Efficacy and safety of curcumin in patients with hand osteoarthritis: a pilot double-blinded randomised controlled trial.

IF 3.4 2区 医学 Q1 INTEGRATIVE & COMPLEMENTARY MEDICINE
Panithan Tuntiyatorn, Chawanin Lerspongpaibool, Thepparat Kanchanathepsak, Ittirat Watcharananan, Tulyapruek Tawonsawatruk
{"title":"Efficacy and safety of curcumin in patients with hand osteoarthritis: a pilot double-blinded randomised controlled trial.","authors":"Panithan Tuntiyatorn, Chawanin Lerspongpaibool, Thepparat Kanchanathepsak, Ittirat Watcharananan, Tulyapruek Tawonsawatruk","doi":"10.1186/s12906-025-05096-2","DOIUrl":null,"url":null,"abstract":"<p><strong>Background: </strong>Curcumin, a substance in Turmeric spices, has been shown to exhibit anti-inflammatory and chondroprotective properties in several preclinical studies. However, there is limited research on the efficacy and side effects of oral curcumin in treating hand osteoarthritis. Thus, the primary aim of this pilot study was to assess the therapeutic effects and potential adverse effects of curcumin in patients with hand osteoarthritis, specifically in terms of pain reduction, improvement in functional outcomes, and relevant blood test parameters.</p><p><strong>Method: </strong>This pilot prospective double-blind, randomized controlled trial included patients over 50 years old diagnosed with hand osteoarthritis. Participants received a three-month oral administration of either a turmeric capsule containing curcumin (170 mg/day) or a placebo. The outcomes measures included the Visual Analogue Scale (VAS) for pain, the Disabilities of Arm, Shoulder, and Hand (DASH) score, hand grip and pinch strength, as well as side effects and blood tests at one, two, three, and six months.</p><p><strong>Results: </strong>Twenty-seven patients were enrolled in this study-13 in the curcumin group and 14 in the placebo group. Baseline characteristics were similar between both groups. Although patients in the curcumin group showed reductions in VAS pain scores and improvements in DASH scores after one month, the differences were not statistically significant. However, by the third month, patients in the curcumin group demonstrated significant reductions in VAS pain scores at rest and during activity compared to the baseline scores, with mean differences of 1.37 ± 0.64 (p-value = 0.032) and 1.74 ± 0.73 (p-value = 0.017), respectively. Additionally, their DASH scores improved significantly with a mean difference of 11.84 ± 5.88 (p = 0.044). One patient in the curcumin group experienced gastrointestinal (GI) side effects, leading to withdrawal from the study, but no other adverse effects were reported.</p><p><strong>Conclusion: </strong>Based on the results of this pilot study, the authors conclude that a three-month regimen of low-dose oral curcumin may improve pain and functional scores in patients with hand osteoarthritis compared to placebo. However, GI discomfort remains a potential side effect to monitor. Overall, curcumin appears to be a safe and feasible alternative treatment option for hand osteoarthritis, and a larger, definitive randomised controlled trial is warranted.</p><p><strong>Trial registration: </strong>The trial has been registered in the Thai Clinical Trials Registry(TCTR) database. The identification number is TCTR20210929003.</p>","PeriodicalId":9128,"journal":{"name":"BMC Complementary Medicine and Therapies","volume":"25 1","pages":"356"},"PeriodicalIF":3.4000,"publicationDate":"2025-10-06","publicationTypes":"Journal Article","fieldsOfStudy":null,"isOpenAccess":false,"openAccessPdf":"https://www.ncbi.nlm.nih.gov/pmc/articles/PMC12502247/pdf/","citationCount":"0","resultStr":null,"platform":"Semanticscholar","paperid":null,"PeriodicalName":"BMC Complementary Medicine and Therapies","FirstCategoryId":"3","ListUrlMain":"https://doi.org/10.1186/s12906-025-05096-2","RegionNum":2,"RegionCategory":"医学","ArticlePicture":[],"TitleCN":null,"AbstractTextCN":null,"PMCID":null,"EPubDate":"","PubModel":"","JCR":"Q1","JCRName":"INTEGRATIVE & COMPLEMENTARY MEDICINE","Score":null,"Total":0}
引用次数: 0

Abstract

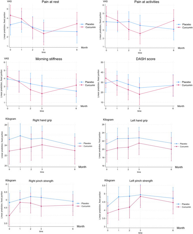
Background: Curcumin, a substance in Turmeric spices, has been shown to exhibit anti-inflammatory and chondroprotective properties in several preclinical studies. However, there is limited research on the efficacy and side effects of oral curcumin in treating hand osteoarthritis. Thus, the primary aim of this pilot study was to assess the therapeutic effects and potential adverse effects of curcumin in patients with hand osteoarthritis, specifically in terms of pain reduction, improvement in functional outcomes, and relevant blood test parameters.

Method: This pilot prospective double-blind, randomized controlled trial included patients over 50 years old diagnosed with hand osteoarthritis. Participants received a three-month oral administration of either a turmeric capsule containing curcumin (170 mg/day) or a placebo. The outcomes measures included the Visual Analogue Scale (VAS) for pain, the Disabilities of Arm, Shoulder, and Hand (DASH) score, hand grip and pinch strength, as well as side effects and blood tests at one, two, three, and six months.

Results: Twenty-seven patients were enrolled in this study-13 in the curcumin group and 14 in the placebo group. Baseline characteristics were similar between both groups. Although patients in the curcumin group showed reductions in VAS pain scores and improvements in DASH scores after one month, the differences were not statistically significant. However, by the third month, patients in the curcumin group demonstrated significant reductions in VAS pain scores at rest and during activity compared to the baseline scores, with mean differences of 1.37 ± 0.64 (p-value = 0.032) and 1.74 ± 0.73 (p-value = 0.017), respectively. Additionally, their DASH scores improved significantly with a mean difference of 11.84 ± 5.88 (p = 0.044). One patient in the curcumin group experienced gastrointestinal (GI) side effects, leading to withdrawal from the study, but no other adverse effects were reported.

Conclusion: Based on the results of this pilot study, the authors conclude that a three-month regimen of low-dose oral curcumin may improve pain and functional scores in patients with hand osteoarthritis compared to placebo. However, GI discomfort remains a potential side effect to monitor. Overall, curcumin appears to be a safe and feasible alternative treatment option for hand osteoarthritis, and a larger, definitive randomised controlled trial is warranted.

Trial registration: The trial has been registered in the Thai Clinical Trials Registry(TCTR) database. The identification number is TCTR20210929003.

Abstract Image

Abstract Image

姜黄素治疗手部骨关节炎的疗效和安全性:一项双盲随机对照试验。
背景:姜黄素是姜黄香料中的一种物质,在一些临床前研究中已被证明具有抗炎和保护软骨的特性。然而,关于口服姜黄素治疗手骨关节炎的疗效和副作用的研究有限。因此,本初步研究的主要目的是评估姜黄素对手骨关节炎患者的治疗效果和潜在的不良影响,特别是在减轻疼痛、改善功能结局和相关血液检查参数方面。方法:这项前瞻性、双盲、随机对照试验纳入50岁以上诊断为手骨关节炎的患者。参与者接受为期三个月的口服姜黄胶囊(含姜黄素170毫克/天)或安慰剂。结果测量包括疼痛的视觉模拟量表(VAS),手臂、肩膀和手的残疾(DASH)评分,手的握力和握力,以及副作用和1、2、3和6个月的血液检查。结果:27名患者参加了这项研究,姜黄素组13名,安慰剂组14名。两组的基线特征相似。虽然姜黄素组患者在1个月后VAS疼痛评分降低,DASH评分改善,但差异无统计学意义。然而,到第三个月,姜黄素组患者在休息和活动时的VAS疼痛评分与基线评分相比显着降低,平均差异分别为1.37±0.64 (p值= 0.032)和1.74±0.73 (p值= 0.017)。DASH评分显著提高,平均差异为11.84±5.88 (p = 0.044)。姜黄素组的一名患者出现胃肠道(GI)副作用,导致退出研究,但没有其他不良反应的报道。结论:基于这项初步研究的结果,作者得出结论,与安慰剂相比,三个月的低剂量口服姜黄素方案可能改善手骨关节炎患者的疼痛和功能评分。然而,胃肠道不适仍然是需要监测的潜在副作用。总的来说,姜黄素似乎是一种安全可行的治疗手部骨关节炎的替代选择,更大的,明确的随机对照试验是有必要的。试验注册:该试验已在泰国临床试验注册中心(TCTR)数据库中注册。识别号为TCTR20210929003。
本文章由计算机程序翻译,如有差异,请以英文原文为准。
求助全文
约1分钟内获得全文 求助全文
来源期刊
BMC Complementary Medicine and Therapies
BMC Complementary Medicine and Therapies INTEGRATIVE & COMPLEMENTARY MEDICINE-
CiteScore
6.10
自引率
2.60%
发文量
300
审稿时长
19 weeks
期刊介绍:
×
引用
GB/T 7714-2015
复制
MLA
复制
APA
复制
导出至
BibTeX EndNote RefMan NoteFirst NoteExpress
×
提示
您的信息不完整,为了账户安全,请先补充。
现在去补充
×
提示
您因"违规操作"
具体请查看互助需知
我知道了
×
提示
确定
请完成安全验证×
copy
已复制链接
快去分享给好友吧!
我知道了
右上角分享
点击右上角分享
0
联系我们:info@booksci.cn Book学术提供免费学术资源搜索服务,方便国内外学者检索中英文文献。致力于提供最便捷和优质的服务体验。 Copyright © 2023 布克学术 All rights reserved.
京ICP备2023020795号-1
ghs 京公网安备 11010802042870号
Book学术文献互助
Book学术文献互助群
群 号:604180095
Book学术官方微信