Chaotic and quantum dynamics in driven-dissipative bosonic chains.

IF 5.8 1区 物理与天体物理 Q1 PHYSICS, MULTIDISCIPLINARY
Communications Physics Pub Date : 2025-01-01 Epub Date: 2025-10-16 DOI:10.1038/s42005-025-02314-8
Filippo Ferrari, Fabrizio Minganti, Camille Aron, Vincenzo Savona
{"title":"Chaotic and quantum dynamics in driven-dissipative bosonic chains.","authors":"Filippo Ferrari, Fabrizio Minganti, Camille Aron, Vincenzo Savona","doi":"10.1038/s42005-025-02314-8","DOIUrl":null,"url":null,"abstract":"<p><p>Thermalization in quantum many-body systems typically unfolds over timescales governed by intrinsic relaxation mechanisms. Yet, its spatial aspect is less understood. We investigate this phenomenon in the nonequilibrium steady state (NESS) of a Bose-Hubbard chain subject to coherent driving and dissipation at its boundaries, a setup inspired by current designs in circuit quantum electrodynamics. The dynamical fingerprints of chaos in this NESS are probed using semiclassical out-of-time-order correlators within the truncated Wigner approximation. At intermediate drive strengths, we uncover a two-stage thermalization along the spatial dimension: phase coherence is rapidly lost near the drive, while amplitude relaxation occurs over much longer distances. This separation of scales gives rise to an extended hydrodynamic regime exhibiting anomalous temperature profiles, which we designate as a \"prethermal\" domain. At stronger drives, the system enters a nonthermal, non-chaotic finite-momentum condensate characterized by sub-Poissonian photon statistics and a spatially modulated phase profile, whose stability is undermined by quantum fluctuations. We explore the conditions underlying this protracted thermalization in space and argue that similar mechanisms are likely to emerge in a broad class of extended driven-dissipative systems.</p>","PeriodicalId":10540,"journal":{"name":"Communications Physics","volume":"8 1","pages":"407"},"PeriodicalIF":5.8000,"publicationDate":"2025-01-01","publicationTypes":"Journal Article","fieldsOfStudy":null,"isOpenAccess":false,"openAccessPdf":"https://www.ncbi.nlm.nih.gov/pmc/articles/PMC12532707/pdf/","citationCount":"0","resultStr":null,"platform":"Semanticscholar","paperid":null,"PeriodicalName":"Communications Physics","FirstCategoryId":"101","ListUrlMain":"https://doi.org/10.1038/s42005-025-02314-8","RegionNum":1,"RegionCategory":"物理与天体物理","ArticlePicture":[],"TitleCN":null,"AbstractTextCN":null,"PMCID":null,"EPubDate":"2025/10/16 0:00:00","PubModel":"Epub","JCR":"Q1","JCRName":"PHYSICS, MULTIDISCIPLINARY","Score":null,"Total":0}
引用次数: 0

Abstract

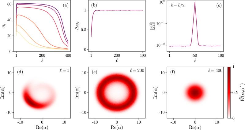
Thermalization in quantum many-body systems typically unfolds over timescales governed by intrinsic relaxation mechanisms. Yet, its spatial aspect is less understood. We investigate this phenomenon in the nonequilibrium steady state (NESS) of a Bose-Hubbard chain subject to coherent driving and dissipation at its boundaries, a setup inspired by current designs in circuit quantum electrodynamics. The dynamical fingerprints of chaos in this NESS are probed using semiclassical out-of-time-order correlators within the truncated Wigner approximation. At intermediate drive strengths, we uncover a two-stage thermalization along the spatial dimension: phase coherence is rapidly lost near the drive, while amplitude relaxation occurs over much longer distances. This separation of scales gives rise to an extended hydrodynamic regime exhibiting anomalous temperature profiles, which we designate as a "prethermal" domain. At stronger drives, the system enters a nonthermal, non-chaotic finite-momentum condensate characterized by sub-Poissonian photon statistics and a spatially modulated phase profile, whose stability is undermined by quantum fluctuations. We explore the conditions underlying this protracted thermalization in space and argue that similar mechanisms are likely to emerge in a broad class of extended driven-dissipative systems.

Abstract Image

Abstract Image

Abstract Image

驱动耗散玻色子链中的混沌和量子动力学。
量子多体系统中的热化通常在由内在松弛机制控制的时间尺度上展开。然而,人们对其空间方面的了解较少。我们研究了受当前电路量子电动力学设计启发的波色-哈伯德链的非平衡稳态(NESS)中受相干驱动和边界耗散影响的这一现象。利用截断维格纳近似内的半经典非时序相关器探测混沌的动态指纹。在中等驱动强度下,我们发现了沿空间维度的两阶段热化:相位相干性在驱动附近迅速丧失,而振幅松弛发生在更长的距离上。这种尺度的分离产生了一个扩展的流体动力区,显示出异常的温度分布,我们将其称为“预热”域。在较强的驱动下,系统进入以亚泊松光子统计和空间调制相位轮廓为特征的非热、非混沌有限动量凝聚体,其稳定性受到量子涨落的破坏。我们探索了空间中这种持久热化的条件,并认为类似的机制可能出现在广泛的一类扩展驱动耗散系统中。
本文章由计算机程序翻译,如有差异,请以英文原文为准。
求助全文
约1分钟内获得全文 求助全文
来源期刊
Communications Physics
Communications Physics Physics and Astronomy-General Physics and Astronomy
CiteScore
8.40
自引率
3.60%
发文量
276
审稿时长
13 weeks
期刊介绍: Communications Physics is an open access journal from Nature Research publishing high-quality research, reviews and commentary in all areas of the physical sciences. Research papers published by the journal represent significant advances bringing new insight to a specialized area of research in physics. We also aim to provide a community forum for issues of importance to all physicists, regardless of sub-discipline. The scope of the journal covers all areas of experimental, applied, fundamental, and interdisciplinary physical sciences. Primary research published in Communications Physics includes novel experimental results, new techniques or computational methods that may influence the work of others in the sub-discipline. We also consider submissions from adjacent research fields where the central advance of the study is of interest to physicists, for example material sciences, physical chemistry and technologies.
×
引用
GB/T 7714-2015
复制
MLA
复制
APA
复制
导出至
BibTeX EndNote RefMan NoteFirst NoteExpress
×
提示
您的信息不完整,为了账户安全,请先补充。
现在去补充
×
提示
您因"违规操作"
具体请查看互助需知
我知道了
×
提示
确定
请完成安全验证×
copy
已复制链接
快去分享给好友吧!
我知道了
右上角分享
点击右上角分享
0
联系我们:info@booksci.cn Book学术提供免费学术资源搜索服务,方便国内外学者检索中英文文献。致力于提供最便捷和优质的服务体验。 Copyright © 2023 布克学术 All rights reserved.
京ICP备2023020795号-1
ghs 京公网安备 11010802042870号
Book学术文献互助
Book学术文献互助群
群 号:604180095
Book学术官方微信