Development and Validation of Machine Learning Models in Predicting Prognosis of Breast Cancer Patients with Lymph Nodes Metastasis Following Neoadjuvant Chemotherapy.

IF 3.4 4区 医学 Q2 ONCOLOGY
Breast Cancer : Targets and Therapy Pub Date : 2025-09-30 eCollection Date: 2025-01-01 DOI:10.2147/BCTT.S534964
Yanjia Fan, Yudi Jin, Cheng Tian, Yu Zhang, Chi Zhang, Haochen Yu, Shengchun Liu
{"title":"Development and Validation of Machine Learning Models in Predicting Prognosis of Breast Cancer Patients with Lymph Nodes Metastasis Following Neoadjuvant Chemotherapy.","authors":"Yanjia Fan, Yudi Jin, Cheng Tian, Yu Zhang, Chi Zhang, Haochen Yu, Shengchun Liu","doi":"10.2147/BCTT.S534964","DOIUrl":null,"url":null,"abstract":"<p><strong>Background: </strong>Lymph node (LN) status is a critical prognostic factor for breast cancer patients undergoing neoadjuvant chemotherapy (NAC). This study aims to develop and validate machine learning models to predict LN response in breast cancer patients with LN metastases.</p><p><strong>Methods: </strong>Breast cancer patients who received NAC in our hospital were retrospectively analyzed. Clinicopathological data, and MRI imaging were collected. Patients were randomly divided into a training set and a testing set in 7:3 ratio. Radiomic features were extracted from pre-treatment imaging. Random forests and logistic regression were employed alongside Clinical, Clinical-Radiomics and Clinical-Deep-learning-radiomics (Clinical-DLR) in training set. Model performance was evaluated using metrics including sensitivity, specificity, and area under the receiver operating characteristic curve (AUC), accuracy and F1-score. Finally, patients were divided into high-risk and low-risk groups according to the model with the best performance.</p><p><strong>Results: </strong>Overall, 447 patients were enrolled. In the Clinical, Clinical-Radiomics, and Clinical-DLR logistic regression models, the AUC values in the testing set were 0.738, 0.798, and 0.911, respectively. For the random forest models, the AUC values in the testing set were 0.754, 0.801, and 0.921, respectively. Based on the predictions from the Clinical-DLR model, patients can be stratified into high-risk and low-risk groups. The survival outcomes for high-risk patients were significantly worse compared to those of low-risk patients.</p><p><strong>Conclusion: </strong>The deep learning radiomics offers a promising approach to predict LN status and survival outcome in breast cancer patients undergoing NAC. This could facilitate personalized treatment strategies and improve clinical decision-making.</p>","PeriodicalId":9106,"journal":{"name":"Breast Cancer : Targets and Therapy","volume":"17 ","pages":"883-896"},"PeriodicalIF":3.4000,"publicationDate":"2025-09-30","publicationTypes":"Journal Article","fieldsOfStudy":null,"isOpenAccess":false,"openAccessPdf":"https://www.ncbi.nlm.nih.gov/pmc/articles/PMC12495929/pdf/","citationCount":"0","resultStr":null,"platform":"Semanticscholar","paperid":null,"PeriodicalName":"Breast Cancer : Targets and Therapy","FirstCategoryId":"3","ListUrlMain":"https://doi.org/10.2147/BCTT.S534964","RegionNum":4,"RegionCategory":"医学","ArticlePicture":[],"TitleCN":null,"AbstractTextCN":null,"PMCID":null,"EPubDate":"2025/1/1 0:00:00","PubModel":"eCollection","JCR":"Q2","JCRName":"ONCOLOGY","Score":null,"Total":0}
引用次数: 0

Abstract

Background: Lymph node (LN) status is a critical prognostic factor for breast cancer patients undergoing neoadjuvant chemotherapy (NAC). This study aims to develop and validate machine learning models to predict LN response in breast cancer patients with LN metastases.

Methods: Breast cancer patients who received NAC in our hospital were retrospectively analyzed. Clinicopathological data, and MRI imaging were collected. Patients were randomly divided into a training set and a testing set in 7:3 ratio. Radiomic features were extracted from pre-treatment imaging. Random forests and logistic regression were employed alongside Clinical, Clinical-Radiomics and Clinical-Deep-learning-radiomics (Clinical-DLR) in training set. Model performance was evaluated using metrics including sensitivity, specificity, and area under the receiver operating characteristic curve (AUC), accuracy and F1-score. Finally, patients were divided into high-risk and low-risk groups according to the model with the best performance.

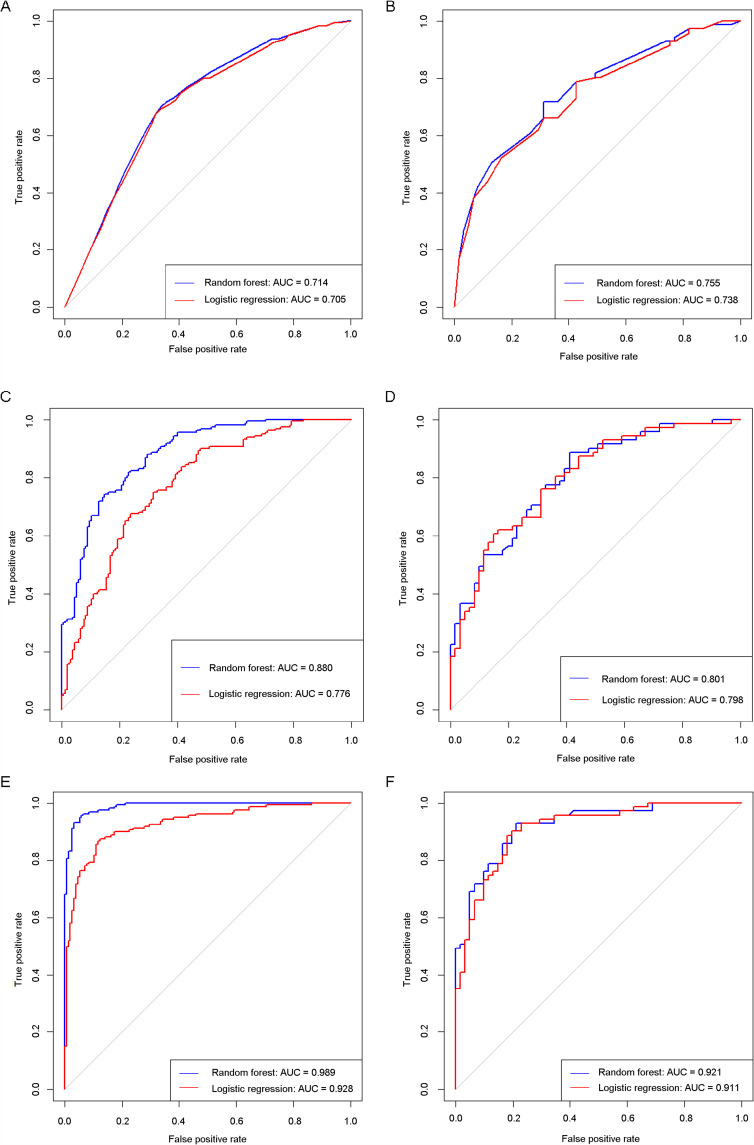
Results: Overall, 447 patients were enrolled. In the Clinical, Clinical-Radiomics, and Clinical-DLR logistic regression models, the AUC values in the testing set were 0.738, 0.798, and 0.911, respectively. For the random forest models, the AUC values in the testing set were 0.754, 0.801, and 0.921, respectively. Based on the predictions from the Clinical-DLR model, patients can be stratified into high-risk and low-risk groups. The survival outcomes for high-risk patients were significantly worse compared to those of low-risk patients.

Conclusion: The deep learning radiomics offers a promising approach to predict LN status and survival outcome in breast cancer patients undergoing NAC. This could facilitate personalized treatment strategies and improve clinical decision-making.

Abstract Image

Abstract Image

Abstract Image

机器学习模型在乳腺癌淋巴结转移患者新辅助化疗后预后预测中的应用
背景:淋巴结(LN)状态是乳腺癌患者接受新辅助化疗(NAC)的关键预后因素。本研究旨在开发和验证机器学习模型,以预测淋巴结转移的乳腺癌患者的淋巴结反应。方法:回顾性分析我院收治的乳腺癌NAC患者的临床资料。收集临床病理资料及MRI影像。将患者按7:3的比例随机分为训练组和测试组。从预处理图像中提取放射学特征。随机森林和逻辑回归与临床,临床放射组学和临床-深度学习放射组学(临床- dlr)在训练集中一起使用。采用敏感性、特异性、受试者工作特征曲线下面积(AUC)、准确性和f1评分等指标评估模型的性能。最后根据表现最佳的模型将患者分为高危组和低危组。结果:共纳入447例患者。在临床、临床-放射组学和临床- dlr logistic回归模型中,测试集的AUC值分别为0.738、0.798和0.911。对于随机森林模型,测试集的AUC值分别为0.754、0.801和0.921。根据临床- dlr模型的预测结果,将患者分为高危组和低危组。高危患者的生存结局明显差于低危患者。结论:深度学习放射组学为预测乳腺癌NAC患者LN状态和生存结果提供了一种很有前景的方法。这可以促进个性化治疗策略和改善临床决策。
本文章由计算机程序翻译,如有差异,请以英文原文为准。
求助全文
约1分钟内获得全文 求助全文
来源期刊
CiteScore
4.10
自引率
0.00%
发文量
40
审稿时长
16 weeks
×
引用
GB/T 7714-2015
复制
MLA
复制
APA
复制
导出至
BibTeX EndNote RefMan NoteFirst NoteExpress
×
提示
您的信息不完整,为了账户安全,请先补充。
现在去补充
×
提示
您因"违规操作"
具体请查看互助需知
我知道了
×
提示
确定
请完成安全验证×
copy
已复制链接
快去分享给好友吧!
我知道了
右上角分享
点击右上角分享
0
联系我们:info@booksci.cn Book学术提供免费学术资源搜索服务,方便国内外学者检索中英文文献。致力于提供最便捷和优质的服务体验。 Copyright © 2023 布克学术 All rights reserved.
京ICP备2023020795号-1
ghs 京公网安备 11010802042870号
Book学术文献互助
Book学术文献互助群
群 号:604180095
Book学术官方微信