Diagnostic accuracy of a commercial AI digital stethoscope for diagnosis of TB.

IJTLD open Pub Date : 2025-10-10 eCollection Date: 2025-10-01 DOI:10.5588/ijtldopen.25.0360
H Cox, Y Rani, L Nakiyingi, K A Francia, Y Xie, C Hoang, N Hapeela, G P Romero, E Nasinghe, N Van Hung, S Kim, A Penn-Nicholson, S E Dorman
{"title":"Diagnostic accuracy of a commercial AI digital stethoscope for diagnosis of TB.","authors":"H Cox, Y Rani, L Nakiyingi, K A Francia, Y Xie, C Hoang, N Hapeela, G P Romero, E Nasinghe, N Van Hung, S Kim, A Penn-Nicholson, S E Dorman","doi":"10.5588/ijtldopen.25.0360","DOIUrl":null,"url":null,"abstract":"<p><strong>Background: </strong>Improved TB screening requires non-invasive, low-cost, and rapid diagnostics. Digital stethoscopes utilising machine-learning approaches to analyse respiratory sounds have potential.</p><p><strong>Methods: </strong>We assessed accuracy of a commercial digital stethoscope for TB diagnosis among TB symptomatic participants. The microbiological reference standard (MRS) was sputum TB-positive on either liquid culture, solid culture, or Xpert MTB/RIF Ultra. Adults were enrolled from South Africa, Uganda, Vietnam, and Peru, with pre-defined sampling of 60 MRS-positive and 180 MRS-negative participants over two stages. Respiratory sounds from six auscultation positions on the participant's torso were analysed. The manufacturer (blinded to MRS status) provided participant scores and a test-positivity cut-off.</p><p><strong>Results: </strong>Among 240 participants, 135 (56%) were female, 62 (26%) living with HIV, 35 (15%) current smokers, and 31 (13%) previously treated for TB. Estimates of sensitivity and specificity, adjusted for country-stratified sampling, were 77% (95% confidence interval [CI]: 65-85) and 50% (95% CI: 43-57), respectively. Sensitivity was lower among people living with HIV and those with sputum smear-negative TB and varied by country. Testing took 5 min per participant (median, interquartile range 4-6).</p><p><strong>Conclusion: </strong>These early data suggest that further refinement of this test is warranted. The device is simple to use, is inexpensive, and can be used offline.</p>","PeriodicalId":519984,"journal":{"name":"IJTLD open","volume":"2 10","pages":"610-615"},"PeriodicalIF":0.0000,"publicationDate":"2025-10-10","publicationTypes":"Journal Article","fieldsOfStudy":null,"isOpenAccess":false,"openAccessPdf":"https://www.ncbi.nlm.nih.gov/pmc/articles/PMC12517259/pdf/","citationCount":"0","resultStr":null,"platform":"Semanticscholar","paperid":null,"PeriodicalName":"IJTLD open","FirstCategoryId":"1085","ListUrlMain":"https://doi.org/10.5588/ijtldopen.25.0360","RegionNum":0,"RegionCategory":null,"ArticlePicture":[],"TitleCN":null,"AbstractTextCN":null,"PMCID":null,"EPubDate":"2025/10/1 0:00:00","PubModel":"eCollection","JCR":"","JCRName":"","Score":null,"Total":0}
引用次数: 0

Abstract

Background: Improved TB screening requires non-invasive, low-cost, and rapid diagnostics. Digital stethoscopes utilising machine-learning approaches to analyse respiratory sounds have potential.

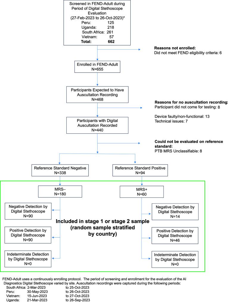
Methods: We assessed accuracy of a commercial digital stethoscope for TB diagnosis among TB symptomatic participants. The microbiological reference standard (MRS) was sputum TB-positive on either liquid culture, solid culture, or Xpert MTB/RIF Ultra. Adults were enrolled from South Africa, Uganda, Vietnam, and Peru, with pre-defined sampling of 60 MRS-positive and 180 MRS-negative participants over two stages. Respiratory sounds from six auscultation positions on the participant's torso were analysed. The manufacturer (blinded to MRS status) provided participant scores and a test-positivity cut-off.

Results: Among 240 participants, 135 (56%) were female, 62 (26%) living with HIV, 35 (15%) current smokers, and 31 (13%) previously treated for TB. Estimates of sensitivity and specificity, adjusted for country-stratified sampling, were 77% (95% confidence interval [CI]: 65-85) and 50% (95% CI: 43-57), respectively. Sensitivity was lower among people living with HIV and those with sputum smear-negative TB and varied by country. Testing took 5 min per participant (median, interquartile range 4-6).

Conclusion: These early data suggest that further refinement of this test is warranted. The device is simple to use, is inexpensive, and can be used offline.

Abstract Image

Abstract Image

商用人工智能数字听诊器诊断结核病的准确性。
背景:改进结核病筛查需要非侵入性、低成本和快速诊断。利用机器学习方法分析呼吸声音的数字听诊器具有潜力。方法:我们评估了商用数字听诊器在结核病症状参与者中诊断结核病的准确性。在液体培养、固体培养或Xpert MTB/RIF Ultra中,痰液微生物参考标准(MRS)均呈结核阳性。来自南非、乌干达、越南和秘鲁的成年人被纳入研究,在两个阶段中预先定义了60名mrs阳性和180名mrs阴性参与者的抽样。分析了参与者躯干上六个听诊位置的呼吸音。制造商(对MRS状态不知情)提供了参与者评分和检测阳性截止值。结果:在240名参与者中,135名(56%)为女性,62名(26%)为艾滋病毒携带者,35名(15%)为当前吸烟者,31名(13%)曾接受过结核病治疗。根据国家分层抽样调整后的敏感性和特异性估计分别为77%(95%置信区间[CI]: 65-85)和50% (95% CI: 43-57)。艾滋病毒感染者和痰涂片阴性结核病患者的敏感性较低,并且因国家而异。每个参与者的测试时间为5分钟(中位数,四分位数范围为4-6)。结论:这些早期数据表明,进一步完善该测试是有必要的。该设备使用简单,价格低廉,可以离线使用。
本文章由计算机程序翻译,如有差异,请以英文原文为准。
求助全文
约1分钟内获得全文 求助全文
来源期刊
自引率
0.00%
发文量
0
×
引用
GB/T 7714-2015
复制
MLA
复制
APA
复制
导出至
BibTeX EndNote RefMan NoteFirst NoteExpress
×
提示
您的信息不完整,为了账户安全,请先补充。
现在去补充
×
提示
您因"违规操作"
具体请查看互助需知
我知道了
×
提示
确定
请完成安全验证×
copy
已复制链接
快去分享给好友吧!
我知道了
右上角分享
点击右上角分享
0
联系我们:info@booksci.cn Book学术提供免费学术资源搜索服务,方便国内外学者检索中英文文献。致力于提供最便捷和优质的服务体验。 Copyright © 2023 布克学术 All rights reserved.
京ICP备2023020795号-1
ghs 京公网安备 11010802042870号
Book学术文献互助
Book学术文献互助群
群 号:604180095
Book学术官方微信