Crafting for Health: A Longitudinal Study of Job and Off-Job Crafting Changes during the COVID-19 Pandemic.

IF 2.1 Q3 PSYCHOLOGY, APPLIED
Occupational Health Science Pub Date : 2025-01-01 Epub Date: 2025-02-26 DOI:10.1007/s41542-025-00222-5
Anja Isabel Morstatt, Georg F Bauer, Jessica de Bloom, Zachary J Roman, Martin Tušl, Philipp Kerksieck
{"title":"Crafting for Health: A Longitudinal Study of Job and Off-Job Crafting Changes during the COVID-19 Pandemic.","authors":"Anja Isabel Morstatt, Georg F Bauer, Jessica de Bloom, Zachary J Roman, Martin Tušl, Philipp Kerksieck","doi":"10.1007/s41542-025-00222-5","DOIUrl":null,"url":null,"abstract":"<p><p>We examined the association between changes in employee job and off-job crafting and their self-rated health during the COVID-19 pandemic. Further, we investigated how these associations differed across sample subgroups, contrasting differences in work location, living situation, and contractual changes (short-time work). We used four waves of a longitudinal dataset surveying N<sub>Total</sub> = 783 German-speaking employees from Germany, Switzerland, and Austria from 2019 to 2021. We applied latent change score modeling and multigroup analyses to investigate our research questions. Results indicated that the mean job and off-job crafting and self-rated health trajectories remained relatively stable. However, we observed significant interindividual variance in job and off-job crafting changes. We found a consistent small positive relationship between crafting changes in both life domains over time, indicating that employees tended to change their crafting efforts similarly across domains. Additionally, job crafting increases between Waves 1 and 2 were linked to higher subsequent self-rated health at Wave 2, and similarly, off-job crafting increases between Waves 3 and 4 were linked to higher self-rated health at Wave 4. We observed only minor differences in this pattern across subgroups. Our results show how adaptive changes in crafting are linked to broader interindividual health differences and help identify groups who are not able to increase crafting during crises and thus could benefit from targeted support. Crafting can be an effective individual strategy for maintaining health, complementing organizational and public health measures. We encourage future research to incorporate temporal and contextual phenomena into crafting research.</p><p><strong>Supplementary information: </strong>The online version contains supplementary material available at 10.1007/s41542-025-00222-5.</p>","PeriodicalId":29938,"journal":{"name":"Occupational Health Science","volume":"9 3","pages":"675-710"},"PeriodicalIF":2.1000,"publicationDate":"2025-01-01","publicationTypes":"Journal Article","fieldsOfStudy":null,"isOpenAccess":false,"openAccessPdf":"https://www.ncbi.nlm.nih.gov/pmc/articles/PMC12484252/pdf/","citationCount":"0","resultStr":null,"platform":"Semanticscholar","paperid":null,"PeriodicalName":"Occupational Health Science","FirstCategoryId":"1085","ListUrlMain":"https://doi.org/10.1007/s41542-025-00222-5","RegionNum":0,"RegionCategory":null,"ArticlePicture":[],"TitleCN":null,"AbstractTextCN":null,"PMCID":null,"EPubDate":"2025/2/26 0:00:00","PubModel":"Epub","JCR":"Q3","JCRName":"PSYCHOLOGY, APPLIED","Score":null,"Total":0}
引用次数: 0

Abstract

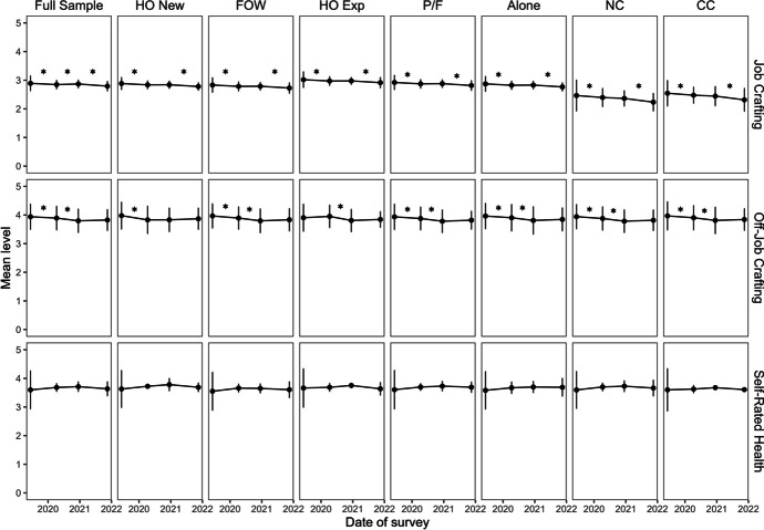
We examined the association between changes in employee job and off-job crafting and their self-rated health during the COVID-19 pandemic. Further, we investigated how these associations differed across sample subgroups, contrasting differences in work location, living situation, and contractual changes (short-time work). We used four waves of a longitudinal dataset surveying NTotal = 783 German-speaking employees from Germany, Switzerland, and Austria from 2019 to 2021. We applied latent change score modeling and multigroup analyses to investigate our research questions. Results indicated that the mean job and off-job crafting and self-rated health trajectories remained relatively stable. However, we observed significant interindividual variance in job and off-job crafting changes. We found a consistent small positive relationship between crafting changes in both life domains over time, indicating that employees tended to change their crafting efforts similarly across domains. Additionally, job crafting increases between Waves 1 and 2 were linked to higher subsequent self-rated health at Wave 2, and similarly, off-job crafting increases between Waves 3 and 4 were linked to higher self-rated health at Wave 4. We observed only minor differences in this pattern across subgroups. Our results show how adaptive changes in crafting are linked to broader interindividual health differences and help identify groups who are not able to increase crafting during crises and thus could benefit from targeted support. Crafting can be an effective individual strategy for maintaining health, complementing organizational and public health measures. We encourage future research to incorporate temporal and contextual phenomena into crafting research.

Supplementary information: The online version contains supplementary material available at 10.1007/s41542-025-00222-5.

Abstract Image

Abstract Image

Abstract Image

健康制作:COVID-19大流行期间工作和非工作制作变化的纵向研究。
我们研究了COVID-19大流行期间员工工作和非工作制作的变化与他们自我评估的健康状况之间的关系。此外,我们调查了这些关联在样本亚组之间的差异,对比了工作地点、生活状况和合同变化(短期工作)的差异。我们使用了四波纵向数据集,从2019年到2021年调查了来自德国、瑞士和奥地利的NTotal = 783名讲德语的员工。我们应用潜在变化评分模型和多组分析来调查我们的研究问题。结果表明,平均工作和非工作制作和自评健康轨迹保持相对稳定。然而,我们观察到工作和非工作制作变化的显著个体间差异。我们发现,随着时间的推移,两种生活领域的工艺变化之间存在一致的小的积极关系,这表明员工倾向于在不同领域相似地改变他们的工艺努力。此外,第1和第2波之间的工作制造增加与第2波更高的自评生命值有关,同样,第3和第4波之间的非工作制造增加与第4波更高的自评生命值有关。我们在不同的亚组中观察到这种模式只有微小的差异。我们的研究结果表明,手工艺的适应性变化如何与更广泛的个体间健康差异联系在一起,并有助于识别在危机期间无法增加手工艺的群体,从而可以从有针对性的支持中受益。手工制作可以作为个人保持健康的有效策略,补充组织和公共卫生措施。我们鼓励未来的研究将时间和背景现象纳入研究中。补充信息:在线版本包含补充资料,可在10.1007/s41542-025-00222-5获得。
本文章由计算机程序翻译,如有差异,请以英文原文为准。
求助全文
约1分钟内获得全文 求助全文
来源期刊
自引率
9.70%
发文量
20
×
引用
GB/T 7714-2015
复制
MLA
复制
APA
复制
导出至
BibTeX EndNote RefMan NoteFirst NoteExpress
×
提示
您的信息不完整,为了账户安全,请先补充。
现在去补充
×
提示
您因"违规操作"
具体请查看互助需知
我知道了
×
提示
确定
请完成安全验证×
copy
已复制链接
快去分享给好友吧!
我知道了
右上角分享
点击右上角分享
0
联系我们:info@booksci.cn Book学术提供免费学术资源搜索服务,方便国内外学者检索中英文文献。致力于提供最便捷和优质的服务体验。 Copyright © 2023 布克学术 All rights reserved.
京ICP备2023020795号-1
ghs 京公网安备 11010802042870号
Book学术文献互助
Book学术文献互助群
群 号:604180095
Book学术官方微信