Correlation between SLC39A8 gene and body constitution-related phenotypes and hearing loss: a Mendelian randomization-based study.

IF 3.3 4区 医学 Q1 MEDICINE, GENERAL & INTERNAL
Archives of Medical Science Pub Date : 2024-10-26 eCollection Date: 2025-01-01 DOI:10.5114/aoms/189907
Dan Li, Hui Xu, Heng Li, Ying Cheng, Ying Gao, Xiaotong Zhang, Min Xu, Weijun Ma
{"title":"Correlation between <i>SLC39A8</i> gene and body constitution-related phenotypes and hearing loss: a Mendelian randomization-based study.","authors":"Dan Li, Hui Xu, Heng Li, Ying Cheng, Ying Gao, Xiaotong Zhang, Min Xu, Weijun Ma","doi":"10.5114/aoms/189907","DOIUrl":null,"url":null,"abstract":"<p><strong>Introduction: </strong>We examined the role of hearing functions as potential mediators in relationships between noise exposures and abnormal body constitution-related results. Additionally, we employed Mendelian randomization (MR) to explore the causative connections between hearing problems and bodily composition.</p><p><strong>Material and methods: </strong>Gene connections pertaining to phenotypes of hearing loss and body constitution were obtained from publicly available summary data collected from adult population genome-wide association studies. Colocalization analysis was utilized to scrutinize the genetic associations pertaining to age-related hearing impairment (ARHI) liability and body mass index (BMI) within the SLC39A8 locus. For a comprehensive examination, we employed bi-directional MR encompassing both the 'forward' direction (from the composition of the body to hearing) and the 'reverse' direction.</p><p><strong>Results: </strong>A common causative variable (rs13107325) for BMI and ARHI at the SLC39A8 locus was supported by colocalization analysis, which revealed that the two diseases shared the variant at the SLC39A8 gene. The forward analyses showed that body fat percentage (BFP) was significantly linked with the risk of ARHI (OR = 0.95 (95% CI: 0.93 to 0.98)) and that waist circumference (WC) was favorably associated with sensorineural hearing loss (SNHL) (OR = 0.83 (95% CI: 0.72 to 0.97)).</p><p><strong>Conclusions: </strong>We did not find evidence to support a causal relationship between constitution and HL in the reverse MR analysis. Colocalization analysis indicated that the SLC39A8 variant was often the source of high ARHI and BMI risk. In prospective MR, we discovered causal associations between WC and BFP with SNHL and ARHI, respectively. Therefore, our results suggest that lipid metabolic abnormalities leading to adverse health outcome may lead to HL.</p>","PeriodicalId":8278,"journal":{"name":"Archives of Medical Science","volume":"21 4","pages":"1-10"},"PeriodicalIF":3.3000,"publicationDate":"2024-10-26","publicationTypes":"Journal Article","fieldsOfStudy":null,"isOpenAccess":false,"openAccessPdf":"https://www.ncbi.nlm.nih.gov/pmc/articles/PMC12509813/pdf/","citationCount":"0","resultStr":null,"platform":"Semanticscholar","paperid":null,"PeriodicalName":"Archives of Medical Science","FirstCategoryId":"3","ListUrlMain":"https://doi.org/10.5114/aoms/189907","RegionNum":4,"RegionCategory":"医学","ArticlePicture":[],"TitleCN":null,"AbstractTextCN":null,"PMCID":null,"EPubDate":"2025/1/1 0:00:00","PubModel":"eCollection","JCR":"Q1","JCRName":"MEDICINE, GENERAL & INTERNAL","Score":null,"Total":0}
引用次数: 0

Abstract

Introduction: We examined the role of hearing functions as potential mediators in relationships between noise exposures and abnormal body constitution-related results. Additionally, we employed Mendelian randomization (MR) to explore the causative connections between hearing problems and bodily composition.

Material and methods: Gene connections pertaining to phenotypes of hearing loss and body constitution were obtained from publicly available summary data collected from adult population genome-wide association studies. Colocalization analysis was utilized to scrutinize the genetic associations pertaining to age-related hearing impairment (ARHI) liability and body mass index (BMI) within the SLC39A8 locus. For a comprehensive examination, we employed bi-directional MR encompassing both the 'forward' direction (from the composition of the body to hearing) and the 'reverse' direction.

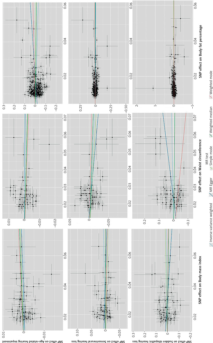
Results: A common causative variable (rs13107325) for BMI and ARHI at the SLC39A8 locus was supported by colocalization analysis, which revealed that the two diseases shared the variant at the SLC39A8 gene. The forward analyses showed that body fat percentage (BFP) was significantly linked with the risk of ARHI (OR = 0.95 (95% CI: 0.93 to 0.98)) and that waist circumference (WC) was favorably associated with sensorineural hearing loss (SNHL) (OR = 0.83 (95% CI: 0.72 to 0.97)).

Conclusions: We did not find evidence to support a causal relationship between constitution and HL in the reverse MR analysis. Colocalization analysis indicated that the SLC39A8 variant was often the source of high ARHI and BMI risk. In prospective MR, we discovered causal associations between WC and BFP with SNHL and ARHI, respectively. Therefore, our results suggest that lipid metabolic abnormalities leading to adverse health outcome may lead to HL.

Abstract Image

Abstract Image

Abstract Image

SLC39A8基因与体质相关表型和听力损失的相关性:一项孟德尔随机研究
引言:我们研究了听力功能在噪声暴露和异常体质相关结果之间的潜在中介作用。此外,我们采用孟德尔随机化(MR)来探索听力问题与身体成分之间的因果关系。材料和方法:从成人群体全基因组关联研究中收集的公开可用的汇总数据中获得与听力损失表型和体质相关的基因联系。使用共定位分析来仔细检查SLC39A8位点内与年龄相关性听力障碍(ARHI)责任和体重指数(BMI)有关的遗传关联。为了进行全面的检查,我们采用了双向MR,包括“正向”方向(从身体组成到听力)和“反向”方向。结果:共定位分析支持SLC39A8位点上BMI和ARHI的共同致病变量(rs13107325),表明这两种疾病在SLC39A8基因上有共同的变异。前瞻性分析显示,体脂率(BFP)与ARHI风险显著相关(OR = 0.95 (95% CI: 0.93 ~ 0.98)),腰围(WC)与感音神经性听力损失(SNHL)呈正相关(OR = 0.83 (95% CI: 0.72 ~ 0.97))。结论:在反向MR分析中,我们没有发现证据支持体质与HL之间的因果关系。共定位分析表明,SLC39A8变异通常是ARHI和BMI高风险的来源。在前瞻性MR中,我们发现WC和BFP分别与SNHL和ARHI之间存在因果关系。因此,我们的研究结果表明脂质代谢异常导致的不良健康结果可能导致HL。
本文章由计算机程序翻译,如有差异,请以英文原文为准。
求助全文
约1分钟内获得全文 求助全文
来源期刊
Archives of Medical Science
Archives of Medical Science 医学-医学:内科
CiteScore
4.90
自引率
7.90%
发文量
139
审稿时长
1.7 months
期刊介绍: Archives of Medical Science (AMS) publishes high quality original articles and reviews of recognized scientists that deal with all scientific medicine. AMS opens the possibilities for young, capable scientists. The journal would like to give them a chance to have a publication following matter-of-fact, professional review by outstanding, famous medical scientists. Thanks to that they will have an opportunity to present their study results and/or receive useful advice about the mistakes they have made so far. The second equally important aim is a presentation of review manuscripts of recognized scientists about the educational capacity, in order that young scientists, often at the beginning of their scientific carrier, could constantly deepen their medical knowledge and be up-to-date with current guidelines and trends in world-wide medicine. The fact that our educational articles are written by world-famous scientists determines their innovation and the highest quality.
×
引用
GB/T 7714-2015
复制
MLA
复制
APA
复制
导出至
BibTeX EndNote RefMan NoteFirst NoteExpress
×
提示
您的信息不完整,为了账户安全,请先补充。
现在去补充
×
提示
您因"违规操作"
具体请查看互助需知
我知道了
×
提示
确定
请完成安全验证×
copy
已复制链接
快去分享给好友吧!
我知道了
右上角分享
点击右上角分享
0
联系我们:info@booksci.cn Book学术提供免费学术资源搜索服务,方便国内外学者检索中英文文献。致力于提供最便捷和优质的服务体验。 Copyright © 2023 布克学术 All rights reserved.
京ICP备2023020795号-1
ghs 京公网安备 11010802042870号
Book学术文献互助
Book学术文献互助群
群 号:604180095
Book学术官方微信