Curettage vs Electrodessication for Paediatric Molluscum Contagiosum: Efficacy and Safety Follow-Up Study.

IF 3.7 4区 医学 Q1 DERMATOLOGY
Daniel Hilewitz, Efrat Bar-Ilan, Noa Hadayer, Ayelet Ollech, Tal Kind, Shoshana Greenberger
{"title":"Curettage vs Electrodessication for Paediatric Molluscum Contagiosum: Efficacy and Safety Follow-Up Study.","authors":"Daniel Hilewitz, Efrat Bar-Ilan, Noa Hadayer, Ayelet Ollech, Tal Kind, Shoshana Greenberger","doi":"10.2340/actadv.v105.44300","DOIUrl":null,"url":null,"abstract":"<p><p>Molluscum contagiosum (MC) is a common paediatric cutaneous infection caused by a DNA poxvirus, resulting in lesions that often impair patients' quality of life. Although MC typically resolves spontaneously, parents frequently seek treatment due to cosmetic concerns, pruritus, or fear of lesion spread. Currently, there is no gold standard treatment, and various therapeutic modalities - including curettage and electrodessication (ED) - are utilized in clinical practice. This prospective comparative study aimed to compare efficacy, cosmetic outcome, and patient satisfaction with curettage vs ED as treatment methods in the treatment of MC. The study included 103 paediatric patients presenting with confirmed MC and ≥ 10 lesions (or 5 on face), treated at Sheba Medical Center. Treatment allocation to either curettage or ED was based on guardian preference. Data collected included demographic and clinical characteristics, procedural outcomes, pain levels, and satisfaction ratings. Structured questionnaires were administered 6 weeks post-procedure to evaluate outcomes, including lesion recurrence, infection, remnants, healing duration, and patient/parent satisfaction. Statistical analyses were conducted, with statistical significance defined as p ≤ 0.05. Among the cohort (mean age, 4.37 years; 60% female), 67 (61.7%) patients were treated with curettage and 42 (38.3%) with ED. Most presented with facial lesions (67.96%) and multiple lesion sites (50.5%). Patients treated with curettage reported fewer remnants (42.9% vs 70%, p = 0.007), greater aesthetic satisfaction (p = 0.039), and faster recovery (p = 0.050). Pain levels were comparable between groups, but higher 1-week post-procedure in ED (p = 0.014). Recurrence rates were similar for both methods (49.2% curettage, 35% ED). Curettage offers clear advantages over ED for the treatment of MC, resulting in superior aesthetic outcomes, faster recovery, and lower post-procedural pain. Therefore, curettage should generally be preferred, while ED may be considered for precise interventions in sensitive anatomical areas.</p>","PeriodicalId":6944,"journal":{"name":"Acta dermato-venereologica","volume":"105 ","pages":"adv44300"},"PeriodicalIF":3.7000,"publicationDate":"2025-10-08","publicationTypes":"Journal Article","fieldsOfStudy":null,"isOpenAccess":false,"openAccessPdf":"https://www.ncbi.nlm.nih.gov/pmc/articles/PMC12517206/pdf/","citationCount":"0","resultStr":null,"platform":"Semanticscholar","paperid":null,"PeriodicalName":"Acta dermato-venereologica","FirstCategoryId":"3","ListUrlMain":"https://doi.org/10.2340/actadv.v105.44300","RegionNum":4,"RegionCategory":"医学","ArticlePicture":[],"TitleCN":null,"AbstractTextCN":null,"PMCID":null,"EPubDate":"","PubModel":"","JCR":"Q1","JCRName":"DERMATOLOGY","Score":null,"Total":0}
引用次数: 0

Abstract

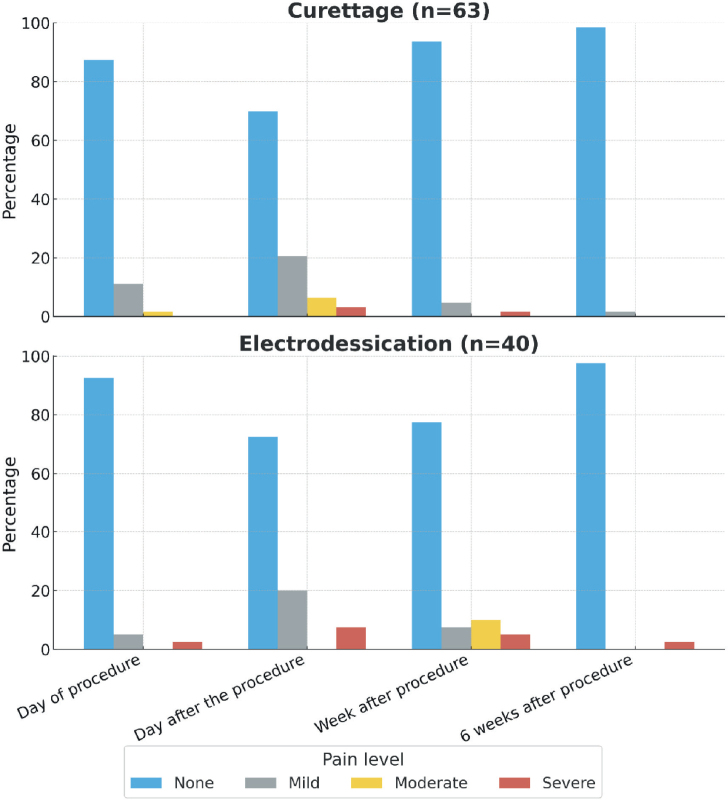
Molluscum contagiosum (MC) is a common paediatric cutaneous infection caused by a DNA poxvirus, resulting in lesions that often impair patients' quality of life. Although MC typically resolves spontaneously, parents frequently seek treatment due to cosmetic concerns, pruritus, or fear of lesion spread. Currently, there is no gold standard treatment, and various therapeutic modalities - including curettage and electrodessication (ED) - are utilized in clinical practice. This prospective comparative study aimed to compare efficacy, cosmetic outcome, and patient satisfaction with curettage vs ED as treatment methods in the treatment of MC. The study included 103 paediatric patients presenting with confirmed MC and ≥ 10 lesions (or 5 on face), treated at Sheba Medical Center. Treatment allocation to either curettage or ED was based on guardian preference. Data collected included demographic and clinical characteristics, procedural outcomes, pain levels, and satisfaction ratings. Structured questionnaires were administered 6 weeks post-procedure to evaluate outcomes, including lesion recurrence, infection, remnants, healing duration, and patient/parent satisfaction. Statistical analyses were conducted, with statistical significance defined as p ≤ 0.05. Among the cohort (mean age, 4.37 years; 60% female), 67 (61.7%) patients were treated with curettage and 42 (38.3%) with ED. Most presented with facial lesions (67.96%) and multiple lesion sites (50.5%). Patients treated with curettage reported fewer remnants (42.9% vs 70%, p = 0.007), greater aesthetic satisfaction (p = 0.039), and faster recovery (p = 0.050). Pain levels were comparable between groups, but higher 1-week post-procedure in ED (p = 0.014). Recurrence rates were similar for both methods (49.2% curettage, 35% ED). Curettage offers clear advantages over ED for the treatment of MC, resulting in superior aesthetic outcomes, faster recovery, and lower post-procedural pain. Therefore, curettage should generally be preferred, while ED may be considered for precise interventions in sensitive anatomical areas.

Abstract Image

Abstract Image

Abstract Image

刮除与电干燥治疗小儿传染性软疣:疗效和安全性随访研究。
传染性软疣(MC)是一种常见的由DNA痘病毒引起的儿科皮肤感染,其病变往往影响患者的生活质量。虽然MC通常会自发消退,但由于担心美容、瘙痒或担心病变扩散,家长经常寻求治疗。目前,没有金标准治疗,各种治疗方式,包括刮痧和电干燥(ED),在临床实践中使用。这项前瞻性比较研究旨在比较刮除术与ED治疗MC的疗效、美容效果和患者满意度。该研究纳入了在Sheba医疗中心接受治疗的103例确诊MC且≥10个病变(或5个面部病变)的儿科患者。治疗分配到刮除或ED是基于监护人的偏好。收集的数据包括人口统计学和临床特征、手术结果、疼痛程度和满意度评分。术后6周进行结构化问卷调查,评估结果,包括病变复发、感染、残留、愈合时间和患者/家长满意度。进行统计学分析,以p≤0.05定义统计学意义。在该队列中(平均年龄4.37岁,60%为女性),67例(61.7%)患者接受刮痧治疗,42例(38.3%)患者接受ED治疗。大多数患者表现为面部病变(67.96%)和多发病变(50.5%)。刮痧治疗的患者报告残留物较少(42.9% vs 70%, p = 0.007),美学满意度更高(p = 0.039),恢复速度更快(p = 0.050)。两组间疼痛水平比较,但术后1周ED患者疼痛水平较高(p = 0.014)。两种方法的复发率相似(刮除49.2%,ED 35%)。刮除术在治疗MC方面明显优于ED,具有更好的美学效果、更快的恢复速度和更低的术后疼痛。因此,刮痧通常是首选,而ED可能被考虑用于敏感解剖区域的精确干预。
本文章由计算机程序翻译,如有差异,请以英文原文为准。
求助全文
约1分钟内获得全文 求助全文
来源期刊
Acta dermato-venereologica
Acta dermato-venereologica 医学-皮肤病学
CiteScore
4.90
自引率
2.80%
发文量
210
审稿时长
6-12 weeks
期刊介绍: Acta Dermato-Venereologica publishes high-quality manuscripts in English in the field of Dermatology and Venereology, dealing with new observations on basic dermatological and venereological research, as well as clinical investigations. Each volume also features a number of Review articles in special areas, as well as short Letters to the Editor to stimulate debate and to disseminate important clinical observations. Acta Dermato-Venereologica has rapid publication times and is amply illustrated with a large number of colour photographs.
×
引用
GB/T 7714-2015
复制
MLA
复制
APA
复制
导出至
BibTeX EndNote RefMan NoteFirst NoteExpress
×
提示
您的信息不完整,为了账户安全,请先补充。
现在去补充
×
提示
您因"违规操作"
具体请查看互助需知
我知道了
×
提示
确定
请完成安全验证×
copy
已复制链接
快去分享给好友吧!
我知道了
右上角分享
点击右上角分享
0
联系我们:info@booksci.cn Book学术提供免费学术资源搜索服务,方便国内外学者检索中英文文献。致力于提供最便捷和优质的服务体验。 Copyright © 2023 布克学术 All rights reserved.
京ICP备2023020795号-1
ghs 京公网安备 11010802042870号
Book学术文献互助
Book学术文献互助群
群 号:604180095
Book学术官方微信