Models of Collisionless Quasineutral Solar Wind Current Sheets

IF 2.4 3区 物理与天体物理 Q2 ASTRONOMY & ASTROPHYSICS
Sophie Boswell, Thomas Neukirch, Anton Artemyev, Ivan Vasko, Oliver Allanson
{"title":"Models of Collisionless Quasineutral Solar Wind Current Sheets","authors":"Sophie Boswell,&nbsp;Thomas Neukirch,&nbsp;Anton Artemyev,&nbsp;Ivan Vasko,&nbsp;Oliver Allanson","doi":"10.1007/s11207-025-02551-8","DOIUrl":null,"url":null,"abstract":"<div><p>In situ measurements of kinetic scale current sheets in the solar wind show that they are often approximately force-free although the plasma <span>\\(\\beta\\)</span> is of order one. They frequently display systematic asymmetric and anti-correlated spatial variations of their particle density and temperature across the current sheet, leaving the plasma pressure essentially uniform. These observations of asymmetries have previously been modelled theoretically by adding additional terms to both the ion and electron distribution functions of self-consistent force-free collisionless current sheet models with constant density and temperature profiles. In this article we present the results of a modification of these models in which only the electron distribution function has an additional term, whereas the ion distribution function is kept as a thermal (Maxwellian) distribution function. In this case the nonlinear quasineutrality condition no longer has a simple analytical solution and therefore has to be solved alongside Ampère’s law. We find that while the magnetic field remains approximately force-free, the non-zero quasineutral electric field gives rise to an additional spatial substructure of the plasma density inside the current sheet. We briefly discuss the potential relation between our theoretical findings and current sheet observations.</p></div>","PeriodicalId":777,"journal":{"name":"Solar Physics","volume":"300 10","pages":""},"PeriodicalIF":2.4000,"publicationDate":"2025-10-13","publicationTypes":"Journal Article","fieldsOfStudy":null,"isOpenAccess":false,"openAccessPdf":"https://www.ncbi.nlm.nih.gov/pmc/articles/PMC12518478/pdf/","citationCount":"0","resultStr":null,"platform":"Semanticscholar","paperid":null,"PeriodicalName":"Solar Physics","FirstCategoryId":"101","ListUrlMain":"https://link.springer.com/article/10.1007/s11207-025-02551-8","RegionNum":3,"RegionCategory":"物理与天体物理","ArticlePicture":[],"TitleCN":null,"AbstractTextCN":null,"PMCID":null,"EPubDate":"","PubModel":"","JCR":"Q2","JCRName":"ASTRONOMY & ASTROPHYSICS","Score":null,"Total":0}
引用次数: 0

Abstract

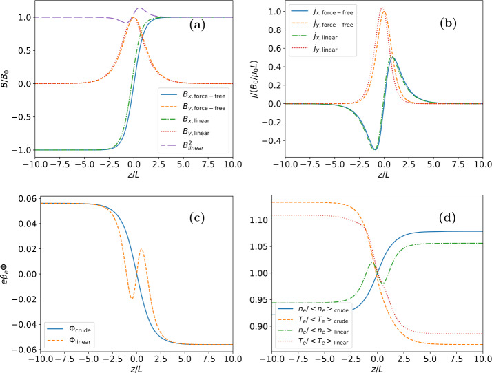
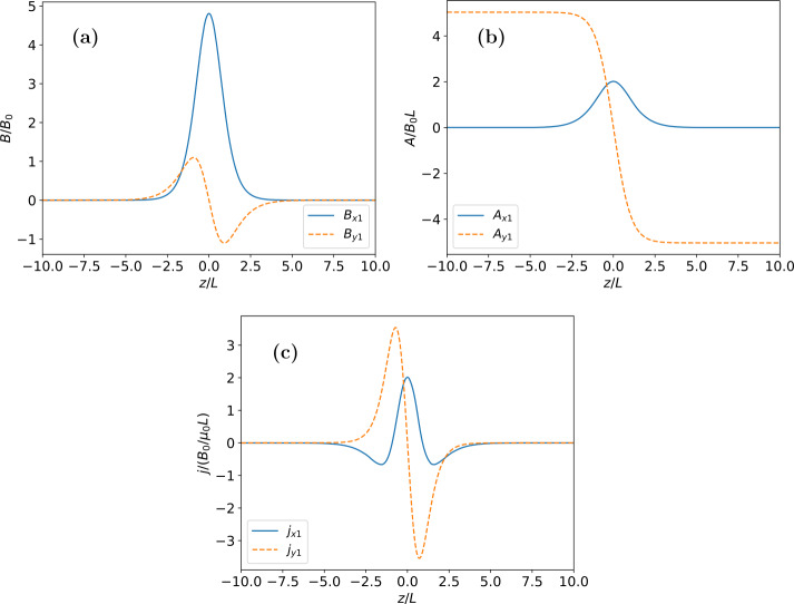
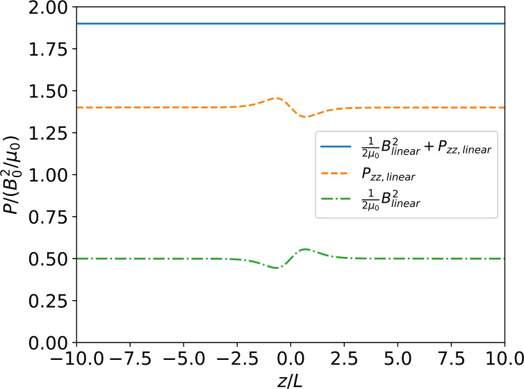
In situ measurements of kinetic scale current sheets in the solar wind show that they are often approximately force-free although the plasma \(\beta\) is of order one. They frequently display systematic asymmetric and anti-correlated spatial variations of their particle density and temperature across the current sheet, leaving the plasma pressure essentially uniform. These observations of asymmetries have previously been modelled theoretically by adding additional terms to both the ion and electron distribution functions of self-consistent force-free collisionless current sheet models with constant density and temperature profiles. In this article we present the results of a modification of these models in which only the electron distribution function has an additional term, whereas the ion distribution function is kept as a thermal (Maxwellian) distribution function. In this case the nonlinear quasineutrality condition no longer has a simple analytical solution and therefore has to be solved alongside Ampère’s law. We find that while the magnetic field remains approximately force-free, the non-zero quasineutral electric field gives rise to an additional spatial substructure of the plasma density inside the current sheet. We briefly discuss the potential relation between our theoretical findings and current sheet observations.

Abstract Image

Abstract Image

Abstract Image

无碰撞的准中性太阳风电流片模型。
对太阳风中动态尺度电流片的原位测量表明,尽管等离子体β为1阶,但它们通常近似无力。它们经常在电流片上显示出系统的不对称和反相关的粒子密度和温度的空间变化,使等离子体压力基本均匀。这些不对称的观察结果已经通过在具有恒定密度和温度分布的自洽无力无碰撞电流片模型的离子和电子分布函数中添加附加项进行了理论建模。在本文中,我们提出了对这些模型进行修改的结果,其中只有电子分布函数有一个附加项,而离子分布函数保留为热(麦克斯韦)分布函数。在这种情况下,非线性拟中性条件不再具有简单的解析解,因此必须与安培特雷定律一起求解。我们发现,当磁场保持近似无力时,非零的准中性电场在电流片内产生了等离子体密度的额外空间子结构。我们简要地讨论了我们的理论发现和当前薄片观测之间的潜在关系。
本文章由计算机程序翻译,如有差异,请以英文原文为准。
求助全文
约1分钟内获得全文 求助全文
来源期刊
Solar Physics
Solar Physics 地学天文-天文与天体物理
CiteScore
5.10
自引率
17.90%
发文量
146
审稿时长
1 months
期刊介绍: Solar Physics was founded in 1967 and is the principal journal for the publication of the results of fundamental research on the Sun. The journal treats all aspects of solar physics, ranging from the internal structure of the Sun and its evolution to the outer corona and solar wind in interplanetary space. Papers on solar-terrestrial physics and on stellar research are also published when their results have a direct bearing on our understanding of the Sun.
×
引用
GB/T 7714-2015
复制
MLA
复制
APA
复制
导出至
BibTeX EndNote RefMan NoteFirst NoteExpress
×
提示
您的信息不完整,为了账户安全,请先补充。
现在去补充
×
提示
您因"违规操作"
具体请查看互助需知
我知道了
×
提示
确定
请完成安全验证×
copy
已复制链接
快去分享给好友吧!
我知道了
右上角分享
点击右上角分享
0
联系我们:info@booksci.cn Book学术提供免费学术资源搜索服务,方便国内外学者检索中英文文献。致力于提供最便捷和优质的服务体验。 Copyright © 2023 布克学术 All rights reserved.
京ICP备2023020795号-1
ghs 京公网安备 11010802042870号
Book学术文献互助
Book学术文献互助群
群 号:604180095
Book学术官方微信