Dose-dependent hemato-biochemical and genotoxic responses of common carp (Cyprinus carpio) to flupyradifurone.

IF 3.2 3区 医学 Q2 PHYSIOLOGY
Frontiers in Physiology Pub Date : 2025-10-02 eCollection Date: 2025-01-01 DOI:10.3389/fphys.2025.1676992
Önder Yıldırım, Ümit Acar, Rifat Tezel, Yavuz Erden, Gökçen Bilge, Sercan Yapıcı
{"title":"Dose-dependent hemato-biochemical and genotoxic responses of common carp (<i>Cyprinus carpio</i>) to flupyradifurone.","authors":"Önder Yıldırım, Ümit Acar, Rifat Tezel, Yavuz Erden, Gökçen Bilge, Sercan Yapıcı","doi":"10.3389/fphys.2025.1676992","DOIUrl":null,"url":null,"abstract":"<p><p>Flupyradifurone (FPF), a systemic butenolide insecticide introduced in 2014, is increasingly used as an alternative to neonicotinoids, yet its safety for non-target aquatic organisms remains poorly understood. This study evaluated the acute and sub-lethal toxicity of FPF in juvenile common carp (<i>Cyprinus carpio</i>). A 96-h static bioassay determined an LC<sub>50</sub> of 140.47 mg/L. Fish were then exposed for 14 days to sub-lethal concentrations (1, 3, 5, 25, 75 and 125 mg/L) to assess hematological, biochemical, and genotoxic responses. Hematological analysis revealed significant, dose-dependent declines in red blood cells (1.71 × 10<sup>6</sup>/μL in control vs. 1.12 × 10<sup>6</sup>/μL at 125 mg/L), hemoglobin (8.34 vs. 3.34 g/dL), and hematocrit (26.08% vs. 13.73%), accompanied by reduced mean corpuscular volume, mean corpuscular hemoglobin, and mean corpuscular hemoglobin concentration at higher doses, indicating anemia and impaired oxygen transport. Biochemically, glucose increased sharply (102.21 mmol/L in control to 230.29 mmol/L at 125 mg/L), while triglycerides, cholesterol, total protein, and albumin declined significantly, suggesting metabolic disruption. Hepatic enzyme activities (alkaline phosphatase, serum glutamic oxaloacetic transaminase, serum glutamate pyruvate transaminase) increased markedly, with serum glutamic oxaloacetic transaminase rising from 36.47 U/L in controls to 144.02 U/L at 125 mg/L, indicative of hepatocellular damage. Comet assay confirmed pronounced DNA damage at ≥25 mg/L, with significant elevations in tail length, tail moment, and % DNA in tail. Collectively, these results demonstrate that FPF exposure compromises hematological health, disrupts metabolic balance, and induces genotoxicity in common carp, even at sub-lethal concentrations. Incorporating both physiological and genomic endpoints is essential for comprehensive ecological risk assessments of emerging insecticides.</p>","PeriodicalId":12477,"journal":{"name":"Frontiers in Physiology","volume":"16 ","pages":"1676992"},"PeriodicalIF":3.2000,"publicationDate":"2025-10-02","publicationTypes":"Journal Article","fieldsOfStudy":null,"isOpenAccess":false,"openAccessPdf":"https://www.ncbi.nlm.nih.gov/pmc/articles/PMC12528199/pdf/","citationCount":"0","resultStr":null,"platform":"Semanticscholar","paperid":null,"PeriodicalName":"Frontiers in Physiology","FirstCategoryId":"3","ListUrlMain":"https://doi.org/10.3389/fphys.2025.1676992","RegionNum":3,"RegionCategory":"医学","ArticlePicture":[],"TitleCN":null,"AbstractTextCN":null,"PMCID":null,"EPubDate":"2025/1/1 0:00:00","PubModel":"eCollection","JCR":"Q2","JCRName":"PHYSIOLOGY","Score":null,"Total":0}
引用次数: 0

Abstract

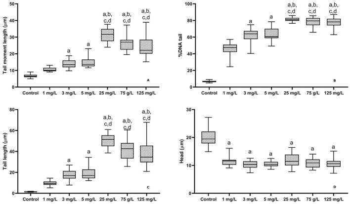
Flupyradifurone (FPF), a systemic butenolide insecticide introduced in 2014, is increasingly used as an alternative to neonicotinoids, yet its safety for non-target aquatic organisms remains poorly understood. This study evaluated the acute and sub-lethal toxicity of FPF in juvenile common carp (Cyprinus carpio). A 96-h static bioassay determined an LC50 of 140.47 mg/L. Fish were then exposed for 14 days to sub-lethal concentrations (1, 3, 5, 25, 75 and 125 mg/L) to assess hematological, biochemical, and genotoxic responses. Hematological analysis revealed significant, dose-dependent declines in red blood cells (1.71 × 106/μL in control vs. 1.12 × 106/μL at 125 mg/L), hemoglobin (8.34 vs. 3.34 g/dL), and hematocrit (26.08% vs. 13.73%), accompanied by reduced mean corpuscular volume, mean corpuscular hemoglobin, and mean corpuscular hemoglobin concentration at higher doses, indicating anemia and impaired oxygen transport. Biochemically, glucose increased sharply (102.21 mmol/L in control to 230.29 mmol/L at 125 mg/L), while triglycerides, cholesterol, total protein, and albumin declined significantly, suggesting metabolic disruption. Hepatic enzyme activities (alkaline phosphatase, serum glutamic oxaloacetic transaminase, serum glutamate pyruvate transaminase) increased markedly, with serum glutamic oxaloacetic transaminase rising from 36.47 U/L in controls to 144.02 U/L at 125 mg/L, indicative of hepatocellular damage. Comet assay confirmed pronounced DNA damage at ≥25 mg/L, with significant elevations in tail length, tail moment, and % DNA in tail. Collectively, these results demonstrate that FPF exposure compromises hematological health, disrupts metabolic balance, and induces genotoxicity in common carp, even at sub-lethal concentrations. Incorporating both physiological and genomic endpoints is essential for comprehensive ecological risk assessments of emerging insecticides.

Abstract Image

Abstract Image

Abstract Image

鲤鱼(Cyprinus carpio)对氟吡地酮的剂量依赖性血液生化和基因毒性反应。
氟吡地酮(FPF)是2014年推出的一种系统性丁烯内酯杀虫剂,越来越多地被用作新烟碱类杀虫剂的替代品,但其对非目标水生生物的安全性仍知之甚少。本研究评价了FPF对鲤鱼幼鱼的急性和亚致死毒性。96 h静态生物测定LC50为140.47 mg/L。然后将鱼暴露于亚致死浓度(1、3、5、25、75和125 mg/L)中14天,以评估血液学、生化和遗传毒性反应。血液学分析显示,红细胞(对照组为1.71 × 106/μL, 125mg /L组为1.12 × 106/μL)、血红蛋白(8.34 g/dL vs. 3.34 g/dL)和红细胞压积(26.08% vs. 13.73%)明显呈剂量依赖性下降,并伴有平均红细胞体积、平均红细胞血红蛋白和平均红细胞血红蛋白浓度的减少,表明贫血和氧运输受损。生化方面,葡萄糖急剧升高(对照组为102.21 mmol/L, 125 mg/L时为230.29 mmol/L),甘油三酯、胆固醇、总蛋白和白蛋白显著下降,提示代谢紊乱。肝酶活性(碱性磷酸酶、血清谷草酰乙酸转氨酶、血清谷氨酸丙酮酸转氨酶)显著升高,血清谷草酰乙酸转氨酶从对照组的36.47 U/L上升至125 mg/L时的144.02 U/L,提示肝细胞损伤。彗星试验证实,≥25 mg/L时明显的DNA损伤,尾长、尾力矩和尾中% DNA显著升高。总的来说,这些结果表明,即使在亚致死浓度下,FPF暴露也会损害普通鲤鱼的血液学健康,破坏代谢平衡,并诱发遗传毒性。结合生理和基因组端点对新兴杀虫剂的综合生态风险评估至关重要。
本文章由计算机程序翻译,如有差异,请以英文原文为准。
求助全文
约1分钟内获得全文 求助全文
来源期刊
CiteScore
6.50
自引率
5.00%
发文量
2608
审稿时长
14 weeks
期刊介绍: Frontiers in Physiology is a leading journal in its field, publishing rigorously peer-reviewed research on the physiology of living systems, from the subcellular and molecular domains to the intact organism, and its interaction with the environment. Field Chief Editor George E. Billman at the Ohio State University Columbus is supported by an outstanding Editorial Board of international researchers. This multidisciplinary open-access journal is at the forefront of disseminating and communicating scientific knowledge and impactful discoveries to researchers, academics, clinicians and the public worldwide.
×
引用
GB/T 7714-2015
复制
MLA
复制
APA
复制
导出至
BibTeX EndNote RefMan NoteFirst NoteExpress
×
提示
您的信息不完整,为了账户安全,请先补充。
现在去补充
×
提示
您因"违规操作"
具体请查看互助需知
我知道了
×
提示
确定
请完成安全验证×
copy
已复制链接
快去分享给好友吧!
我知道了
右上角分享
点击右上角分享
0
联系我们:info@booksci.cn Book学术提供免费学术资源搜索服务,方便国内外学者检索中英文文献。致力于提供最便捷和优质的服务体验。 Copyright © 2023 布克学术 All rights reserved.
京ICP备2023020795号-1
ghs 京公网安备 11010802042870号
Book学术文献互助
Book学术文献互助群
群 号:604180095
Book学术官方微信