Right Ventricular Myocardial Metabolism and Cardiorespiratory Testing in Patients with Idiopathic Pulmonary Arterial Hypertension.

IF 3.3 3区 医学 Q1 MEDICINE, GENERAL & INTERNAL
Natalia Goncharova, Aelita Berezina, Daria Ryzhkova, Irina Zlobina, Kirill Lapshin, Anton Ryzhkov, Aryana Malanova, Elizaveta Korobchenko-Andreeva, Olga Moiseeva
{"title":"Right Ventricular Myocardial Metabolism and Cardiorespiratory Testing in Patients with Idiopathic Pulmonary Arterial Hypertension.","authors":"Natalia Goncharova, Aelita Berezina, Daria Ryzhkova, Irina Zlobina, Kirill Lapshin, Anton Ryzhkov, Aryana Malanova, Elizaveta Korobchenko-Andreeva, Olga Moiseeva","doi":"10.3390/diagnostics15192523","DOIUrl":null,"url":null,"abstract":"<p><p><b>Background:</b> Non-invasive diagnostic tools for the assessment of pulmonary arterial hypertension (PAH) are currently being intensively studied. Positron emission tomography (PET)/computed tomography (CT) with [18F]-fluorodeoxyglucose ([18F]-FDG) and [13N]-ammonia is the gold standard for assessing myocardial metabolism and perfusion. The relationship between right ventricle (RV) myocardial metabolism and perfusion and cardiopulmonary exercise testing (CPET) has not been studied. <b>Objective:</b> to evaluate correlations between the CPET parameters and RV perfusion and metabolism in IPAH patients. <b>Methods:</b> The study comprised 34 IPAH patients (34.2 ± 8.9 years, 4 males, 6 prevalent). Myocardial metabolism and perfusion were assessed using PET/CT with [18F]-FDG and [13N]-ammonia, respectively. CPET, cardiac MRI and invasive hemodynamics were also evaluated. <b>Results:</b> Significant negative correlations were registered between [18F]-FDG and [13N]-ammonia uptake by the RV (SUVmax <sub>RV/LV</sub>) and the oxygen consumption, oxygen pulse and positive correlation with the ratio of minute ventilation to carbon dioxide production. The low-risk IPAH patients significantly differed from the intermediate-to-high-risk group in CPET indices and in SUVmax <sub>RV/LV</sub> metabolism and SUVmax <sub>RV/LV</sub> perfusion parameters. No reliable differences in CPET indices and [18F]-FDG and [13N]-ammonia uptake by the RV were registered between intermediate- and high-risk patients. <b>Conclusions:</b> CPET is a reliable non-invasive diagnostic tool that could distinguish low-risk young IPAH patients without comorbidities from those at intermediate-to-high risk. Significant correlations between CPET parameters and RV myocardial metabolism and perfusion indices, MRI, and invasive hemodynamics confirm the high diagnostic value for CPET.</p>","PeriodicalId":11225,"journal":{"name":"Diagnostics","volume":"15 19","pages":""},"PeriodicalIF":3.3000,"publicationDate":"2025-10-06","publicationTypes":"Journal Article","fieldsOfStudy":null,"isOpenAccess":false,"openAccessPdf":"https://www.ncbi.nlm.nih.gov/pmc/articles/PMC12524233/pdf/","citationCount":"0","resultStr":null,"platform":"Semanticscholar","paperid":null,"PeriodicalName":"Diagnostics","FirstCategoryId":"3","ListUrlMain":"https://doi.org/10.3390/diagnostics15192523","RegionNum":3,"RegionCategory":"医学","ArticlePicture":[],"TitleCN":null,"AbstractTextCN":null,"PMCID":null,"EPubDate":"","PubModel":"","JCR":"Q1","JCRName":"MEDICINE, GENERAL & INTERNAL","Score":null,"Total":0}
引用次数: 0

Abstract

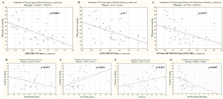
Background: Non-invasive diagnostic tools for the assessment of pulmonary arterial hypertension (PAH) are currently being intensively studied. Positron emission tomography (PET)/computed tomography (CT) with [18F]-fluorodeoxyglucose ([18F]-FDG) and [13N]-ammonia is the gold standard for assessing myocardial metabolism and perfusion. The relationship between right ventricle (RV) myocardial metabolism and perfusion and cardiopulmonary exercise testing (CPET) has not been studied. Objective: to evaluate correlations between the CPET parameters and RV perfusion and metabolism in IPAH patients. Methods: The study comprised 34 IPAH patients (34.2 ± 8.9 years, 4 males, 6 prevalent). Myocardial metabolism and perfusion were assessed using PET/CT with [18F]-FDG and [13N]-ammonia, respectively. CPET, cardiac MRI and invasive hemodynamics were also evaluated. Results: Significant negative correlations were registered between [18F]-FDG and [13N]-ammonia uptake by the RV (SUVmax RV/LV) and the oxygen consumption, oxygen pulse and positive correlation with the ratio of minute ventilation to carbon dioxide production. The low-risk IPAH patients significantly differed from the intermediate-to-high-risk group in CPET indices and in SUVmax RV/LV metabolism and SUVmax RV/LV perfusion parameters. No reliable differences in CPET indices and [18F]-FDG and [13N]-ammonia uptake by the RV were registered between intermediate- and high-risk patients. Conclusions: CPET is a reliable non-invasive diagnostic tool that could distinguish low-risk young IPAH patients without comorbidities from those at intermediate-to-high risk. Significant correlations between CPET parameters and RV myocardial metabolism and perfusion indices, MRI, and invasive hemodynamics confirm the high diagnostic value for CPET.

Abstract Image

Abstract Image

Abstract Image

特发性肺动脉高压患者的右心室心肌代谢和心肺功能检测。
背景:评估肺动脉高压(PAH)的无创诊断工具目前正在深入研究。[18F]-氟脱氧葡萄糖([18F]-FDG)和[13N]-氨的正电子发射断层扫描(PET)/计算机断层扫描(CT)是评估心肌代谢和灌注的金标准。右心室(RV)心肌代谢和灌注与心肺运动试验(CPET)之间的关系尚未研究。目的:探讨IPAH患者CPET参数与右心室灌注及代谢的相关性。方法:选取IPAH患者34例(34.2±8.9岁,男性4例,发病率6例)。采用PET/CT分别用[18F]-FDG和[13N]-氨评价心肌代谢和灌注。CPET、心脏MRI和有创血流动力学也进行了评估。结果:RV (SUVmax RV/LV)的[18F]-FDG和[13N]-氨吸收率与耗氧量、氧脉冲呈显著负相关,与分钟通气量与二氧化碳产生量之比呈正相关。低危IPAH患者CPET指标、SUVmax RV/LV代谢及SUVmax RV/LV灌注参数与中危组差异有统计学意义。中高危患者的CPET指数和RV的[18F]- fdg和[13N]-氨摄取无可靠差异。结论:CPET是一种可靠的无创诊断工具,可以区分无合共病的低危年轻IPAH患者和中高风险IPAH患者。CPET参数与RV心肌代谢、灌注指标、MRI、有创血流动力学的相关性显著,证实CPET具有较高的诊断价值。
本文章由计算机程序翻译,如有差异,请以英文原文为准。
求助全文
约1分钟内获得全文 求助全文
来源期刊
Diagnostics
Diagnostics Biochemistry, Genetics and Molecular Biology-Clinical Biochemistry
CiteScore
4.70
自引率
8.30%
发文量
2699
审稿时长
19.64 days
期刊介绍: Diagnostics (ISSN 2075-4418) is an international scholarly open access journal on medical diagnostics. It publishes original research articles, reviews, communications and short notes on the research and development of medical diagnostics. There is no restriction on the length of the papers. Our aim is to encourage scientists to publish their experimental and theoretical research in as much detail as possible. Full experimental and/or methodological details must be provided for research articles.
×
引用
GB/T 7714-2015
复制
MLA
复制
APA
复制
导出至
BibTeX EndNote RefMan NoteFirst NoteExpress
×
提示
您的信息不完整,为了账户安全,请先补充。
现在去补充
×
提示
您因"违规操作"
具体请查看互助需知
我知道了
×
提示
确定
请完成安全验证×
copy
已复制链接
快去分享给好友吧!
我知道了
右上角分享
点击右上角分享
0
联系我们:info@booksci.cn Book学术提供免费学术资源搜索服务,方便国内外学者检索中英文文献。致力于提供最便捷和优质的服务体验。 Copyright © 2023 布克学术 All rights reserved.
京ICP备2023020795号-1
ghs 京公网安备 11010802042870号
Book学术文献互助
Book学术文献互助群
群 号:604180095
Book学术官方微信