Thyroid pathology image classification via multi-scale feature fusion and multi-instance learning.

IF 2.3 3区 医学 Q2 PATHOLOGY
Xiangzhi Li, Guanxin Liu, Mengmeng Sun, Lu Wang, Bingdou He, Kefen Zhang, Shimei Zhao, Kaisheng Xie, Yuwei Jiang, Yajun Ying, Ning Liao, Xiaobo Yang
{"title":"Thyroid pathology image classification via multi-scale feature fusion and multi-instance learning.","authors":"Xiangzhi Li, Guanxin Liu, Mengmeng Sun, Lu Wang, Bingdou He, Kefen Zhang, Shimei Zhao, Kaisheng Xie, Yuwei Jiang, Yajun Ying, Ning Liao, Xiaobo Yang","doi":"10.1186/s13000-025-01703-5","DOIUrl":null,"url":null,"abstract":"<p><strong>Background: </strong>The global incidence of thyroid cancer has significantly increased, while traditional pathological diagnosis remains time-consuming and expert-dependent. This study develops an auxiliary diagnostic tool designed to reduce the workload of pathologists and improve diagnostic accuracy.</p><p><strong>Methods: </strong>Our study utilized 543 WSIs from Liuzhou Cancer Hospital for model development, employing a novel multi-feature fusion architecture that combines RetCCL, iBOT, and DINO embeddings. We systematically evaluated stain normalization and multi-scale analysis across four multiple-instance learning (MIL) frameworks: CLAM-SB (single-branch), CLAM-MB (multi-branch), DTFD (double-tier), and LA-MIL (location-aware). The method was rigorously validated on an independent set of 128 WSIs from Taizhou Cancer Hospital.</p><p><strong>Results: </strong>The results show that stain normalization, multi-scale fusion, and multi-feature fusion significantly improve classification performance. In 10-fold cross-validation on the internal dataset, the system demonstrated significant improvements over the baseline RetCCL model: AUC (0.9900 vs. 0.9629), accuracy (0.9594 vs. 0.8951), with relative improvements of 2.8% in AUC and 7.2% in accuracy. Precision increased by 11.5% (0.9434 vs. 0.8461) and F1-score by 9.8% (0.9511 vs. 0.8665). On the external validation dataset, the model maintained robust performance with an AUC of 0.9584, accuracy of 0.9070, precision of 0.9247, and F1-score of 0.9348, confirming its reliability and applicability.</p><p><strong>Conclusions: </strong>We propose a weakly supervised MIL framework integrating multi-scale analysis and cross-model feature fusion for thyroid cancer diagnosis. Our method showed promising and consistent results across internal and external datasets. While further clinical validation and workflow integration are needed, the results suggest the potential of this approach to assist pathologists in diagnostic workflows, particularly in resource-constrained settings.</p>","PeriodicalId":11237,"journal":{"name":"Diagnostic Pathology","volume":"20 1","pages":"112"},"PeriodicalIF":2.3000,"publicationDate":"2025-10-14","publicationTypes":"Journal Article","fieldsOfStudy":null,"isOpenAccess":false,"openAccessPdf":"https://www.ncbi.nlm.nih.gov/pmc/articles/PMC12522360/pdf/","citationCount":"0","resultStr":null,"platform":"Semanticscholar","paperid":null,"PeriodicalName":"Diagnostic Pathology","FirstCategoryId":"3","ListUrlMain":"https://doi.org/10.1186/s13000-025-01703-5","RegionNum":3,"RegionCategory":"医学","ArticlePicture":[],"TitleCN":null,"AbstractTextCN":null,"PMCID":null,"EPubDate":"","PubModel":"","JCR":"Q2","JCRName":"PATHOLOGY","Score":null,"Total":0}
引用次数: 0

Abstract

Background: The global incidence of thyroid cancer has significantly increased, while traditional pathological diagnosis remains time-consuming and expert-dependent. This study develops an auxiliary diagnostic tool designed to reduce the workload of pathologists and improve diagnostic accuracy.

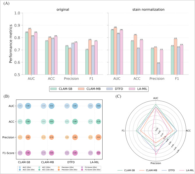
Methods: Our study utilized 543 WSIs from Liuzhou Cancer Hospital for model development, employing a novel multi-feature fusion architecture that combines RetCCL, iBOT, and DINO embeddings. We systematically evaluated stain normalization and multi-scale analysis across four multiple-instance learning (MIL) frameworks: CLAM-SB (single-branch), CLAM-MB (multi-branch), DTFD (double-tier), and LA-MIL (location-aware). The method was rigorously validated on an independent set of 128 WSIs from Taizhou Cancer Hospital.

Results: The results show that stain normalization, multi-scale fusion, and multi-feature fusion significantly improve classification performance. In 10-fold cross-validation on the internal dataset, the system demonstrated significant improvements over the baseline RetCCL model: AUC (0.9900 vs. 0.9629), accuracy (0.9594 vs. 0.8951), with relative improvements of 2.8% in AUC and 7.2% in accuracy. Precision increased by 11.5% (0.9434 vs. 0.8461) and F1-score by 9.8% (0.9511 vs. 0.8665). On the external validation dataset, the model maintained robust performance with an AUC of 0.9584, accuracy of 0.9070, precision of 0.9247, and F1-score of 0.9348, confirming its reliability and applicability.

Conclusions: We propose a weakly supervised MIL framework integrating multi-scale analysis and cross-model feature fusion for thyroid cancer diagnosis. Our method showed promising and consistent results across internal and external datasets. While further clinical validation and workflow integration are needed, the results suggest the potential of this approach to assist pathologists in diagnostic workflows, particularly in resource-constrained settings.

Abstract Image

Abstract Image

Abstract Image

基于多尺度特征融合和多实例学习的甲状腺病理图像分类。
背景:甲状腺癌的全球发病率显著增加,而传统的病理诊断仍然耗时和依赖专家。本研究开发了一种辅助诊断工具,旨在减少病理学家的工作量,提高诊断的准确性。方法:利用柳州肿瘤医院的543个wsi进行模型开发,采用一种结合RetCCL、iBOT和DINO嵌入的新型多特征融合架构。我们系统地评估了四个多实例学习(MIL)框架的染色归一化和多尺度分析:CLAM-SB(单分支),CLAM-MB(多分支),DTFD(双层)和LA-MIL(位置感知)。该方法在台州市肿瘤医院128例独立wsi组中进行了严格验证。结果:结果表明,染色归一化、多尺度融合和多特征融合显著提高了分类性能。在内部数据集的10倍交叉验证中,该系统比基线RetCCL模型显示出显著的改进:AUC (0.9900 vs. 0.9629),准确度(0.9594 vs. 0.8951), AUC和准确度分别相对提高2.8%和7.2%。精密度提高11.5%(0.9434比0.8461),f1评分提高9.8%(0.9511比0.8665)。在外部验证数据集上,模型的AUC为0.9584,准确度为0.9070,精密度为0.9247,f1得分为0.9348,保持了稳健性,验证了模型的可靠性和适用性。结论:我们提出了一个弱监督MIL框架,结合多尺度分析和跨模型特征融合用于甲状腺癌诊断。我们的方法在内部和外部数据集上显示出有希望和一致的结果。虽然需要进一步的临床验证和工作流程整合,但结果表明,这种方法在帮助病理学家诊断工作流程方面具有潜力,特别是在资源受限的情况下。
本文章由计算机程序翻译,如有差异,请以英文原文为准。
求助全文
约1分钟内获得全文 求助全文
来源期刊
Diagnostic Pathology
Diagnostic Pathology 医学-病理学
CiteScore
4.60
自引率
0.00%
发文量
93
审稿时长
1 months
期刊介绍: Diagnostic Pathology is an open access, peer-reviewed, online journal that considers research in surgical and clinical pathology, immunology, and biology, with a special focus on cutting-edge approaches in diagnostic pathology and tissue-based therapy. The journal covers all aspects of surgical pathology, including classic diagnostic pathology, prognosis-related diagnosis (tumor stages, prognosis markers, such as MIB-percentage, hormone receptors, etc.), and therapy-related findings. The journal also focuses on the technological aspects of pathology, including molecular biology techniques, morphometry aspects (stereology, DNA analysis, syntactic structure analysis), communication aspects (telecommunication, virtual microscopy, virtual pathology institutions, etc.), and electronic education and quality assurance (for example interactive publication, on-line references with automated updating, etc.).
×
引用
GB/T 7714-2015
复制
MLA
复制
APA
复制
导出至
BibTeX EndNote RefMan NoteFirst NoteExpress
×
提示
您的信息不完整,为了账户安全,请先补充。
现在去补充
×
提示
您因"违规操作"
具体请查看互助需知
我知道了
×
提示
确定
请完成安全验证×
copy
已复制链接
快去分享给好友吧!
我知道了
右上角分享
点击右上角分享
0
联系我们:info@booksci.cn Book学术提供免费学术资源搜索服务,方便国内外学者检索中英文文献。致力于提供最便捷和优质的服务体验。 Copyright © 2023 布克学术 All rights reserved.
京ICP备2023020795号-1
ghs 京公网安备 11010802042870号
Book学术文献互助
Book学术文献互助群
群 号:604180095
Book学术官方微信