Association between living environmental quality and body pain in middle-aged and older adults: a national study in China.

IF 3.2 3区 医学 Q2 PUBLIC, ENVIRONMENTAL & OCCUPATIONAL HEALTH
Shuanglong Hou, Xin Zhao, Rui Liu
{"title":"Association between living environmental quality and body pain in middle-aged and older adults: a national study in China.","authors":"Shuanglong Hou, Xin Zhao, Rui Liu","doi":"10.1186/s13690-025-01732-y","DOIUrl":null,"url":null,"abstract":"<p><strong>Background: </strong>Body pain affecting over 30% of China's aging population, imposes significant socioeconomic burdens, yet environmental determinants remain understudied. This national study investigates associations between multidimensional living environments and pain among middle-aged and older adults.</p><p><strong>Methods: </strong>Using 2011-2020 data from the China Health and Retirement Longitudinal Study (CHARLS), eligible participants were included in cross-sectional and longitudinal analyses. Living environmental quality was assessed via five indicators: building types, household temperatures, water sources, energy sources, and outdoor PM2.5 exposure, categorized into favorable, moderate, and unfavorable. Pain outcomes included upper limb, lower limb, trunk, head and neck, and multisite pain. Logistic and Cox regression models were utilized to examine associations between living environment quality and body pain.</p><p><strong>Results: </strong>Cross-sectionally, unfavorable environments were linked to higher prevalence of single-site (e.g., lower limb OR: 2.05, 95% CI: 1.78-2.37) and multisite pain (OR: 2.02, 95% CI: 1.77-2.32) versus suitable environments, with significant dose-response relationships (all P-values for trend < 0.001). In longitudinal analyses, unfavorable environments increased 9-year incident pain risks: upper limb (HR: 1.30, 95% CI: 1.20-1.41), lower limb (HR: 1.39, 95% CI: 1.28-1.50), trunk (HR: 1.18, 95% CI: 1.09-1.28), head and neck (HR: 1.20, 95% CI: 1.10-1.31), and multisite pain (HR: 1.31, 95% CI: 1.21-1.42), with consistent dose-response patterns (all P-values for trend < 0.001). Kaplan-Meier curves demonstrated a significant difference in pain incidence across different living environment groups within the entire cohort (all P-values for log-rank test < 0.001).</p><p><strong>Conclusions: </strong>Cumulative environmental exposures independently predict pain incidence among middle-aged and older adults in China. Targeted upgrades to the living environment could reduce pain burdens, informing healthy aging policies in China and similar settings.</p>","PeriodicalId":48578,"journal":{"name":"Archives of Public Health","volume":"83 1","pages":"236"},"PeriodicalIF":3.2000,"publicationDate":"2025-10-03","publicationTypes":"Journal Article","fieldsOfStudy":null,"isOpenAccess":false,"openAccessPdf":"https://www.ncbi.nlm.nih.gov/pmc/articles/PMC12495682/pdf/","citationCount":"0","resultStr":null,"platform":"Semanticscholar","paperid":null,"PeriodicalName":"Archives of Public Health","FirstCategoryId":"3","ListUrlMain":"https://doi.org/10.1186/s13690-025-01732-y","RegionNum":3,"RegionCategory":"医学","ArticlePicture":[],"TitleCN":null,"AbstractTextCN":null,"PMCID":null,"EPubDate":"","PubModel":"","JCR":"Q2","JCRName":"PUBLIC, ENVIRONMENTAL & OCCUPATIONAL HEALTH","Score":null,"Total":0}
引用次数: 0

Abstract

Background: Body pain affecting over 30% of China's aging population, imposes significant socioeconomic burdens, yet environmental determinants remain understudied. This national study investigates associations between multidimensional living environments and pain among middle-aged and older adults.

Methods: Using 2011-2020 data from the China Health and Retirement Longitudinal Study (CHARLS), eligible participants were included in cross-sectional and longitudinal analyses. Living environmental quality was assessed via five indicators: building types, household temperatures, water sources, energy sources, and outdoor PM2.5 exposure, categorized into favorable, moderate, and unfavorable. Pain outcomes included upper limb, lower limb, trunk, head and neck, and multisite pain. Logistic and Cox regression models were utilized to examine associations between living environment quality and body pain.

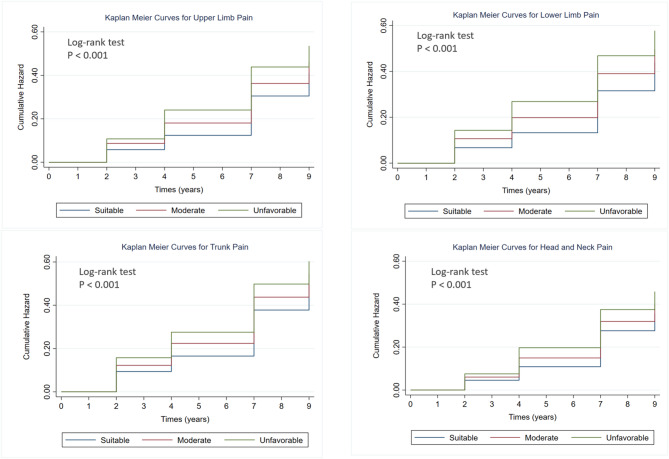
Results: Cross-sectionally, unfavorable environments were linked to higher prevalence of single-site (e.g., lower limb OR: 2.05, 95% CI: 1.78-2.37) and multisite pain (OR: 2.02, 95% CI: 1.77-2.32) versus suitable environments, with significant dose-response relationships (all P-values for trend < 0.001). In longitudinal analyses, unfavorable environments increased 9-year incident pain risks: upper limb (HR: 1.30, 95% CI: 1.20-1.41), lower limb (HR: 1.39, 95% CI: 1.28-1.50), trunk (HR: 1.18, 95% CI: 1.09-1.28), head and neck (HR: 1.20, 95% CI: 1.10-1.31), and multisite pain (HR: 1.31, 95% CI: 1.21-1.42), with consistent dose-response patterns (all P-values for trend < 0.001). Kaplan-Meier curves demonstrated a significant difference in pain incidence across different living environment groups within the entire cohort (all P-values for log-rank test < 0.001).

Conclusions: Cumulative environmental exposures independently predict pain incidence among middle-aged and older adults in China. Targeted upgrades to the living environment could reduce pain burdens, informing healthy aging policies in China and similar settings.

Abstract Image

Abstract Image

生活环境质量与中老年人身体疼痛的关系:中国的一项全国性研究。
背景:身体疼痛影响着中国超过30%的老龄人口,造成了巨大的社会经济负担,但环境决定因素仍未得到充分研究。这项全国性的研究调查了多维生活环境与中老年人疼痛之间的关系。方法:采用2011-2020年中国健康与退休纵向研究(CHARLS)的数据,对符合条件的参与者进行横断面和纵向分析。生活环境质量通过五个指标进行评估:建筑类型、家庭温度、水源、能源和室外PM2.5暴露,分为良好、中等和不利。疼痛结局包括上肢、下肢、躯干、头颈和多部位疼痛。使用Logistic和Cox回归模型来检验生活环境质量与身体疼痛之间的关系。结果:横断面上,与适宜的环境相比,不利的环境与更高的单部位(例如下肢OR: 2.05, 95% CI: 1.78-2.37)和多部位疼痛(OR: 2.02, 95% CI: 1.77-2.32)患病率相关,且具有显著的剂量-反应关系(趋势的所有p值)。结论:累积环境暴露独立预测中国中老年人的疼痛发生率。有针对性的生活环境升级可以减轻疼痛负担,为中国和类似国家的健康老龄化政策提供信息。
本文章由计算机程序翻译,如有差异,请以英文原文为准。
求助全文
约1分钟内获得全文 求助全文
来源期刊
Archives of Public Health
Archives of Public Health Medicine-Public Health, Environmental and Occupational Health
CiteScore
4.80
自引率
3.00%
发文量
244
审稿时长
16 weeks
期刊介绍: rchives of Public Health is a broad scope public health journal, dedicated to publishing all sound science in the field of public health. The journal aims to better the understanding of the health of populations. The journal contributes to public health knowledge, enhances the interaction between research, policy and practice and stimulates public health monitoring and indicator development. The journal considers submissions on health outcomes and their determinants, with clear statements about the public health and policy implications. Archives of Public Health welcomes methodological papers (e.g., on study design and bias), papers on health services research, health economics, community interventions, and epidemiological studies dealing with international comparisons, the determinants of inequality in health, and the environmental, behavioural, social, demographic and occupational correlates of health and diseases.
×
引用
GB/T 7714-2015
复制
MLA
复制
APA
复制
导出至
BibTeX EndNote RefMan NoteFirst NoteExpress
×
提示
您的信息不完整,为了账户安全,请先补充。
现在去补充
×
提示
您因"违规操作"
具体请查看互助需知
我知道了
×
提示
确定
请完成安全验证×
copy
已复制链接
快去分享给好友吧!
我知道了
右上角分享
点击右上角分享
0
联系我们:info@booksci.cn Book学术提供免费学术资源搜索服务,方便国内外学者检索中英文文献。致力于提供最便捷和优质的服务体验。 Copyright © 2023 布克学术 All rights reserved.
京ICP备2023020795号-1
ghs 京公网安备 11010802042870号
Book学术文献互助
Book学术文献互助群
群 号:604180095
Book学术官方微信