The Italian Version of the Difficulties in Emotion Regulation Scale-8 (DERS-8): A Two-Step Assessment of Structural Validity, Psychometric Properties, and Clinical Cut-Off.

IF 3 3区 心理学 Q1 PSYCHOLOGY, MULTIDISCIPLINARY
Alessandro Alberto Rossi, Anna Panzeri, Stefania Mannarini
{"title":"The Italian Version of the Difficulties in Emotion Regulation Scale-8 (DERS-8): A Two-Step Assessment of Structural Validity, Psychometric Properties, and Clinical Cut-Off.","authors":"Alessandro Alberto Rossi, Anna Panzeri, Stefania Mannarini","doi":"10.1186/s40359-025-03482-6","DOIUrl":null,"url":null,"abstract":"<p><strong>Background: </strong>Emotion regulation difficulties (ERD) serve as a transdiagnostic risk factor for psychopathology, and the Difficulties in Emotion Regulation Scale (DERS) is a widely-used self-report measure. Brief versions of such tools are essential for integration into longer assessment batteries and for longitudinal monitoring. However, DERS-8 has not yet been validated in the Italian context.</p><p><strong>Objective: </strong>This study aimed to provide the Italian validation of DERS-8 by examining its psychometric properties, factorial structure, and cut-off scores to distinguish between acceptable and at-risk levels of ERD, along with normative data.</p><p><strong>Methods: </strong>In Study 1 (N = 2016), confirmatory factor analysis (CFA) was used to test the DERS-8 structural validity. Also, its psychometric properties were tested. In Study 2 (N = 4221), measurement invariance across age and gender was conducted in an independent sample, together with a deep investigation of psychometric properties and clinical cut-off.</p><p><strong>Results: </strong>Study 1 revealed that, initial model fit was poor but improved to good fit indexes after correlating specific residual pairs. Indeed, after correlating residuals between items #2-#4, #1-#7, and #3-#6, IT-DERS-8 provided good fit indexes (RMSEA = 0.042; 90%CI[0.033, 0.052], CFI = 0.997; SRMR = 0.029) as well as good psychometric properties. Study 2 successfully replicated these results and showed that it is invariant between groups male and females and between ≤ 49 and ≥ 50 years old. Lastly, a cut-off of 25 showed adequate accuracy in classifying individuals with 'non-problematic' and 'at risk' ERD (AUC = 0.864).</p><p><strong>Discussion: </strong>The IT-DERS-8 has solid psychometric properties and, given its normative data and cut-off, represents a valid measure for assessing and identifying individuals with non-problematic (vs. at risk) in Italian adult samples.</p>","PeriodicalId":37867,"journal":{"name":"BMC Psychology","volume":"13 1","pages":"1137"},"PeriodicalIF":3.0000,"publicationDate":"2025-10-14","publicationTypes":"Journal Article","fieldsOfStudy":null,"isOpenAccess":false,"openAccessPdf":"https://www.ncbi.nlm.nih.gov/pmc/articles/PMC12522448/pdf/","citationCount":"0","resultStr":null,"platform":"Semanticscholar","paperid":null,"PeriodicalName":"BMC Psychology","FirstCategoryId":"102","ListUrlMain":"https://doi.org/10.1186/s40359-025-03482-6","RegionNum":3,"RegionCategory":"心理学","ArticlePicture":[],"TitleCN":null,"AbstractTextCN":null,"PMCID":null,"EPubDate":"","PubModel":"","JCR":"Q1","JCRName":"PSYCHOLOGY, MULTIDISCIPLINARY","Score":null,"Total":0}
引用次数: 0

Abstract

Background: Emotion regulation difficulties (ERD) serve as a transdiagnostic risk factor for psychopathology, and the Difficulties in Emotion Regulation Scale (DERS) is a widely-used self-report measure. Brief versions of such tools are essential for integration into longer assessment batteries and for longitudinal monitoring. However, DERS-8 has not yet been validated in the Italian context.

Objective: This study aimed to provide the Italian validation of DERS-8 by examining its psychometric properties, factorial structure, and cut-off scores to distinguish between acceptable and at-risk levels of ERD, along with normative data.

Methods: In Study 1 (N = 2016), confirmatory factor analysis (CFA) was used to test the DERS-8 structural validity. Also, its psychometric properties were tested. In Study 2 (N = 4221), measurement invariance across age and gender was conducted in an independent sample, together with a deep investigation of psychometric properties and clinical cut-off.

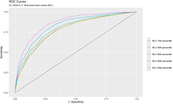
Results: Study 1 revealed that, initial model fit was poor but improved to good fit indexes after correlating specific residual pairs. Indeed, after correlating residuals between items #2-#4, #1-#7, and #3-#6, IT-DERS-8 provided good fit indexes (RMSEA = 0.042; 90%CI[0.033, 0.052], CFI = 0.997; SRMR = 0.029) as well as good psychometric properties. Study 2 successfully replicated these results and showed that it is invariant between groups male and females and between ≤ 49 and ≥ 50 years old. Lastly, a cut-off of 25 showed adequate accuracy in classifying individuals with 'non-problematic' and 'at risk' ERD (AUC = 0.864).

Discussion: The IT-DERS-8 has solid psychometric properties and, given its normative data and cut-off, represents a valid measure for assessing and identifying individuals with non-problematic (vs. at risk) in Italian adult samples.

Abstract Image

意大利版情绪调节困难量表-8 (DERS-8):结构效度、心理测量特性和临床截止的两步评估。
背景:情绪调节困难(ERD)是精神病理的跨诊断危险因素,情绪调节困难量表(DERS)是一种广泛使用的自我报告量表。这些工具的简短版本对于集成到更长的评估单元和纵向监测中是必不可少的。但是,des -8尚未在意大利的情况下得到验证。目的:本研究旨在通过检查其心理测量特性、析因结构和区分ERD可接受和危险水平的截止分数,以及规范数据,为DERS-8提供意大利验证。方法:在研究1 (N = 2016)中,采用验证性因子分析(CFA)对DERS-8的结构效度进行检验。并对其心理测量特性进行了测试。在研究2 (N = 4221)中,在一个独立的样本中进行了跨年龄和性别的测量不变性,并对心理测量特性和临床截止进行了深入调查。结果:研究1表明,初始模型拟合较差,但将特定残差对进行相关后,拟合指标改善为良好。事实上,在对项目#2-#4、#1-#7和#3-#6进行残差相关后,it - drs -8提供了良好的拟合指数(RMSEA = 0.042; 90%CI[0.033, 0.052], CFI = 0.997; SRMR = 0.029)以及良好的心理测量特性。研究2成功地重复了这些结果,并表明在男性和女性以及≤49岁和≥50岁之间是不变的。最后,截断值为25表明对“无问题”和“有风险”ERD个体进行分类的准确性足够(AUC = 0.864)。讨论:IT-DERS-8具有坚实的心理测量特性,并且考虑到其规范数据和截止值,代表了评估和识别意大利成人样本中无问题(与有风险)个体的有效措施。
本文章由计算机程序翻译,如有差异,请以英文原文为准。
求助全文
约1分钟内获得全文 求助全文
来源期刊
BMC Psychology
BMC Psychology Psychology-Psychology (all)
CiteScore
3.90
自引率
2.80%
发文量
265
审稿时长
24 weeks
期刊介绍: BMC Psychology is an open access, peer-reviewed journal that considers manuscripts on all aspects of psychology, human behavior and the mind, including developmental, clinical, cognitive, experimental, health and social psychology, as well as personality and individual differences. The journal welcomes quantitative and qualitative research methods, including animal studies.
×
引用
GB/T 7714-2015
复制
MLA
复制
APA
复制
导出至
BibTeX EndNote RefMan NoteFirst NoteExpress
×
提示
您的信息不完整,为了账户安全,请先补充。
现在去补充
×
提示
您因"违规操作"
具体请查看互助需知
我知道了
×
提示
确定
请完成安全验证×
copy
已复制链接
快去分享给好友吧!
我知道了
右上角分享
点击右上角分享
0
联系我们:info@booksci.cn Book学术提供免费学术资源搜索服务,方便国内外学者检索中英文文献。致力于提供最便捷和优质的服务体验。 Copyright © 2023 布克学术 All rights reserved.
京ICP备2023020795号-1
ghs 京公网安备 11010802042870号
Book学术文献互助
Book学术文献互助群
群 号:604180095
Book学术官方微信