Histological and Proteomic Approaches to Assessing the Adrenal Stress Response in Common Dolphins (Delphinus delphis).

IF 2.7 2区 农林科学 Q1 AGRICULTURE, DAIRY & ANIMAL SCIENCE
Animals Pub Date : 2025-10-09 DOI:10.3390/ani15192924
Claudia Medina Santana, Orla Slattery, Jim O'Donovan, Sinéad Murphy
{"title":"Histological and Proteomic Approaches to Assessing the Adrenal Stress Response in Common Dolphins (<i>Delphinus delphis</i>).","authors":"Claudia Medina Santana, Orla Slattery, Jim O'Donovan, Sinéad Murphy","doi":"10.3390/ani15192924","DOIUrl":null,"url":null,"abstract":"<p><p>The adrenal glands are central to the stress response in cetaceans, yet their morphological and molecular changes under chronic stress remain poorly described. We investigated adrenal histology and protein composition in stranded common dolphins (<i>Delphinus delphis</i>) to assess whether post-mortem material can provide insights into stress physiology. Adrenal glands from 58 dolphins recovered along the Irish coast during a period of reported nutritional stress in the species were analyzed for adrenal mass, cortex-to-medulla (C:M) ratios, and cortical cell density. Additionally, two archival formalin-fixed, paraffin-embedded (FFPE) tissues were included in a pilot trial to assess the feasibility of protein extraction and mass spectrometry analysis. While adrenal mass did not differ significantly between stress types, chronically stressed dolphins exhibited significantly higher C:M ratios and cortical mass, consistent with cortical hypertrophy. Protein extraction from FFPE tissues was feasible, with the in-gel digestion method yielding more proteins (136) than the filter-aided sample preparation method (22). These findings demonstrate that histological and proteomic approaches can detect stress-related signatures in dolphins and highlight the potential of archival tissues for retrospective biomarker discovery.</p>","PeriodicalId":7955,"journal":{"name":"Animals","volume":"15 19","pages":""},"PeriodicalIF":2.7000,"publicationDate":"2025-10-09","publicationTypes":"Journal Article","fieldsOfStudy":null,"isOpenAccess":false,"openAccessPdf":"https://www.ncbi.nlm.nih.gov/pmc/articles/PMC12523369/pdf/","citationCount":"0","resultStr":null,"platform":"Semanticscholar","paperid":null,"PeriodicalName":"Animals","FirstCategoryId":"97","ListUrlMain":"https://doi.org/10.3390/ani15192924","RegionNum":2,"RegionCategory":"农林科学","ArticlePicture":[],"TitleCN":null,"AbstractTextCN":null,"PMCID":null,"EPubDate":"","PubModel":"","JCR":"Q1","JCRName":"AGRICULTURE, DAIRY & ANIMAL SCIENCE","Score":null,"Total":0}
引用次数: 0

Abstract

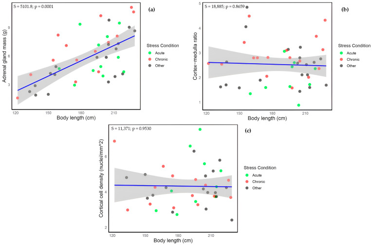
The adrenal glands are central to the stress response in cetaceans, yet their morphological and molecular changes under chronic stress remain poorly described. We investigated adrenal histology and protein composition in stranded common dolphins (Delphinus delphis) to assess whether post-mortem material can provide insights into stress physiology. Adrenal glands from 58 dolphins recovered along the Irish coast during a period of reported nutritional stress in the species were analyzed for adrenal mass, cortex-to-medulla (C:M) ratios, and cortical cell density. Additionally, two archival formalin-fixed, paraffin-embedded (FFPE) tissues were included in a pilot trial to assess the feasibility of protein extraction and mass spectrometry analysis. While adrenal mass did not differ significantly between stress types, chronically stressed dolphins exhibited significantly higher C:M ratios and cortical mass, consistent with cortical hypertrophy. Protein extraction from FFPE tissues was feasible, with the in-gel digestion method yielding more proteins (136) than the filter-aided sample preparation method (22). These findings demonstrate that histological and proteomic approaches can detect stress-related signatures in dolphins and highlight the potential of archival tissues for retrospective biomarker discovery.

Abstract Image

Abstract Image

Abstract Image

评估普通海豚肾上腺应激反应的组织学和蛋白质组学方法。
在鲸类动物中,肾上腺是应激反应的核心,但在慢性应激下,其形态学和分子变化的描述仍然很少。我们研究了搁浅的普通海豚(Delphinus delphis)的肾上腺组织学和蛋白质组成,以评估死后的材料是否可以为应激生理学提供见解。研究人员对爱尔兰海岸58只海豚的肾上腺进行了分析,分析了它们的肾上腺质量、皮质与髓质(C:M)比和皮质细胞密度。此外,两种存档的福尔马林固定石蜡包埋(FFPE)组织被纳入试点试验,以评估蛋白质提取和质谱分析的可行性。虽然不同应激类型的海豚肾上腺质量没有显著差异,但慢性应激海豚的C:M比和皮质质量明显更高,与皮质肥大一致。从FFPE组织中提取蛋白质是可行的,凝胶内消化法比过滤辅助样品制备法产生更多的蛋白质(136)(22)。这些发现表明,组织学和蛋白质组学方法可以检测海豚的压力相关特征,并突出了档案组织在回顾性生物标志物发现方面的潜力。
本文章由计算机程序翻译,如有差异,请以英文原文为准。
求助全文
约1分钟内获得全文 求助全文
来源期刊
Animals
Animals Agricultural and Biological Sciences-Animal Science and Zoology
CiteScore
4.90
自引率
16.70%
发文量
3015
审稿时长
20.52 days
期刊介绍: Animals (ISSN 2076-2615) is an international and interdisciplinary scholarly open access journal. It publishes original research articles, reviews, communications, and short notes that are relevant to any field of study that involves animals, including zoology, ethnozoology, animal science, animal ethics and animal welfare. However, preference will be given to those articles that provide an understanding of animals within a larger context (i.e., the animals'' interactions with the outside world, including humans). There is no restriction on the length of the papers. Our aim is to encourage scientists to publish their experimental and theoretical research in as much detail as possible. Full experimental details and/or method of study, must be provided for research articles. Articles submitted that involve subjecting animals to unnecessary pain or suffering will not be accepted, and all articles must be submitted with the necessary ethical approval (please refer to the Ethical Guidelines for more information).
×
引用
GB/T 7714-2015
复制
MLA
复制
APA
复制
导出至
BibTeX EndNote RefMan NoteFirst NoteExpress
×
提示
您的信息不完整,为了账户安全,请先补充。
现在去补充
×
提示
您因"违规操作"
具体请查看互助需知
我知道了
×
提示
确定
请完成安全验证×
copy
已复制链接
快去分享给好友吧!
我知道了
右上角分享
点击右上角分享
0
联系我们:info@booksci.cn Book学术提供免费学术资源搜索服务,方便国内外学者检索中英文文献。致力于提供最便捷和优质的服务体验。 Copyright © 2023 布克学术 All rights reserved.
京ICP备2023020795号-1
ghs 京公网安备 11010802042870号
Book学术文献互助
Book学术文献互助群
群 号:604180095
Book学术官方微信