼/来那度胺)。结果:诱导后总缓解率(ORR)为100%(完全缓解[CR]: 77.8%,部分缓解[PR]: 22.2%)。合并后,CR增加到88.9%。在中位77.6个月的随访中,5年总生存率(OS)和无进展生存率(PFS)均为77.8%,其中8例患者持续CR, 1例患者进展。未发生治疗相关死亡;3级以上不良事件罕见(2例中性粒细胞减少症,2例贫血,1例胃肠道出血)。结论:在这个小型试点队列中,IRM作为PCNS DLBCL的一线治疗显示出良好的活性和耐受性。这些描述性发现值得在更大规模的前瞻性试验中得到证实(#ChiCTR1900027811)。
本文章由计算机程序翻译,如有差异,请以英文原文为准。
求助全文
约1分钟内获得全文 求助全文
来源期刊
Frontiers in Oncology
Frontiers in Oncology Biochemistry, Genetics and Molecular Biology-Cancer Research
CiteScore
6.20
自引率
10.60%
发文量
6641
审稿时长
14 weeks
期刊介绍: Cancer Imaging and Diagnosis is dedicated to the publication of results from clinical and research studies applied to cancer diagnosis and treatment. The section aims to publish studies from the entire field of cancer imaging: results from routine use of clinical imaging in both radiology and nuclear medicine, results from clinical trials, experimental molecular imaging in humans and small animals, research on new contrast agents in CT, MRI, ultrasound, publication of new technical applications and processing algorithms to improve the standardization of quantitative imaging and image guided interventions for the diagnosis and treatment of cancer.
×
引用
GB/T 7714-2015
复制
MLA
复制
APA
复制
导出至
BibTeX EndNote RefMan NoteFirst NoteExpress
×
提示
您的信息不完整,为了账户安全,请先补充。
现在去补充
×
提示
您因"违规操作"
具体请查看互助需知
我知道了
×
提示
确定
请完成安全验证×
copy
已复制链接
快去分享给好友吧!
我知道了
右上角分享
点击右上角分享
0
联系我们:info@booksci.cn Book学术提供免费学术资源搜索服务,方便国内外学者检索中英文文献。致力于提供最便捷和优质的服务体验。 Copyright © 2023 布克学术 All rights reserved.
京ICP备2023020795号-1
ghs 京公网安备 11010802042870号
Book学术文献互助
Book学术文献互助群
群 号:604180095
Book学术官方微信