Reversed phase HPLC analysis of mobocertinib and its impurities and studies on the structure and biological activity of a new degradation product.

IF 4.2 3区 化学 Q2 CHEMISTRY, MULTIDISCIPLINARY
Frontiers in Chemistry Pub Date : 2025-09-22 eCollection Date: 2025-01-01 DOI:10.3389/fchem.2025.1659507
Ronghua Ni, Jisu Qin, Wenyi Wu, Jinqiu Xu, Qunfeng Luo, Liangliang Cai
{"title":"Reversed phase HPLC analysis of mobocertinib and its impurities and studies on the structure and biological activity of a new degradation product.","authors":"Ronghua Ni, Jisu Qin, Wenyi Wu, Jinqiu Xu, Qunfeng Luo, Liangliang Cai","doi":"10.3389/fchem.2025.1659507","DOIUrl":null,"url":null,"abstract":"<p><strong>Background: </strong>Mobocertinib, an epidermal growth factor receptor tyrosine kinase inhibitor, is prescribed for the treatment of non-small cell lung cancer characterized by epidermal growth factor receptor exon 20 insertion mutations. The presence of impurities generated during its synthesis or storage may compromise the drug's efficacy and safety. Therefore, a comprehensive investigation of these impurities and the implementation of rigorous quality control measures are of paramount importance. However, robust analytical methods for the simultaneous and accurate detection of mobocertinib and its related impurities are currently lacking.</p><p><strong>Methods: </strong>This study developed a novel reversed-phase high-performance liquid chromatography method (RP-HPLC) for separating and analysing mobocertinib and its impurities. An Agilent 5HC-C18 column (4.6 mm × 250 mm, 5 μm) was used to separate Mobocertinib and its related substances. The mobile phase composition, gradient elution program, and ultraviolet detection wavelength were optimized. Additionally, a new product (imp-A) was found during the forced degradation test. Its structure was elucidated by RP-HPLC, nuclear magnetic resonance (NMR) and high resolution mass spectrometry (HRMS). The biological activity of imp-A was preliminarily evaluated by methyl thiazolyl tetrazolium (MTT) assay.</p><p><strong>Results: </strong>The RP-HPLC method developed in this study was validated in accordance with ICH guidelines, demonstrating satisfactory specificity, precision, stability, repeatability, accuracy, and robustness. The method exhibited good linearity over the concentration range of 0.1-20 μg mL-1. The limits of detection and quantitation for mobocertinib were determined to be 0.02 μg mL-1 and 0.05 μg mL-1, respectively. The structure of imp-A was successfully characterized, and its formation mechanism was elucidated. Furthermore, imp-A was found to inhibit the growth of various tumor cell lines.</p><p><strong>Conclusion: </strong>The developed RP-HPLC method is suitable for the simultaneous detection of mobocertinib and its impurities, providing significant advantages for process development and quality control. Imp-A, a novel compound, demonstrated promising anticancer activity in vitro. However, further in vivo studies are required to fully assess its therapeutic potential, which may hold promise for clinical applications in cancer treatment.</p>","PeriodicalId":12421,"journal":{"name":"Frontiers in Chemistry","volume":"13 ","pages":"1659507"},"PeriodicalIF":4.2000,"publicationDate":"2025-09-22","publicationTypes":"Journal Article","fieldsOfStudy":null,"isOpenAccess":false,"openAccessPdf":"https://www.ncbi.nlm.nih.gov/pmc/articles/PMC12497807/pdf/","citationCount":"0","resultStr":null,"platform":"Semanticscholar","paperid":null,"PeriodicalName":"Frontiers in Chemistry","FirstCategoryId":"92","ListUrlMain":"https://doi.org/10.3389/fchem.2025.1659507","RegionNum":3,"RegionCategory":"化学","ArticlePicture":[],"TitleCN":null,"AbstractTextCN":null,"PMCID":null,"EPubDate":"2025/1/1 0:00:00","PubModel":"eCollection","JCR":"Q2","JCRName":"CHEMISTRY, MULTIDISCIPLINARY","Score":null,"Total":0}
引用次数: 0

Abstract

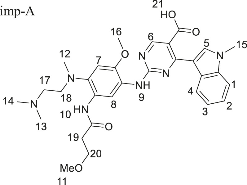
Background: Mobocertinib, an epidermal growth factor receptor tyrosine kinase inhibitor, is prescribed for the treatment of non-small cell lung cancer characterized by epidermal growth factor receptor exon 20 insertion mutations. The presence of impurities generated during its synthesis or storage may compromise the drug's efficacy and safety. Therefore, a comprehensive investigation of these impurities and the implementation of rigorous quality control measures are of paramount importance. However, robust analytical methods for the simultaneous and accurate detection of mobocertinib and its related impurities are currently lacking.

Methods: This study developed a novel reversed-phase high-performance liquid chromatography method (RP-HPLC) for separating and analysing mobocertinib and its impurities. An Agilent 5HC-C18 column (4.6 mm × 250 mm, 5 μm) was used to separate Mobocertinib and its related substances. The mobile phase composition, gradient elution program, and ultraviolet detection wavelength were optimized. Additionally, a new product (imp-A) was found during the forced degradation test. Its structure was elucidated by RP-HPLC, nuclear magnetic resonance (NMR) and high resolution mass spectrometry (HRMS). The biological activity of imp-A was preliminarily evaluated by methyl thiazolyl tetrazolium (MTT) assay.

Results: The RP-HPLC method developed in this study was validated in accordance with ICH guidelines, demonstrating satisfactory specificity, precision, stability, repeatability, accuracy, and robustness. The method exhibited good linearity over the concentration range of 0.1-20 μg mL-1. The limits of detection and quantitation for mobocertinib were determined to be 0.02 μg mL-1 and 0.05 μg mL-1, respectively. The structure of imp-A was successfully characterized, and its formation mechanism was elucidated. Furthermore, imp-A was found to inhibit the growth of various tumor cell lines.

Conclusion: The developed RP-HPLC method is suitable for the simultaneous detection of mobocertinib and its impurities, providing significant advantages for process development and quality control. Imp-A, a novel compound, demonstrated promising anticancer activity in vitro. However, further in vivo studies are required to fully assess its therapeutic potential, which may hold promise for clinical applications in cancer treatment.

Abstract Image

Abstract Image

Abstract Image

莫博塞替尼及其杂质的反相高效液相色谱分析及新降解产物的结构和生物活性研究。
背景:Mobocertinib是一种表皮生长因子受体酪氨酸激酶抑制剂,用于治疗表皮生长因子受体外显子20插入突变为特征的非小细胞肺癌。在其合成或储存过程中产生的杂质的存在可能会损害药物的有效性和安全性。因此,对这些杂质的全面调查和严格的质量控制措施的实施是至关重要的。然而,目前缺乏同时准确检测mobocertinib及其相关杂质的可靠分析方法。方法:建立了一种新型的反相高效液相色谱法(RP-HPLC)分离分析莫博替尼及其杂质。采用Agilent 5HC-C18色谱柱(4.6 mm × 250 mm, 5 μm)分离Mobocertinib及其相关物质。对流动相组成、梯度洗脱方案和紫外检测波长进行了优化。此外,在强制降解试验中发现了一种新的产物(imp-A)。通过反相高效液相色谱(RP-HPLC)、核磁共振(NMR)和高分辨质谱(HRMS)对其结构进行了鉴定。采用甲基噻唑四氮唑(MTT)法初步评价了imp-A的生物活性。结果:本研究建立的RP-HPLC方法符合ICH指南,具有良好的特异性、精密度、稳定性、重复性、准确性和鲁棒性。该方法在0.1 ~ 20 μg mL-1的浓度范围内线性良好。测定mobocertinib的检测限和定量限分别为0.02 μg mL-1和0.05 μg mL-1。成功表征了imp-A的结构,并阐明了其形成机理。此外,imp-A还能抑制多种肿瘤细胞系的生长。结论:所建立的反相高效液相色谱法适用于莫博塞替尼及其杂质的同时检测,为工艺开发和质量控制提供了明显优势。Imp-A是一种新型化合物,在体外显示出良好的抗癌活性。然而,需要进一步的体内研究来充分评估其治疗潜力,这可能为癌症治疗的临床应用带来希望。
本文章由计算机程序翻译,如有差异,请以英文原文为准。
求助全文
约1分钟内获得全文 求助全文
来源期刊
Frontiers in Chemistry
Frontiers in Chemistry Chemistry-General Chemistry
CiteScore
8.50
自引率
3.60%
发文量
1540
审稿时长
12 weeks
期刊介绍: Frontiers in Chemistry is a high visiblity and quality journal, publishing rigorously peer-reviewed research across the chemical sciences. Field Chief Editor Steve Suib at the University of Connecticut is supported by an outstanding Editorial Board of international researchers. This multidisciplinary open-access journal is at the forefront of disseminating and communicating scientific knowledge and impactful discoveries to academics, industry leaders and the public worldwide. Chemistry is a branch of science that is linked to all other main fields of research. The omnipresence of Chemistry is apparent in our everyday lives from the electronic devices that we all use to communicate, to foods we eat, to our health and well-being, to the different forms of energy that we use. While there are many subtopics and specialties of Chemistry, the fundamental link in all these areas is how atoms, ions, and molecules come together and come apart in what some have come to call the “dance of life”. All specialty sections of Frontiers in Chemistry are open-access with the goal of publishing outstanding research publications, review articles, commentaries, and ideas about various aspects of Chemistry. The past forms of publication often have specific subdisciplines, most commonly of analytical, inorganic, organic and physical chemistries, but these days those lines and boxes are quite blurry and the silos of those disciplines appear to be eroding. Chemistry is important to both fundamental and applied areas of research and manufacturing, and indeed the outlines of academic versus industrial research are also often artificial. Collaborative research across all specialty areas of Chemistry is highly encouraged and supported as we move forward. These are exciting times and the field of Chemistry is an important and significant contributor to our collective knowledge.
×
引用
GB/T 7714-2015
复制
MLA
复制
APA
复制
导出至
BibTeX EndNote RefMan NoteFirst NoteExpress
×
提示
您的信息不完整,为了账户安全,请先补充。
现在去补充
×
提示
您因"违规操作"
具体请查看互助需知
我知道了
×
提示
确定
请完成安全验证×
copy
已复制链接
快去分享给好友吧!
我知道了
右上角分享
点击右上角分享
0
联系我们:info@booksci.cn Book学术提供免费学术资源搜索服务,方便国内外学者检索中英文文献。致力于提供最便捷和优质的服务体验。 Copyright © 2023 布克学术 All rights reserved.
京ICP备2023020795号-1
ghs 京公网安备 11010802042870号
Book学术文献互助
Book学术文献互助群
群 号:604180095
Book学术官方微信