Epicardial adipose tissue volume and arterial stiffness in people living with diabetes: the METAB-CV-PWV study.

IF 10.6 1区 医学 Q1 CARDIAC & CARDIOVASCULAR SYSTEMS
Omar Nouhou Koutcha, Sopio Tatulashvili, Nanthara Sritharan, Pierre Boutouyrie, Imen Rezgani, Marouane Boubaya, Mohamed Lamine Mariko, Lucie Allard, Meriem Sal, Coralie Bloch-Queyrat, Mohamed Zerguine, Pierre-Yves Brillet, Zouhour El Fekih, Rosa-Maria Bruno, Hélène Bihan, Emmanuel Cosson
{"title":"Epicardial adipose tissue volume and arterial stiffness in people living with diabetes: the METAB-CV-PWV study.","authors":"Omar Nouhou Koutcha, Sopio Tatulashvili, Nanthara Sritharan, Pierre Boutouyrie, Imen Rezgani, Marouane Boubaya, Mohamed Lamine Mariko, Lucie Allard, Meriem Sal, Coralie Bloch-Queyrat, Mohamed Zerguine, Pierre-Yves Brillet, Zouhour El Fekih, Rosa-Maria Bruno, Hélène Bihan, Emmanuel Cosson","doi":"10.1186/s12933-025-02933-z","DOIUrl":null,"url":null,"abstract":"<p><strong>Introduction: </strong>Epicardial adipose tissue (EAT) and arterial stiffness are determinants of excess risk of cardiovascular disease in persons with diabetes. This study aimed to evaluate the relationship between both of these conditions in a cohort of patients with diabetes.</p><p><strong>Materials and methods: </strong>A part retrospective, part prospective non-interventional cohort study of people living with diabetes who had (i) a computed tomography scan to measure both their coronary artery calcium score and EAT volume (proprietary prototype, GE HealthCare), and (ii) a finger-to-toe pulse wave velocity (PWV) measurement to assess arterial stiffness. The study's ClinicalTrials.gov identifier is NCT05681533.</p><p><strong>Results: </strong>A total of 345 participants (198 men, mean age (± standard deviation (SD)) 55.6 ± 12.6 years) were included; 73.6% had type 2 diabetes and 41.6% had obesity. Median duration of diabetes was 12 [interquartile range (IQR) 6-20] years. The median PWV was 8.0 [IQR 7.0-10.0] m/sec and median EAT volume was 84.9 [IQR 61.8-114.3] cm<sup>3</sup>. A positive correlation was observed between EAT volume and PWV (r = 0.37 [95% confidence interval (95%CI) 0.27-0.45], p < 0.001). EAT volume was associated with PWV tertile: specifically, participants in the first (≤ 7.0 m/sec), second, and third (> 9.0 m/sec) tertiles had, respectively, EAT volumes of 76.3 [IQR 50.3-100.6] cm<sup>3</sup>, 82.5 [IQR 64.4-107.3] cm<sup>3</sup>, and 100.2 [IQR 77.3-134.6] cm<sup>3</sup> (p < 0.001 for all three). After adjustment for age, mean blood pressure, body mass index and diabetes type, each 10 cm<sup>3</sup> increase in EAT volume was associated with a 14% increase in the probability of belonging to the third PWV tertile (odds ratio 1.14 [95%CI 1.06 - 1.21]; p < 0.001).</p><p><strong>Conclusion: </strong>EAT volume was associated with arterial stiffness in people living with diabetes. This association suggests that systemic inflammatory and metabolic mechanisms, through EAT and/or other associated ectopic adipose tissues, may contribute to an increased risk of cardiovascular disease.</p>","PeriodicalId":9374,"journal":{"name":"Cardiovascular Diabetology","volume":"24 1","pages":"400"},"PeriodicalIF":10.6000,"publicationDate":"2025-10-15","publicationTypes":"Journal Article","fieldsOfStudy":null,"isOpenAccess":false,"openAccessPdf":"https://www.ncbi.nlm.nih.gov/pmc/articles/PMC12522805/pdf/","citationCount":"0","resultStr":null,"platform":"Semanticscholar","paperid":null,"PeriodicalName":"Cardiovascular Diabetology","FirstCategoryId":"3","ListUrlMain":"https://doi.org/10.1186/s12933-025-02933-z","RegionNum":1,"RegionCategory":"医学","ArticlePicture":[],"TitleCN":null,"AbstractTextCN":null,"PMCID":null,"EPubDate":"","PubModel":"","JCR":"Q1","JCRName":"CARDIAC & CARDIOVASCULAR SYSTEMS","Score":null,"Total":0}
引用次数: 0

Abstract

Introduction: Epicardial adipose tissue (EAT) and arterial stiffness are determinants of excess risk of cardiovascular disease in persons with diabetes. This study aimed to evaluate the relationship between both of these conditions in a cohort of patients with diabetes.

Materials and methods: A part retrospective, part prospective non-interventional cohort study of people living with diabetes who had (i) a computed tomography scan to measure both their coronary artery calcium score and EAT volume (proprietary prototype, GE HealthCare), and (ii) a finger-to-toe pulse wave velocity (PWV) measurement to assess arterial stiffness. The study's ClinicalTrials.gov identifier is NCT05681533.

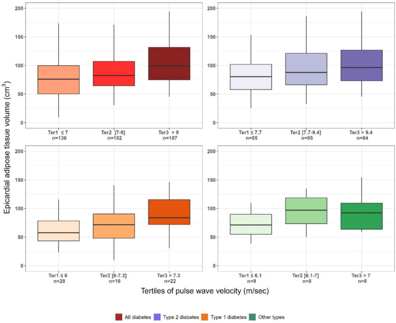
Results: A total of 345 participants (198 men, mean age (± standard deviation (SD)) 55.6 ± 12.6 years) were included; 73.6% had type 2 diabetes and 41.6% had obesity. Median duration of diabetes was 12 [interquartile range (IQR) 6-20] years. The median PWV was 8.0 [IQR 7.0-10.0] m/sec and median EAT volume was 84.9 [IQR 61.8-114.3] cm3. A positive correlation was observed between EAT volume and PWV (r = 0.37 [95% confidence interval (95%CI) 0.27-0.45], p < 0.001). EAT volume was associated with PWV tertile: specifically, participants in the first (≤ 7.0 m/sec), second, and third (> 9.0 m/sec) tertiles had, respectively, EAT volumes of 76.3 [IQR 50.3-100.6] cm3, 82.5 [IQR 64.4-107.3] cm3, and 100.2 [IQR 77.3-134.6] cm3 (p < 0.001 for all three). After adjustment for age, mean blood pressure, body mass index and diabetes type, each 10 cm3 increase in EAT volume was associated with a 14% increase in the probability of belonging to the third PWV tertile (odds ratio 1.14 [95%CI 1.06 - 1.21]; p < 0.001).

Conclusion: EAT volume was associated with arterial stiffness in people living with diabetes. This association suggests that systemic inflammatory and metabolic mechanisms, through EAT and/or other associated ectopic adipose tissues, may contribute to an increased risk of cardiovascular disease.

Abstract Image

Abstract Image

糖尿病患者心外膜脂肪组织体积和动脉僵硬度:METAB-CV-PWV研究
心外膜脂肪组织(EAT)和动脉僵硬度是糖尿病患者心血管疾病风险增加的决定因素。本研究旨在评估糖尿病患者队列中这两种情况之间的关系。材料和方法:一项部分回顾性、部分前瞻性的非介入队列研究,对糖尿病患者进行(i)计算机断层扫描以测量冠状动脉钙评分和EAT体积(专利原型,GE HealthCare),以及(ii)手指到脚趾的脉搏波速度(PWV)测量以评估动脉硬度。该研究的ClinicalTrials.gov标识符为NCT05681533。结果:共纳入345例受试者(男性198例,平均年龄(±标准差(SD)) 55.6±12.6岁);73.6%患有2型糖尿病,41.6%患有肥胖症。糖尿病的中位病程为12[四分位间距(IQR) 6-20]年。中位PWV为8.0 [IQR 7.0-10.0] m/sec,中位EAT为84.9 [IQR 61.8-114.3] cm3。EAT体积与PWV呈显著正相关(r = 0.37[95%可信区间(95% ci) 0.27-0.45], p = 9.0 m/sec),三分位的EAT体积分别为76.3 [IQR 50.3-100.6] cm3、82.5 [IQR 64.4-107.3] cm3和100.2 [IQR 77.3-134.6] cm3 (EAT体积增加与属于第三PWV分位的概率增加14%相关(比值比1.14 [95% ci 1.06 - 1.21];p结论:糖尿病患者的EAT体积与动脉僵硬度相关。这一关联表明,通过进食和/或其他相关异位脂肪组织的全身性炎症和代谢机制可能导致心血管疾病风险增加。
本文章由计算机程序翻译,如有差异,请以英文原文为准。
求助全文
约1分钟内获得全文 求助全文
来源期刊
Cardiovascular Diabetology
Cardiovascular Diabetology 医学-内分泌学与代谢
CiteScore
12.30
自引率
15.10%
发文量
240
审稿时长
1 months
期刊介绍: Cardiovascular Diabetology is a journal that welcomes manuscripts exploring various aspects of the relationship between diabetes, cardiovascular health, and the metabolic syndrome. We invite submissions related to clinical studies, genetic investigations, experimental research, pharmacological studies, epidemiological analyses, and molecular biology research in this field.
×
引用
GB/T 7714-2015
复制
MLA
复制
APA
复制
导出至
BibTeX EndNote RefMan NoteFirst NoteExpress
×
提示
您的信息不完整,为了账户安全,请先补充。
现在去补充
×
提示
您因"违规操作"
具体请查看互助需知
我知道了
×
提示
确定
请完成安全验证×
copy
已复制链接
快去分享给好友吧!
我知道了
右上角分享
点击右上角分享
0
联系我们:info@booksci.cn Book学术提供免费学术资源搜索服务,方便国内外学者检索中英文文献。致力于提供最便捷和优质的服务体验。 Copyright © 2023 布克学术 All rights reserved.
京ICP备2023020795号-1
ghs 京公网安备 11010802042870号
Book学术文献互助
Book学术文献互助群
群 号:604180095
Book学术官方微信