Plant-Based Scaffolds for Tissue Engineering: A Review.

IF 4.9 3区 工程技术 Q1 POLYMER SCIENCE
Polymers Pub Date : 2025-10-08 DOI:10.3390/polym17192705
Maria Isabela Vargas-Ovalle, Christian Demitri, Marta Madaghiele
{"title":"Plant-Based Scaffolds for Tissue Engineering: A Review.","authors":"Maria Isabela Vargas-Ovalle, Christian Demitri, Marta Madaghiele","doi":"10.3390/polym17192705","DOIUrl":null,"url":null,"abstract":"<p><p>The global need for tissue and organ transplantation paved the way for plant-based scaffolds as cheap, ethical, and valuable alternatives to synthetic and animal-derived matrices for tissue regeneration. Over the years, the field has outgrown its initial scope, including the development of tissue models, platforms for drug testing and delivery, biosensors, and laboratory-grown meat. In this scoping review, we aimed to shed light on the frequency of the use of different plant matrices, the main techniques for decellularization, the functionalization methods for stimulating mammalian cell attachment, and the main results. To that purpose, we searched the keywords \"decellularized\" AND \"scaffold\" AND (\"plant\" OR \"vegetable\") in online-available databases (Science Direct, Scopus, PubMed, and Sage Journals). From the selection and study of 71 articles, we observed a multitude of plant sources and tissues, along with a large and inhomogeneous body of protocols used for decellularization, functionalization and recellularization of plant matrices, which all led to variable results, with different extents of success (mostly in vitro). Since the field of plant-based scaffolds shows high potential for growth in the next few years, driven by emerging biotechnological applications, we conclude that future research should focus on plant sources with low economic and environmental impacts while also pursuing the standardization of the methods involved and a much deeper characterization of the scaffold performance in vivo.</p>","PeriodicalId":20416,"journal":{"name":"Polymers","volume":"17 19","pages":""},"PeriodicalIF":4.9000,"publicationDate":"2025-10-08","publicationTypes":"Journal Article","fieldsOfStudy":null,"isOpenAccess":false,"openAccessPdf":"https://www.ncbi.nlm.nih.gov/pmc/articles/PMC12526690/pdf/","citationCount":"0","resultStr":null,"platform":"Semanticscholar","paperid":null,"PeriodicalName":"Polymers","FirstCategoryId":"5","ListUrlMain":"https://doi.org/10.3390/polym17192705","RegionNum":3,"RegionCategory":"工程技术","ArticlePicture":[],"TitleCN":null,"AbstractTextCN":null,"PMCID":null,"EPubDate":"","PubModel":"","JCR":"Q1","JCRName":"POLYMER SCIENCE","Score":null,"Total":0}
引用次数: 0

Abstract

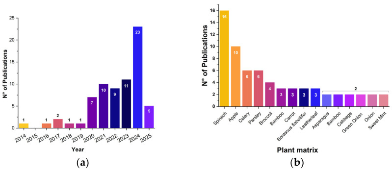
The global need for tissue and organ transplantation paved the way for plant-based scaffolds as cheap, ethical, and valuable alternatives to synthetic and animal-derived matrices for tissue regeneration. Over the years, the field has outgrown its initial scope, including the development of tissue models, platforms for drug testing and delivery, biosensors, and laboratory-grown meat. In this scoping review, we aimed to shed light on the frequency of the use of different plant matrices, the main techniques for decellularization, the functionalization methods for stimulating mammalian cell attachment, and the main results. To that purpose, we searched the keywords "decellularized" AND "scaffold" AND ("plant" OR "vegetable") in online-available databases (Science Direct, Scopus, PubMed, and Sage Journals). From the selection and study of 71 articles, we observed a multitude of plant sources and tissues, along with a large and inhomogeneous body of protocols used for decellularization, functionalization and recellularization of plant matrices, which all led to variable results, with different extents of success (mostly in vitro). Since the field of plant-based scaffolds shows high potential for growth in the next few years, driven by emerging biotechnological applications, we conclude that future research should focus on plant sources with low economic and environmental impacts while also pursuing the standardization of the methods involved and a much deeper characterization of the scaffold performance in vivo.

Abstract Image

Abstract Image

Abstract Image

组织工程植物基支架研究进展
全球对组织和器官移植的需求为以植物为基础的支架铺平了道路,使其成为廉价、道德和有价值的替代合成和动物来源的组织再生基质的方法。多年来,该领域的发展已经超出了最初的范围,包括组织模型的开发、药物测试和输送平台、生物传感器和实验室培养的肉类。在这篇综述中,我们旨在阐明不同植物基质的使用频率,脱细胞的主要技术,刺激哺乳动物细胞附着的功能化方法,以及主要结果。为此,我们在在线数据库(Science Direct, Scopus, PubMed和Sage Journals)中搜索了关键词“decellularized”和“scaffold”和(“plant”或“vegetable”)。从71篇文章的选择和研究中,我们观察到大量的植物来源和组织,以及用于植物基质脱细胞、功能化和再细胞化的大量且不均匀的协议体,这些都导致了不同的结果,不同程度的成功(主要是在体外)。由于在新兴生物技术应用的推动下,植物基支架领域在未来几年显示出巨大的增长潜力,我们得出结论,未来的研究应侧重于低经济和环境影响的植物来源,同时追求所涉及方法的标准化和对支架在体内性能的更深入表征。
本文章由计算机程序翻译,如有差异,请以英文原文为准。
求助全文
约1分钟内获得全文 求助全文
来源期刊
Polymers
Polymers POLYMER SCIENCE-
CiteScore
8.00
自引率
16.00%
发文量
4697
审稿时长
1.3 months
期刊介绍: Polymers (ISSN 2073-4360) is an international, open access journal of polymer science. It publishes research papers, short communications and review papers. Our aim is to encourage scientists to publish their experimental and theoretical results in as much detail as possible. Therefore, there is no restriction on the length of the papers. The full experimental details must be provided so that the results can be reproduced. Polymers provides an interdisciplinary forum for publishing papers which advance the fields of (i) polymerization methods, (ii) theory, simulation, and modeling, (iii) understanding of new physical phenomena, (iv) advances in characterization techniques, and (v) harnessing of self-assembly and biological strategies for producing complex multifunctional structures.
×
引用
GB/T 7714-2015
复制
MLA
复制
APA
复制
导出至
BibTeX EndNote RefMan NoteFirst NoteExpress
×
提示
您的信息不完整,为了账户安全,请先补充。
现在去补充
×
提示
您因"违规操作"
具体请查看互助需知
我知道了
×
提示
确定
请完成安全验证×
copy
已复制链接
快去分享给好友吧!
我知道了
右上角分享
点击右上角分享
0
联系我们:info@booksci.cn Book学术提供免费学术资源搜索服务,方便国内外学者检索中英文文献。致力于提供最便捷和优质的服务体验。 Copyright © 2023 布克学术 All rights reserved.
京ICP备2023020795号-1
ghs 京公网安备 11010802042870号
Book学术文献互助
Book学术文献互助群
群 号:604180095
Book学术官方微信