Quantitative ¹³C-urea breath test values predict peptic ulcer risk in Helicobacter pylori -infected children: a retrospective study.

IF 2 3区 医学 Q2 PEDIATRICS
Frontiers in Pediatrics Pub Date : 2025-09-24 eCollection Date: 2025-01-01 DOI:10.3389/fped.2025.1684120
Xiaoting Pan, Youtao Chen, Haibo Li, Hong Ye
{"title":"Quantitative ¹³C-urea breath test values predict peptic ulcer risk in <i>Helicobacter pylori</i> -infected children: a retrospective study.","authors":"Xiaoting Pan, Youtao Chen, Haibo Li, Hong Ye","doi":"10.3389/fped.2025.1684120","DOIUrl":null,"url":null,"abstract":"<p><strong>Background: </strong>The quantitative ¹³C-urea breath test (¹³C-UBT) is valuable for diagnosing <i>Helicobacter pylori</i> (H. pylori) infection. However, pediatric-specific thresholds and their association with peptic ulcer (PU) disease remain inadequately defined. This study aimed to identify optimal pediatric delta over baseline (DOB) thresholds for diagnosing H. pylori infection and explore associations with ulcer risk in children.</p><p><strong>Methods: </strong>In this retrospective study, 1,034 consecutive children aged 3-18 years undergoing ¹³C-UBT with endoscopy and histopathological evaluation at Fujian Children's Hospital (May 2021-May 2025) were enrolled. DOB cutoff values were determined by ROC analysis. Logistic regression and restricted cubic spline (RCS) analyses evaluated associations between DOBs and ulcer risk.</p><p><strong>Results: </strong>The optimal pediatric-specific cutoff was 5.285% [Sensitivity 84%, Specificity 90%, area under the curve (AUC) 0.879]. Children with ulcers had significantly higher median DOBs than those without (3.1% vs. 1.9%; <i>P</i> < 0.001). A clear dose-response trend was observed across DOB quartiles (<i>P</i> < 0.001). Ulcer risk increased with DOB up to approximately 36.39‰, beyond which the risk plateaued.</p><p><strong>Conclusions: </strong>A DOB cutoff of 5.285‰ provides excellent diagnostic accuracy for pediatric <i>H. pylori</i> infection. Higher DOBs correlate strongly with increased bacterial load, mucosal inflammation, and peptic ulcer (PU) risk up to ∼36.39‰, indicating a saturation effect. Quantitative DOB thus offers diagnostic and prognostic utility, supporting its integration into regional pediatric guidelines.</p>","PeriodicalId":12637,"journal":{"name":"Frontiers in Pediatrics","volume":"13 ","pages":"1684120"},"PeriodicalIF":2.0000,"publicationDate":"2025-09-24","publicationTypes":"Journal Article","fieldsOfStudy":null,"isOpenAccess":false,"openAccessPdf":"https://www.ncbi.nlm.nih.gov/pmc/articles/PMC12504025/pdf/","citationCount":"0","resultStr":null,"platform":"Semanticscholar","paperid":null,"PeriodicalName":"Frontiers in Pediatrics","FirstCategoryId":"3","ListUrlMain":"https://doi.org/10.3389/fped.2025.1684120","RegionNum":3,"RegionCategory":"医学","ArticlePicture":[],"TitleCN":null,"AbstractTextCN":null,"PMCID":null,"EPubDate":"2025/1/1 0:00:00","PubModel":"eCollection","JCR":"Q2","JCRName":"PEDIATRICS","Score":null,"Total":0}
引用次数: 0

Abstract

Background: The quantitative ¹³C-urea breath test (¹³C-UBT) is valuable for diagnosing Helicobacter pylori (H. pylori) infection. However, pediatric-specific thresholds and their association with peptic ulcer (PU) disease remain inadequately defined. This study aimed to identify optimal pediatric delta over baseline (DOB) thresholds for diagnosing H. pylori infection and explore associations with ulcer risk in children.

Methods: In this retrospective study, 1,034 consecutive children aged 3-18 years undergoing ¹³C-UBT with endoscopy and histopathological evaluation at Fujian Children's Hospital (May 2021-May 2025) were enrolled. DOB cutoff values were determined by ROC analysis. Logistic regression and restricted cubic spline (RCS) analyses evaluated associations between DOBs and ulcer risk.

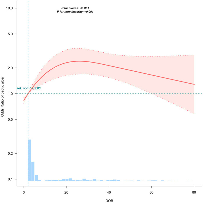
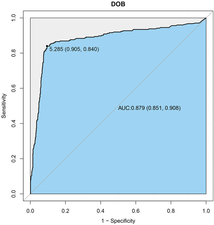
Results: The optimal pediatric-specific cutoff was 5.285% [Sensitivity 84%, Specificity 90%, area under the curve (AUC) 0.879]. Children with ulcers had significantly higher median DOBs than those without (3.1% vs. 1.9%; P < 0.001). A clear dose-response trend was observed across DOB quartiles (P < 0.001). Ulcer risk increased with DOB up to approximately 36.39‰, beyond which the risk plateaued.

Conclusions: A DOB cutoff of 5.285‰ provides excellent diagnostic accuracy for pediatric H. pylori infection. Higher DOBs correlate strongly with increased bacterial load, mucosal inflammation, and peptic ulcer (PU) risk up to ∼36.39‰, indicating a saturation effect. Quantitative DOB thus offers diagnostic and prognostic utility, supporting its integration into regional pediatric guidelines.

Abstract Image

Abstract Image

Abstract Image

定量¹³c -尿素呼气试验值预测幽门螺杆菌感染儿童消化性溃疡风险:一项回顾性研究。
背景:定量¹³c -尿素呼气试验(¹³C-UBT)对诊断幽门螺杆菌(h.p ylori)感染具有重要价值。然而,儿科特异性阈值及其与消化性溃疡(PU)疾病的关系仍然没有充分定义。本研究旨在确定诊断幽门螺杆菌感染的最佳儿童delta超过基线(DOB)阈值,并探讨儿童溃疡风险的相关性。方法:本回顾性研究纳入福建省儿童医院(2021年5月- 2025年5月)连续1034例3-18岁儿童,经内镜及组织病理学评估行¹³C-UBT。采用ROC分析确定DOB截止值。Logistic回归和限制性三次样条(RCS)分析评估了DOBs和溃疡风险之间的关系。结果:最佳儿科特异性临界值为5.285%[敏感性84%,特异性90%,曲线下面积(AUC) 0.879]。有溃疡的儿童的DOB中位数明显高于无溃疡的儿童(3.1% vs. 1.9%)。结论:DOB临界值为5.285‰,对儿童幽门螺杆菌感染的诊断准确性很高。较高的dob与细菌负荷增加、粘膜炎症和消化性溃疡(PU)风险密切相关,最高可达36.39‰,表明饱和效应。定量DOB因此提供诊断和预后效用,支持其纳入地区儿科指南。
本文章由计算机程序翻译,如有差异,请以英文原文为准。
求助全文
约1分钟内获得全文 求助全文
来源期刊
Frontiers in Pediatrics
Frontiers in Pediatrics Medicine-Pediatrics, Perinatology and Child Health
CiteScore
3.60
自引率
7.70%
发文量
2132
审稿时长
14 weeks
期刊介绍: Frontiers in Pediatrics (Impact Factor 2.33) publishes rigorously peer-reviewed research broadly across the field, from basic to clinical research that meets ongoing challenges in pediatric patient care and child health. Field Chief Editors Arjan Te Pas at Leiden University and Michael L. Moritz at the Children''s Hospital of Pittsburgh are supported by an outstanding Editorial Board of international experts. This multidisciplinary open-access journal is at the forefront of disseminating and communicating scientific knowledge and impactful discoveries to researchers, academics, clinicians and the public worldwide. Frontiers in Pediatrics also features Research Topics, Frontiers special theme-focused issues managed by Guest Associate Editors, addressing important areas in pediatrics. In this fashion, Frontiers serves as an outlet to publish the broadest aspects of pediatrics in both basic and clinical research, including high-quality reviews, case reports, editorials and commentaries related to all aspects of pediatrics.
×
引用
GB/T 7714-2015
复制
MLA
复制
APA
复制
导出至
BibTeX EndNote RefMan NoteFirst NoteExpress
×
提示
您的信息不完整,为了账户安全,请先补充。
现在去补充
×
提示
您因"违规操作"
具体请查看互助需知
我知道了
×
提示
确定
请完成安全验证×
copy
已复制链接
快去分享给好友吧!
我知道了
右上角分享
点击右上角分享
0
联系我们:info@booksci.cn Book学术提供免费学术资源搜索服务,方便国内外学者检索中英文文献。致力于提供最便捷和优质的服务体验。 Copyright © 2023 布克学术 All rights reserved.
京ICP备2023020795号-1
ghs 京公网安备 11010802042870号
Book学术文献互助
Book学术文献互助群
群 号:604180095
Book学术官方微信