Early-life prediction of school-age asthma among recurrent Wheezers in preschoolers: The WHEEP study.

IF 4.5
Tarik Karramass, Erica Mancino, Walter Balemans, Marianne Brouwer, Eric De Groot, Anna Maria Landstra, Peter J F M Merkus, Laetitia E M Niers, Anja Vaessen-Verberne, David van Klaveren, Hanne Vermeulen, Mariël Verwaal, Mariëlle Pijnenburg, Liesbeth Duijts
{"title":"Early-life prediction of school-age asthma among recurrent Wheezers in preschoolers: The WHEEP study.","authors":"Tarik Karramass, Erica Mancino, Walter Balemans, Marianne Brouwer, Eric De Groot, Anna Maria Landstra, Peter J F M Merkus, Laetitia E M Niers, Anja Vaessen-Verberne, David van Klaveren, Hanne Vermeulen, Mariël Verwaal, Mariëlle Pijnenburg, Liesbeth Duijts","doi":"10.1111/pai.70219","DOIUrl":null,"url":null,"abstract":"<p><strong>Background: </strong>Early identification of childhood asthma is critical to prevent over- and undertreatment. Previous asthma prediction models often rely on subjective outcomes, limiting generalizability. This study aimed to develop an asthma prediction model using objective measures.</p><p><strong>Methods: </strong>This study was embedded in a multicenter prospective cohort of children aged 1-4 years with recurrent wheezing presenting at pediatric secondary care clinics who were followed up for 12 months and re-assessed between ages 6 and 12 years. Candidate predictors included demographic, environmental, and asthma-related factors. Asthma at school age was defined as at least two of the three criteria: asthma medication use, spirometry with bronchodilator reversibility, and elevated fractional exhaled nitric oxide levels. LASSO regression was applied to identify the most predictive variables in an optimal and parsimonious model, and model performance was evaluated.</p><p><strong>Results: </strong>Of 144 children with recurrent wheezing at age 1-4 years, 25% were classified as having asthma at school age. The optimal model for predicting asthma at school age demonstrated good predictive performance (area under the curve (AUC) (95% CI): 0.83 (0.73-0.93), sensitivity: 0.69, specificity: 0.86, positive predictive value (PPV): 0.66, and negative predictive value (NPV): 0.88). The parsimonious model showed slightly lower performance (AUC (95% CI): 0.82 (0.71-0.94), sensitivity: 0.67, specificity: 0.86, PPV: 0.65, NPV: 0.87).</p><p><strong>Conclusion: </strong>Our models highlight the importance of using objectively defined asthma in early prediction of asthma at school age, as demonstrated by their high discriminative performance. Future studies should validate these models and incorporate clearly defined objective outcome measures when developing new models for pediatric secondary care clinics.</p>","PeriodicalId":520742,"journal":{"name":"Pediatric allergy and immunology : official publication of the European Society of Pediatric Allergy and Immunology","volume":"36 10","pages":"e70219"},"PeriodicalIF":4.5000,"publicationDate":"2025-10-01","publicationTypes":"Journal Article","fieldsOfStudy":null,"isOpenAccess":false,"openAccessPdf":"https://www.ncbi.nlm.nih.gov/pmc/articles/PMC12516465/pdf/","citationCount":"0","resultStr":null,"platform":"Semanticscholar","paperid":null,"PeriodicalName":"Pediatric allergy and immunology : official publication of the European Society of Pediatric Allergy and Immunology","FirstCategoryId":"1085","ListUrlMain":"https://doi.org/10.1111/pai.70219","RegionNum":0,"RegionCategory":null,"ArticlePicture":[],"TitleCN":null,"AbstractTextCN":null,"PMCID":null,"EPubDate":"","PubModel":"","JCR":"","JCRName":"","Score":null,"Total":0}
引用次数: 0

Abstract

Background: Early identification of childhood asthma is critical to prevent over- and undertreatment. Previous asthma prediction models often rely on subjective outcomes, limiting generalizability. This study aimed to develop an asthma prediction model using objective measures.

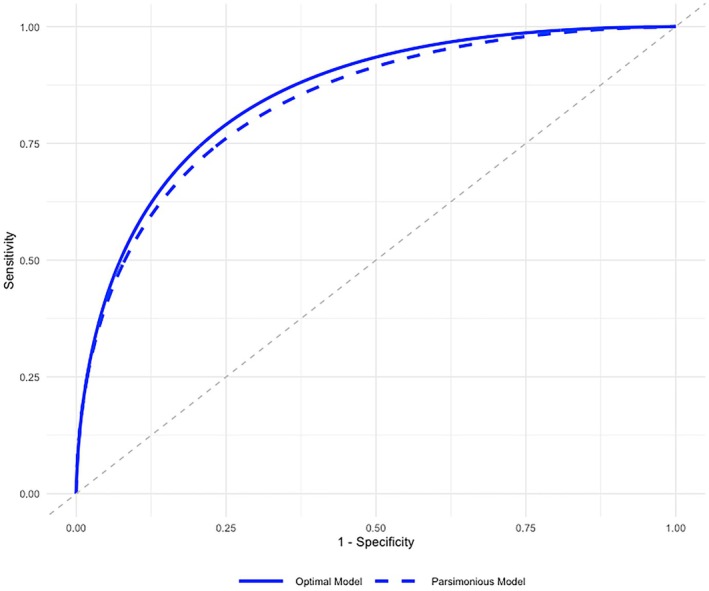
Methods: This study was embedded in a multicenter prospective cohort of children aged 1-4 years with recurrent wheezing presenting at pediatric secondary care clinics who were followed up for 12 months and re-assessed between ages 6 and 12 years. Candidate predictors included demographic, environmental, and asthma-related factors. Asthma at school age was defined as at least two of the three criteria: asthma medication use, spirometry with bronchodilator reversibility, and elevated fractional exhaled nitric oxide levels. LASSO regression was applied to identify the most predictive variables in an optimal and parsimonious model, and model performance was evaluated.

Results: Of 144 children with recurrent wheezing at age 1-4 years, 25% were classified as having asthma at school age. The optimal model for predicting asthma at school age demonstrated good predictive performance (area under the curve (AUC) (95% CI): 0.83 (0.73-0.93), sensitivity: 0.69, specificity: 0.86, positive predictive value (PPV): 0.66, and negative predictive value (NPV): 0.88). The parsimonious model showed slightly lower performance (AUC (95% CI): 0.82 (0.71-0.94), sensitivity: 0.67, specificity: 0.86, PPV: 0.65, NPV: 0.87).

Conclusion: Our models highlight the importance of using objectively defined asthma in early prediction of asthma at school age, as demonstrated by their high discriminative performance. Future studies should validate these models and incorporate clearly defined objective outcome measures when developing new models for pediatric secondary care clinics.

Abstract Image

学龄前复发性喘息儿童学龄期哮喘的早期生活预测:WHEEP研究。
背景:儿童哮喘的早期识别是防止治疗过度和治疗不足的关键。以前的哮喘预测模型通常依赖于主观结果,限制了通用性。本研究旨在建立一个使用客观测量的哮喘预测模型。方法:本研究纳入了一项多中心前瞻性队列研究,该研究纳入了在儿科二级保健诊所就诊的1-4岁复发性喘息儿童,随访12个月,并在6 - 12岁之间重新评估。候选预测因子包括人口统计学、环境和哮喘相关因素。学龄期哮喘被定义为三个标准中的至少两个:哮喘药物使用,支气管扩张剂可逆性肺活量测定,呼气一氧化氮分数升高。应用LASSO回归识别最优简约模型中最具预测性的变量,并对模型性能进行评估。结果:144例1 ~ 4岁复发性喘息患儿中,25%为学龄期哮喘。最优模型预测学龄期哮喘表现出良好的预测效果(曲线下面积(AUC) (95% CI): 0.83(0.73-0.93),敏感性:0.69,特异性:0.86,阳性预测值(PPV): 0.66,阴性预测值(NPV): 0.88)。简约模型表现稍差(AUC (95% CI): 0.82(0.71 ~ 0.94),敏感性:0.67,特异性:0.86,PPV: 0.65, NPV: 0.87)。结论:我们的模型强调了使用客观定义的哮喘在学龄期哮喘早期预测中的重要性,正如它们的高判别性能所证明的那样。未来的研究应该验证这些模型,并在为儿科二级保健诊所开发新模型时纳入明确定义的客观结果测量。
本文章由计算机程序翻译,如有差异,请以英文原文为准。
求助全文
约1分钟内获得全文 求助全文
来源期刊
自引率
0.00%
发文量
0
×
引用
GB/T 7714-2015
复制
MLA
复制
APA
复制
导出至
BibTeX EndNote RefMan NoteFirst NoteExpress
×
提示
您的信息不完整,为了账户安全,请先补充。
现在去补充
×
提示
您因"违规操作"
具体请查看互助需知
我知道了
×
提示
确定
请完成安全验证×
copy
已复制链接
快去分享给好友吧!
我知道了
右上角分享
点击右上角分享
0
联系我们:info@booksci.cn Book学术提供免费学术资源搜索服务,方便国内外学者检索中英文文献。致力于提供最便捷和优质的服务体验。 Copyright © 2023 布克学术 All rights reserved.
京ICP备2023020795号-1
ghs 京公网安备 11010802042870号
Book学术文献互助
Book学术文献互助群
群 号:604180095
Book学术官方微信