Prediction of Antibiotic Efficacy in Cerebral Hemorrhage-Associated Pneumonia Using Inflammatory Hematological Indices: A Retrospective Study.

IF 4.1 2区 医学 Q2 IMMUNOLOGY
Journal of Inflammation Research Pub Date : 2025-10-04 eCollection Date: 2025-01-01 DOI:10.2147/JIR.S553806
Xian Wang, Xiong Yang, Yuan Yao, Hang Hu, Yongfeng Zhao, Zhansheng Zhu
{"title":"Prediction of Antibiotic Efficacy in Cerebral Hemorrhage-Associated Pneumonia Using Inflammatory Hematological Indices: A Retrospective Study.","authors":"Xian Wang, Xiong Yang, Yuan Yao, Hang Hu, Yongfeng Zhao, Zhansheng Zhu","doi":"10.2147/JIR.S553806","DOIUrl":null,"url":null,"abstract":"<p><strong>Purpose: </strong>The role of inflammatory response in secondary infections following cerebral hemorrhage has attracted considerable attention. We aimed to explore the associations between inflammatory markers and antibiotic efficacy on the cerebral hemorrhage-associated pneumonia.</p><p><strong>Methods: </strong>We conducted a retrospective study including 200 patients with cerebral hemorrhage-associated pneumonia. In the retrospective study, baseline data, blood cell counts, and C-reactive protein (CRP) were collected. The inflammatory markers including neutrophil-lymphocyte ratio (NLR), platelet-lymphocyte ratio (PLR), monocyte-lymphocyte ratio (MLR), systemic immune-inflammatory index (SII) were calculated. The difference between the values at admission and at the time of initial efficacy evaluation was denoted by \"Δ\". These inflammatory markers were examined as potential biomarkers to predict the efficacy of initial antibiotic treatment in finally included patients by univariate analysis and multivariate logistic regression models.</p><p><strong>Results: </strong>In the final analysis, there were 105 cases with effective antibiotic treatment and 95 cases with ineffective antibiotic treatment. At the time of initial efficacy evaluation, there were significant differences in the values of NLR, MLR, PLR, SII, and CRP, P<0.05. Significant differences were also showed in the values of ΔNLR, ΔMLR, and ΔSII, P<0.05. The results of multivariate logistic regression model showed that ΔNLR (OR: 1.260, P=0.016), ΔPLR (OR: 0.985, P=0.008), and CRP (OR: 0.975, P=0.043) at the time of efficacy evaluation were possibly associated with the antibiotic efficacy.</p><p><strong>Conclusion: </strong>ΔNLR, ΔPLR, and CRP at the time of efficacy evaluation appear the promising parameters in guiding antibiotic treatment in patients with cerebral hemorrhage-associated pneumonia. However, large-sample, multicenter external validation studies are still needed.</p>","PeriodicalId":16107,"journal":{"name":"Journal of Inflammation Research","volume":"18 ","pages":"13763-13772"},"PeriodicalIF":4.1000,"publicationDate":"2025-10-04","publicationTypes":"Journal Article","fieldsOfStudy":null,"isOpenAccess":false,"openAccessPdf":"https://www.ncbi.nlm.nih.gov/pmc/articles/PMC12507047/pdf/","citationCount":"0","resultStr":null,"platform":"Semanticscholar","paperid":null,"PeriodicalName":"Journal of Inflammation Research","FirstCategoryId":"3","ListUrlMain":"https://doi.org/10.2147/JIR.S553806","RegionNum":2,"RegionCategory":"医学","ArticlePicture":[],"TitleCN":null,"AbstractTextCN":null,"PMCID":null,"EPubDate":"2025/1/1 0:00:00","PubModel":"eCollection","JCR":"Q2","JCRName":"IMMUNOLOGY","Score":null,"Total":0}
引用次数: 0

Abstract

Purpose: The role of inflammatory response in secondary infections following cerebral hemorrhage has attracted considerable attention. We aimed to explore the associations between inflammatory markers and antibiotic efficacy on the cerebral hemorrhage-associated pneumonia.

Methods: We conducted a retrospective study including 200 patients with cerebral hemorrhage-associated pneumonia. In the retrospective study, baseline data, blood cell counts, and C-reactive protein (CRP) were collected. The inflammatory markers including neutrophil-lymphocyte ratio (NLR), platelet-lymphocyte ratio (PLR), monocyte-lymphocyte ratio (MLR), systemic immune-inflammatory index (SII) were calculated. The difference between the values at admission and at the time of initial efficacy evaluation was denoted by "Δ". These inflammatory markers were examined as potential biomarkers to predict the efficacy of initial antibiotic treatment in finally included patients by univariate analysis and multivariate logistic regression models.

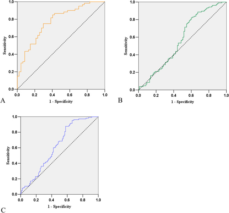
Results: In the final analysis, there were 105 cases with effective antibiotic treatment and 95 cases with ineffective antibiotic treatment. At the time of initial efficacy evaluation, there were significant differences in the values of NLR, MLR, PLR, SII, and CRP, P<0.05. Significant differences were also showed in the values of ΔNLR, ΔMLR, and ΔSII, P<0.05. The results of multivariate logistic regression model showed that ΔNLR (OR: 1.260, P=0.016), ΔPLR (OR: 0.985, P=0.008), and CRP (OR: 0.975, P=0.043) at the time of efficacy evaluation were possibly associated with the antibiotic efficacy.

Conclusion: ΔNLR, ΔPLR, and CRP at the time of efficacy evaluation appear the promising parameters in guiding antibiotic treatment in patients with cerebral hemorrhage-associated pneumonia. However, large-sample, multicenter external validation studies are still needed.

Abstract Image

Abstract Image

Abstract Image

用炎症性血液学指标预测脑出血相关性肺炎抗生素疗效的回顾性研究
目的:炎症反应在脑出血继发感染中的作用已引起广泛关注。我们旨在探讨炎症标志物与抗生素对脑出血相关性肺炎疗效之间的关系。方法:我们对200例脑出血相关性肺炎患者进行回顾性研究。在回顾性研究中,收集基线数据、血细胞计数和c反应蛋白(CRP)。计算炎症标志物中性粒细胞-淋巴细胞比值(NLR)、血小板-淋巴细胞比值(PLR)、单核细胞-淋巴细胞比值(MLR)、全身免疫-炎症指数(SII)。入院时与初次疗效评价时的差值用“Δ”表示。通过单因素分析和多因素logistic回归模型,研究这些炎症标志物作为预测最终纳入患者初始抗生素治疗疗效的潜在生物标志物。结果:抗生素有效治疗105例,无效治疗95例。初步疗效评价时NLR、MLR、PLR、SII、CRP、p值差异有统计学意义。结论:ΔNLR、ΔPLR、疗效评价时CRP是指导脑出血相关性肺炎患者抗生素治疗的有前景的参数。然而,大样本、多中心的外部验证研究仍然是必要的。
本文章由计算机程序翻译,如有差异,请以英文原文为准。
求助全文
约1分钟内获得全文 求助全文
来源期刊
Journal of Inflammation Research
Journal of Inflammation Research Immunology and Microbiology-Immunology
CiteScore
6.10
自引率
2.20%
发文量
658
审稿时长
16 weeks
期刊介绍: An international, peer-reviewed, open access, online journal that welcomes laboratory and clinical findings on the molecular basis, cell biology and pharmacology of inflammation.
×
引用
GB/T 7714-2015
复制
MLA
复制
APA
复制
导出至
BibTeX EndNote RefMan NoteFirst NoteExpress
×
提示
您的信息不完整,为了账户安全,请先补充。
现在去补充
×
提示
您因"违规操作"
具体请查看互助需知
我知道了
×
提示
确定
请完成安全验证×
copy
已复制链接
快去分享给好友吧!
我知道了
右上角分享
点击右上角分享
0
联系我们:info@booksci.cn Book学术提供免费学术资源搜索服务,方便国内外学者检索中英文文献。致力于提供最便捷和优质的服务体验。 Copyright © 2023 布克学术 All rights reserved.
京ICP备2023020795号-1
ghs 京公网安备 11010802042870号
Book学术文献互助
Book学术文献互助群
群 号:604180095
Book学术官方微信