Risk factors for mortality and development of a predictive model in pediatric sepsis.

IF 2 3区 医学 Q2 PEDIATRICS
Frontiers in Pediatrics Pub Date : 2025-09-22 eCollection Date: 2025-01-01 DOI:10.3389/fped.2025.1661086
Caizhen Wang, Lijie Feng, Xiaohui Yang, Pan Wang, Yuan Chen
{"title":"Risk factors for mortality and development of a predictive model in pediatric sepsis.","authors":"Caizhen Wang, Lijie Feng, Xiaohui Yang, Pan Wang, Yuan Chen","doi":"10.3389/fped.2025.1661086","DOIUrl":null,"url":null,"abstract":"<p><strong>Objective: </strong>To investigate the clinical characteristics and risk factors associated with mortality in pediatric sepsis patients, and to establish a predictive model for early identification of high-risk children.</p><p><strong>Methods: </strong>A retrospective cohort study was conducted including 143 pediatric sepsis cases admitted to the Pediatric Intensive Care Unit of the Second Hospital of Hebei Medical University from January 2020 to December 2024. Clinical data, laboratory indicators, and treatment history were collected. Univariate and multivariate logistic regression analyses were performed to identify risk factors for mortality. A nomogram model was constructed based on significant predictors, and its predictive performance was evaluated by receiver operating characteristic (ROC) curve analysis.</p><p><strong>Results: </strong>Among the 143 cases, 121 survived and 22 died. Significant differences were observed between the survival and death groups in lymphocyte count, platelet count, albumin, D-dimer, liver function tests (ALT, TBIL), CALLY index, and pre-admission glucocorticoid use (<i>P</i> < 0.05). Multivariate analysis identified platelet count (OR = 0.992, 95% CI: 0.987-0.997), D-dimer (OR = 7.571, 95% CI: 2.642-21.698), and CALLY index (OR = 0.532, 95% CI: 0.323-0.877) as independent risk factors for mortality. The nomogram model incorporating these factors showed good predictive accuracy with an area under the ROC curve of 0.859 (95% CI = 0.742-0.953).</p><p><strong>Conclusion: </strong>Platelet count, D-dimer level, and CALLY index are valuable indicators for assessing prognosis in pediatric sepsis and can aid in early risk stratification. The established nomogram provides a useful tool for clinical decision-making to improve outcomes in high-risk pediatric sepsis patients. Further multicenter prospective studies are warranted to validate and refine these findings.</p>","PeriodicalId":12637,"journal":{"name":"Frontiers in Pediatrics","volume":"13 ","pages":"1661086"},"PeriodicalIF":2.0000,"publicationDate":"2025-09-22","publicationTypes":"Journal Article","fieldsOfStudy":null,"isOpenAccess":false,"openAccessPdf":"https://www.ncbi.nlm.nih.gov/pmc/articles/PMC12497786/pdf/","citationCount":"0","resultStr":null,"platform":"Semanticscholar","paperid":null,"PeriodicalName":"Frontiers in Pediatrics","FirstCategoryId":"3","ListUrlMain":"https://doi.org/10.3389/fped.2025.1661086","RegionNum":3,"RegionCategory":"医学","ArticlePicture":[],"TitleCN":null,"AbstractTextCN":null,"PMCID":null,"EPubDate":"2025/1/1 0:00:00","PubModel":"eCollection","JCR":"Q2","JCRName":"PEDIATRICS","Score":null,"Total":0}
引用次数: 0

Abstract

Objective: To investigate the clinical characteristics and risk factors associated with mortality in pediatric sepsis patients, and to establish a predictive model for early identification of high-risk children.

Methods: A retrospective cohort study was conducted including 143 pediatric sepsis cases admitted to the Pediatric Intensive Care Unit of the Second Hospital of Hebei Medical University from January 2020 to December 2024. Clinical data, laboratory indicators, and treatment history were collected. Univariate and multivariate logistic regression analyses were performed to identify risk factors for mortality. A nomogram model was constructed based on significant predictors, and its predictive performance was evaluated by receiver operating characteristic (ROC) curve analysis.

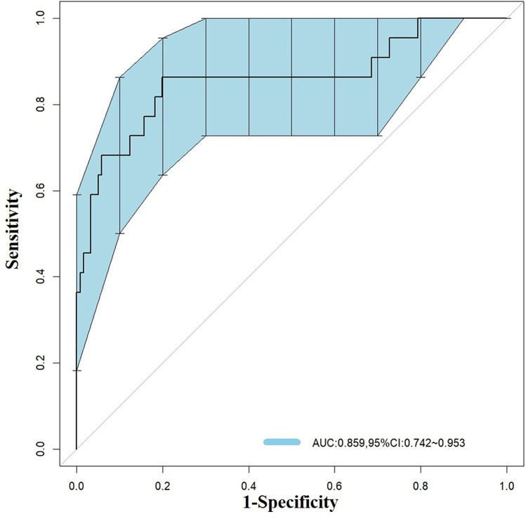
Results: Among the 143 cases, 121 survived and 22 died. Significant differences were observed between the survival and death groups in lymphocyte count, platelet count, albumin, D-dimer, liver function tests (ALT, TBIL), CALLY index, and pre-admission glucocorticoid use (P < 0.05). Multivariate analysis identified platelet count (OR = 0.992, 95% CI: 0.987-0.997), D-dimer (OR = 7.571, 95% CI: 2.642-21.698), and CALLY index (OR = 0.532, 95% CI: 0.323-0.877) as independent risk factors for mortality. The nomogram model incorporating these factors showed good predictive accuracy with an area under the ROC curve of 0.859 (95% CI = 0.742-0.953).

Conclusion: Platelet count, D-dimer level, and CALLY index are valuable indicators for assessing prognosis in pediatric sepsis and can aid in early risk stratification. The established nomogram provides a useful tool for clinical decision-making to improve outcomes in high-risk pediatric sepsis patients. Further multicenter prospective studies are warranted to validate and refine these findings.

Abstract Image

Abstract Image

儿童败血症死亡率的危险因素及预测模型的发展。
目的:探讨儿童脓毒症患者的临床特点及死亡相关危险因素,建立早期识别高危儿童的预测模型。方法:对2020年1月至2024年12月河北医科大学第二医院儿科重症监护室收治的143例儿童败血症患者进行回顾性队列研究。收集临床资料、实验室指标和治疗史。进行单因素和多因素logistic回归分析以确定死亡率的危险因素。基于显著性预测因子构建nomogram模型,并通过受试者工作特征(receiver operating characteristic, ROC)曲线分析评价其预测效果。结果:143例患者中,存活121例,死亡22例。存活组与死亡组在淋巴细胞计数、血小板计数、白蛋白、d -二聚体、肝功能检查(ALT、TBIL)、CALLY指数、入院前糖皮质激素使用等方面存在显著差异(P)。结论:血小板计数、d -二聚体水平和CALLY指数是评估儿童脓毒症预后的重要指标,有助于早期危险分层。建立的nomogram为临床决策提供了一个有用的工具,以改善高危儿童败血症患者的预后。需要进一步的多中心前瞻性研究来验证和完善这些发现。
本文章由计算机程序翻译,如有差异,请以英文原文为准。
求助全文
约1分钟内获得全文 求助全文
来源期刊
Frontiers in Pediatrics
Frontiers in Pediatrics Medicine-Pediatrics, Perinatology and Child Health
CiteScore
3.60
自引率
7.70%
发文量
2132
审稿时长
14 weeks
期刊介绍: Frontiers in Pediatrics (Impact Factor 2.33) publishes rigorously peer-reviewed research broadly across the field, from basic to clinical research that meets ongoing challenges in pediatric patient care and child health. Field Chief Editors Arjan Te Pas at Leiden University and Michael L. Moritz at the Children''s Hospital of Pittsburgh are supported by an outstanding Editorial Board of international experts. This multidisciplinary open-access journal is at the forefront of disseminating and communicating scientific knowledge and impactful discoveries to researchers, academics, clinicians and the public worldwide. Frontiers in Pediatrics also features Research Topics, Frontiers special theme-focused issues managed by Guest Associate Editors, addressing important areas in pediatrics. In this fashion, Frontiers serves as an outlet to publish the broadest aspects of pediatrics in both basic and clinical research, including high-quality reviews, case reports, editorials and commentaries related to all aspects of pediatrics.
×
引用
GB/T 7714-2015
复制
MLA
复制
APA
复制
导出至
BibTeX EndNote RefMan NoteFirst NoteExpress
×
提示
您的信息不完整,为了账户安全,请先补充。
现在去补充
×
提示
您因"违规操作"
具体请查看互助需知
我知道了
×
提示
确定
请完成安全验证×
copy
已复制链接
快去分享给好友吧!
我知道了
右上角分享
点击右上角分享
0
联系我们:info@booksci.cn Book学术提供免费学术资源搜索服务,方便国内外学者检索中英文文献。致力于提供最便捷和优质的服务体验。 Copyright © 2023 布克学术 All rights reserved.
京ICP备2023020795号-1
ghs 京公网安备 11010802042870号
Book学术文献互助
Book学术文献互助群
群 号:604180095
Book学术官方微信