Lung ultrasound assessment of pulmonary effects of large patent ductus arteriosus in extremely preterm infants beyond the transitional period.

IF 2.9 Q2 Medicine
Thanaa Elhanafy, Nehad Nasef, Jenna Ibrahim, Rana Awadalla, Amish Jain, Adel Mohamed
{"title":"Lung ultrasound assessment of pulmonary effects of large patent ductus arteriosus in extremely preterm infants beyond the transitional period.","authors":"Thanaa Elhanafy, Nehad Nasef, Jenna Ibrahim, Rana Awadalla, Amish Jain, Adel Mohamed","doi":"10.1186/s13089-025-00450-4","DOIUrl":null,"url":null,"abstract":"<p><strong>Background: </strong>Several studies have suggested a positive association between elevated lung ultrasound scores (LUS) and large patent ductus arteriosus (L-PDA), although findings remain inconsistent. Lung ultrasound score, a semi-quantitative measure of pulmonary aeration loss, has been proposed as a surrogate marker of excessive lung fluid, which may reflect the hemodynamic burden of a significant PDA. The aim of this study was to assess the association between LUS and L-PDA in preterm neonates beyond the initial transitional period and examine its correlations with echocardiographic measures of ductal shunting. This is a cohort retrospective study that included preterm infants born at < 29 weeks' gestation who underwent LUS within 24 h of targeted neonatal echocardiography. Infants were categorized as having L-PDA (diameter ≥ 1.5 mm, left-to-right shunt) or no/small PDA (< 1.5 mm). Clinical characteristics, LUS, and echocardiographic parameters including PDA diameter, left atrial-to-aortic root (LA: Ao) ratio, and left ventricular output (LVO) were compared. Statistical analyses included univariate, multivariate, and correlation assessments.</p><p><strong>Results: </strong>Among 119 infants included in the analysis, 56 (47%) had L-PDA, and 63 (53%) had no or small PDA. Infants with L-PDA had significantly lower gestational age and higher rates of invasive ventilation.</p><p><strong>Lus, la: </strong>Ao ratio, and LVO were significantly elevated in the L-PDA group (all p < 0.001). LUS correlated with PDA diameter (r = 0.27, p = 0.003) and respiratory severity score (r = 0.49, p < 0.001). Furthermore, LUS was found to be independently predictive for L-PDA (adjusted OR 1.5; 95% CI: 1.1-1.9). Each 1-point increase in LUS was associated with a 0.14 mm increase in PDA diameter. Inter-rater reliability for LUS was strong (IRR = 0.86).</p><p><strong>Conclusion: </strong>Beyond the transitional period, LUS was significantly associated with PDA size and independently predicted L-PDA in extremely preterm infants.</p>","PeriodicalId":36911,"journal":{"name":"Ultrasound Journal","volume":"17 1","pages":"47"},"PeriodicalIF":2.9000,"publicationDate":"2025-10-06","publicationTypes":"Journal Article","fieldsOfStudy":null,"isOpenAccess":false,"openAccessPdf":"https://www.ncbi.nlm.nih.gov/pmc/articles/PMC12500488/pdf/","citationCount":"0","resultStr":null,"platform":"Semanticscholar","paperid":null,"PeriodicalName":"Ultrasound Journal","FirstCategoryId":"1085","ListUrlMain":"https://doi.org/10.1186/s13089-025-00450-4","RegionNum":0,"RegionCategory":null,"ArticlePicture":[],"TitleCN":null,"AbstractTextCN":null,"PMCID":null,"EPubDate":"","PubModel":"","JCR":"Q2","JCRName":"Medicine","Score":null,"Total":0}
引用次数: 0

Abstract

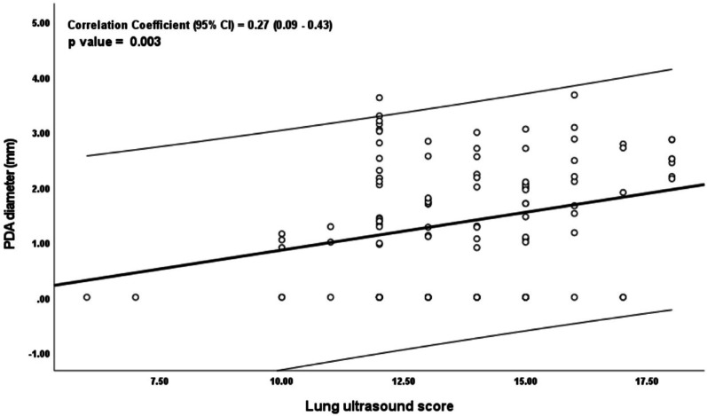
Background: Several studies have suggested a positive association between elevated lung ultrasound scores (LUS) and large patent ductus arteriosus (L-PDA), although findings remain inconsistent. Lung ultrasound score, a semi-quantitative measure of pulmonary aeration loss, has been proposed as a surrogate marker of excessive lung fluid, which may reflect the hemodynamic burden of a significant PDA. The aim of this study was to assess the association between LUS and L-PDA in preterm neonates beyond the initial transitional period and examine its correlations with echocardiographic measures of ductal shunting. This is a cohort retrospective study that included preterm infants born at < 29 weeks' gestation who underwent LUS within 24 h of targeted neonatal echocardiography. Infants were categorized as having L-PDA (diameter ≥ 1.5 mm, left-to-right shunt) or no/small PDA (< 1.5 mm). Clinical characteristics, LUS, and echocardiographic parameters including PDA diameter, left atrial-to-aortic root (LA: Ao) ratio, and left ventricular output (LVO) were compared. Statistical analyses included univariate, multivariate, and correlation assessments.

Results: Among 119 infants included in the analysis, 56 (47%) had L-PDA, and 63 (53%) had no or small PDA. Infants with L-PDA had significantly lower gestational age and higher rates of invasive ventilation.

Lus, la: Ao ratio, and LVO were significantly elevated in the L-PDA group (all p < 0.001). LUS correlated with PDA diameter (r = 0.27, p = 0.003) and respiratory severity score (r = 0.49, p < 0.001). Furthermore, LUS was found to be independently predictive for L-PDA (adjusted OR 1.5; 95% CI: 1.1-1.9). Each 1-point increase in LUS was associated with a 0.14 mm increase in PDA diameter. Inter-rater reliability for LUS was strong (IRR = 0.86).

Conclusion: Beyond the transitional period, LUS was significantly associated with PDA size and independently predicted L-PDA in extremely preterm infants.

Abstract Image

Abstract Image

Abstract Image

超早产儿过渡期后大动脉导管未闭对肺功能的超声评价。
背景:几项研究表明,肺超声评分(LUS)升高与大动脉导管未闭(L-PDA)呈正相关,尽管结果仍不一致。肺超声评分是肺通气损失的半定量指标,已被提议作为肺液过多的替代指标,这可能反映严重PDA的血流动力学负担。本研究的目的是评估超过初始过渡期的早产儿LUS和L-PDA之间的关系,并检查其与导管分流超声心动图测量的相关性。这是一项队列回顾性研究,包括在以下时间出生的早产儿:结果:在纳入分析的119名婴儿中,56名(47%)患有左PDA, 63名(53%)没有或小PDA。L-PDA患儿胎龄较低,有创通气率较高。L-PDA组Lus、la: Ao比值、LVO均显著升高(均p)。结论:过渡期后,Lus与PDA大小显著相关,可独立预测极早产儿L-PDA。
本文章由计算机程序翻译,如有差异,请以英文原文为准。
求助全文
约1分钟内获得全文 求助全文
来源期刊
Ultrasound Journal
Ultrasound Journal Health Professions-Radiological and Ultrasound Technology
CiteScore
6.80
自引率
2.90%
发文量
45
审稿时长
22 weeks
×
引用
GB/T 7714-2015
复制
MLA
复制
APA
复制
导出至
BibTeX EndNote RefMan NoteFirst NoteExpress
×
提示
您的信息不完整,为了账户安全,请先补充。
现在去补充
×
提示
您因"违规操作"
具体请查看互助需知
我知道了
×
提示
确定
请完成安全验证×
copy
已复制链接
快去分享给好友吧!
我知道了
右上角分享
点击右上角分享
0
联系我们:info@booksci.cn Book学术提供免费学术资源搜索服务,方便国内外学者检索中英文文献。致力于提供最便捷和优质的服务体验。 Copyright © 2023 布克学术 All rights reserved.
京ICP备2023020795号-1
ghs 京公网安备 11010802042870号
Book学术文献互助
Book学术文献互助群
群 号:604180095
Book学术官方微信