Quantitative study and related factors analysis of sciatic neuropathy in type 2 diabetes mellitus patients by elastic imaging virtual tissue imaging quantification technique.

IF 2.5 3区 生物学
Ruixing Liu, Beibei Yu, Gaopan Cao, Lina Ye, Dan Zhang
{"title":"Quantitative study and related factors analysis of sciatic neuropathy in type 2 diabetes mellitus patients by elastic imaging virtual tissue imaging quantification technique.","authors":"Ruixing Liu, Beibei Yu, Gaopan Cao, Lina Ye, Dan Zhang","doi":"10.1186/s41065-025-00565-7","DOIUrl":null,"url":null,"abstract":"<p><strong>Background: </strong>The incidence of diabetic peripheral neuropathy (DPN) is increasing every year for type 2 diabetes mellitus (T2DM) patients, and diabetic polyneuropathy is a common type.</p><p><strong>Objective: </strong>To quantify and analyze the factors associated with diabetic polyneuropathy using the virtual tissue imaging quantification (VTIQ) technique.</p><p><strong>Method: </strong>182 patients with T2DM, 137 patients with diabetic polyneuropathy, and 198 healthy volunteers were included in this retrospective cross-sectional diagnostic study. Sciatic neuropathy was evaluated through Doppler ultrasound examination with a VTIQ quantitative analysis system to acquire elastic modulus, cross-sectional area (CSA) and shear wave velocity (SWV). Nerve conduction velocity (NCV) was also evaluated via neurophysiological examination. Logistic regression was used to analyze odds ratios (OR) related diabetic polyneuropathy. The diagnostic accuracy of the VTIQ technique-acquired index on diabetic polyneuropathy was analyzed using the receiver operating characteristic (ROC) curve.</p><p><strong>Results: </strong>VTIQ technique-acquired indexes all differed significantly among three study groups, among which Elastic modulus and CSA were independently related to diabetic polyneuropathy risk according to the logistic regression analysis. NCV was also an independent risk factor for diabetic polyneuropathy. ROC analysis revealed that Elastic modulus, CSA and NCV can distinguish diabetic polyneuropathy patients from T2DM cases with the AUC of 0.797, 0.654 and 0.775 respectively. But their combination achieved the highest diagnostic value (AUC = 0.883). CSA and SWV of the sciatic nerve are positively correlated with visual analog scale (VAS) scores.</p><p><strong>Conclusion: </strong>VTIQ technology contributes to the diagnosis of diabetic polyneuropathy, it can improve the diagnostic value of neurophysiological examination on sciatic neuropathy for T2DM patients.</p>","PeriodicalId":12862,"journal":{"name":"Hereditas","volume":"162 1","pages":"207"},"PeriodicalIF":2.5000,"publicationDate":"2025-10-10","publicationTypes":"Journal Article","fieldsOfStudy":null,"isOpenAccess":false,"openAccessPdf":"https://www.ncbi.nlm.nih.gov/pmc/articles/PMC12512427/pdf/","citationCount":"0","resultStr":null,"platform":"Semanticscholar","paperid":null,"PeriodicalName":"Hereditas","FirstCategoryId":"99","ListUrlMain":"https://doi.org/10.1186/s41065-025-00565-7","RegionNum":3,"RegionCategory":"生物学","ArticlePicture":[],"TitleCN":null,"AbstractTextCN":null,"PMCID":null,"EPubDate":"","PubModel":"","JCR":"","JCRName":"","Score":null,"Total":0}
引用次数: 0

Abstract

Background: The incidence of diabetic peripheral neuropathy (DPN) is increasing every year for type 2 diabetes mellitus (T2DM) patients, and diabetic polyneuropathy is a common type.

Objective: To quantify and analyze the factors associated with diabetic polyneuropathy using the virtual tissue imaging quantification (VTIQ) technique.

Method: 182 patients with T2DM, 137 patients with diabetic polyneuropathy, and 198 healthy volunteers were included in this retrospective cross-sectional diagnostic study. Sciatic neuropathy was evaluated through Doppler ultrasound examination with a VTIQ quantitative analysis system to acquire elastic modulus, cross-sectional area (CSA) and shear wave velocity (SWV). Nerve conduction velocity (NCV) was also evaluated via neurophysiological examination. Logistic regression was used to analyze odds ratios (OR) related diabetic polyneuropathy. The diagnostic accuracy of the VTIQ technique-acquired index on diabetic polyneuropathy was analyzed using the receiver operating characteristic (ROC) curve.

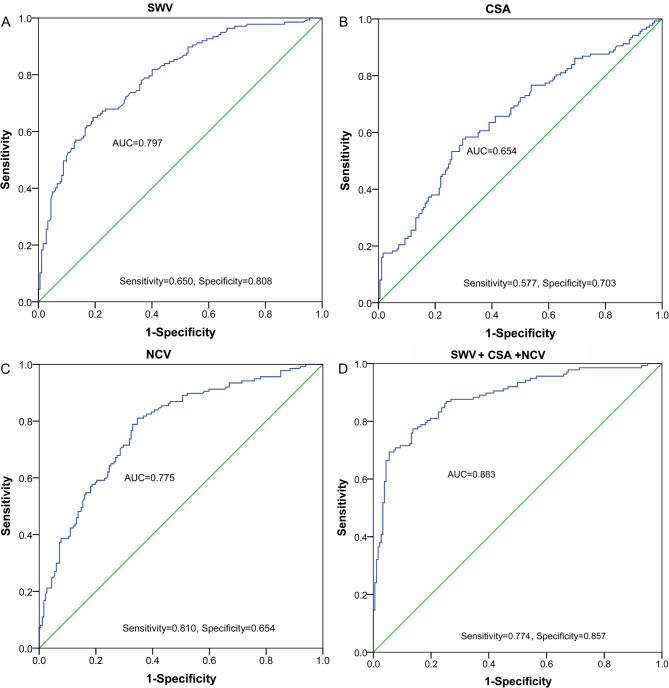
Results: VTIQ technique-acquired indexes all differed significantly among three study groups, among which Elastic modulus and CSA were independently related to diabetic polyneuropathy risk according to the logistic regression analysis. NCV was also an independent risk factor for diabetic polyneuropathy. ROC analysis revealed that Elastic modulus, CSA and NCV can distinguish diabetic polyneuropathy patients from T2DM cases with the AUC of 0.797, 0.654 and 0.775 respectively. But their combination achieved the highest diagnostic value (AUC = 0.883). CSA and SWV of the sciatic nerve are positively correlated with visual analog scale (VAS) scores.

Conclusion: VTIQ technology contributes to the diagnosis of diabetic polyneuropathy, it can improve the diagnostic value of neurophysiological examination on sciatic neuropathy for T2DM patients.

Abstract Image

Abstract Image

Abstract Image

弹性成像虚拟组织成像量化技术对2型糖尿病患者坐骨神经病变的定量研究及相关因素分析。
背景:糖尿病周围神经病变(DPN)在2型糖尿病(T2DM)患者中的发病率逐年上升,其中糖尿病多发神经病变是一种常见的病变类型。目的:应用虚拟组织成像量化(VTIQ)技术对糖尿病多发神经病变的相关因素进行量化分析。方法:对182例T2DM患者、137例糖尿病多发神经病变患者和198名健康志愿者进行回顾性横断面诊断研究。采用VTIQ定量分析系统对坐骨神经病变进行多普勒超声检查,获取弹性模量、横截面积(CSA)和横波速度(SWV)。神经生理检查评估神经传导速度(NCV)。采用Logistic回归分析优势比(OR)相关的糖尿病多发性神经病。采用受试者工作特征(ROC)曲线分析VTIQ技术获得指数对糖尿病多发性神经病变的诊断准确性。结果:三个研究组的VTIQ技术获得指标均有显著性差异,其中弹性模量和CSA与糖尿病多发性神经病变风险独立相关。NCV也是糖尿病多发神经病变的独立危险因素。ROC分析显示,弹性模量、CSA和NCV可以区分糖尿病多发神经病变与T2DM, AUC分别为0.797、0.654和0.775。但两者联合诊断价值最高(AUC = 0.883)。坐骨神经CSA、SWV与视觉模拟评分(VAS)呈正相关。结论:VTIQ技术有助于糖尿病多发神经病变的诊断,可提高神经生理检查对T2DM患者坐骨神经病变的诊断价值。
本文章由计算机程序翻译,如有差异,请以英文原文为准。
求助全文
约1分钟内获得全文 求助全文
来源期刊
Hereditas
Hereditas Biochemistry, Genetics and Molecular Biology-Genetics
CiteScore
3.80
自引率
3.70%
发文量
0
期刊介绍: For almost a century, Hereditas has published original cutting-edge research and reviews. As the Official journal of the Mendelian Society of Lund, the journal welcomes research from across all areas of genetics and genomics. Topics of interest include human and medical genetics, animal and plant genetics, microbial genetics, agriculture and bioinformatics.
×
引用
GB/T 7714-2015
复制
MLA
复制
APA
复制
导出至
BibTeX EndNote RefMan NoteFirst NoteExpress
×
提示
您的信息不完整,为了账户安全,请先补充。
现在去补充
×
提示
您因"违规操作"
具体请查看互助需知
我知道了
×
提示
确定
请完成安全验证×
copy
已复制链接
快去分享给好友吧!
我知道了
右上角分享
点击右上角分享
0
联系我们:info@booksci.cn Book学术提供免费学术资源搜索服务,方便国内外学者检索中英文文献。致力于提供最便捷和优质的服务体验。 Copyright © 2023 布克学术 All rights reserved.
京ICP备2023020795号-1
ghs 京公网安备 11010802042870号
Book学术文献互助
Book学术文献互助群
群 号:604180095
Book学术官方微信