Comparison of the anti-reflux ileum valve-pouch orthotopic neobladder and the Studer technique after radical cystecomy: surgical and renal functional outcomes.

IF 2.5 3区 医学 Q3 ONCOLOGY
Zaisheng Zhu, Yiyi Zhu, Wenmin Ying, Han Wu, Penfei Zhou, Quanqi Liu, Jianyong Tong, Yueping Wang
{"title":"Comparison of the anti-reflux ileum valve-pouch orthotopic neobladder and the Studer technique after radical cystecomy: surgical and renal functional outcomes.","authors":"Zaisheng Zhu, Yiyi Zhu, Wenmin Ying, Han Wu, Penfei Zhou, Quanqi Liu, Jianyong Tong, Yueping Wang","doi":"10.1186/s12957-025-03699-0","DOIUrl":null,"url":null,"abstract":"<p><strong>Background: </strong>This study describes the construction of an anti-reflux neobladder using an ileum valve-pouch (IVP) and compares its efficacy with that of the modified Studer-pouch (MSP).</p><p><strong>Methods: </strong>This study included a total of 127 patients who underwent radical cystectomy + neobladder construction (IVP: n = 66; MSP = 61) between January 2015 and June 2023 at two major medical centers in our city. Potential bias was reduced by 1:1 propensity score matching (PSM) to compare oncology, complications, and renal function protection between the two groups. The estimated glomerular filtration rate (eGFR) was calculated using the CKD-EPI (Chronic Kidney Disease Epidemiology Collaboration) equation. Survival was assessed using Kaplan-Meier analysis.</p><p><strong>Results: </strong>The median follow-up time was 44.5 and 35.5 months in the IVP and MSP groups, respectively. After propensity scoring, 84 patients (42 in each group) were included in the analysis.There was no significant statistical difference in the operation time(p = 0.128) and the time of urinary diversion (p = 0.354) between the two groups.Kaplan-Meier curves showed no significant differences in cancer-specific survival (CSS) (p = 0.181) and overall survival (OS) (p = 0.611) between the two groups. In addition, the total complications and renal function were not statistically different between the two groups (p > 0.05). The incidence of patients who needed to be re-hospitalized due to urinary tract infection was lower in the VIP group than in the MSP group (p = 0.039). At 12 months postoperatively, lower rates of decreased eGFR and renal function damage were observed in the IVP group compared to the MSP group (p = 0.031 and < 0.001), which were significantly related to the type of neobladder (p = 0.004) and preoperative eGFR values (p < 0.001).</p><p><strong>Conclusion: </strong>The preliminary results of VIP technique are safe and effective. It does not increase the time of anti-reflux construction. The incidence of complications similar in the two groups. However, the protection of renal function at 12 months after surgery seemed to be superior to MSP.The independent factors affecting renal function damage are neobladder type and preoperative eGFR.</p>","PeriodicalId":23856,"journal":{"name":"World Journal of Surgical Oncology","volume":"23 1","pages":"359"},"PeriodicalIF":2.5000,"publicationDate":"2025-10-02","publicationTypes":"Journal Article","fieldsOfStudy":null,"isOpenAccess":false,"openAccessPdf":"https://www.ncbi.nlm.nih.gov/pmc/articles/PMC12492917/pdf/","citationCount":"0","resultStr":null,"platform":"Semanticscholar","paperid":null,"PeriodicalName":"World Journal of Surgical Oncology","FirstCategoryId":"3","ListUrlMain":"https://doi.org/10.1186/s12957-025-03699-0","RegionNum":3,"RegionCategory":"医学","ArticlePicture":[],"TitleCN":null,"AbstractTextCN":null,"PMCID":null,"EPubDate":"","PubModel":"","JCR":"Q3","JCRName":"ONCOLOGY","Score":null,"Total":0}
引用次数: 0

Abstract

Background: This study describes the construction of an anti-reflux neobladder using an ileum valve-pouch (IVP) and compares its efficacy with that of the modified Studer-pouch (MSP).

Methods: This study included a total of 127 patients who underwent radical cystectomy + neobladder construction (IVP: n = 66; MSP = 61) between January 2015 and June 2023 at two major medical centers in our city. Potential bias was reduced by 1:1 propensity score matching (PSM) to compare oncology, complications, and renal function protection between the two groups. The estimated glomerular filtration rate (eGFR) was calculated using the CKD-EPI (Chronic Kidney Disease Epidemiology Collaboration) equation. Survival was assessed using Kaplan-Meier analysis.

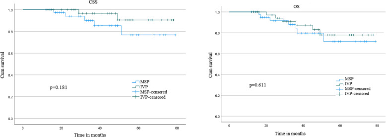
Results: The median follow-up time was 44.5 and 35.5 months in the IVP and MSP groups, respectively. After propensity scoring, 84 patients (42 in each group) were included in the analysis.There was no significant statistical difference in the operation time(p = 0.128) and the time of urinary diversion (p = 0.354) between the two groups.Kaplan-Meier curves showed no significant differences in cancer-specific survival (CSS) (p = 0.181) and overall survival (OS) (p = 0.611) between the two groups. In addition, the total complications and renal function were not statistically different between the two groups (p > 0.05). The incidence of patients who needed to be re-hospitalized due to urinary tract infection was lower in the VIP group than in the MSP group (p = 0.039). At 12 months postoperatively, lower rates of decreased eGFR and renal function damage were observed in the IVP group compared to the MSP group (p = 0.031 and < 0.001), which were significantly related to the type of neobladder (p = 0.004) and preoperative eGFR values (p < 0.001).

Conclusion: The preliminary results of VIP technique are safe and effective. It does not increase the time of anti-reflux construction. The incidence of complications similar in the two groups. However, the protection of renal function at 12 months after surgery seemed to be superior to MSP.The independent factors affecting renal function damage are neobladder type and preoperative eGFR.

Abstract Image

Abstract Image

根治性膀胱切除术后抗反流回肠瓣袋原位新膀胱与Studer技术的比较:手术和肾功能结果。
背景:本研究描述了使用回肠阀袋(IVP)构建抗反流新膀胱,并将其与改良的Studer-pouch (MSP)的效果进行了比较。方法:本研究纳入2015年1月至2023年6月在我市两大医疗中心行根治性膀胱切除术+新膀胱成形术的患者127例(IVP = 66; MSP = 61)。通过1:1的倾向评分匹配(PSM)来减少潜在的偏倚,以比较两组之间的肿瘤、并发症和肾功能保护。估计肾小球滤过率(eGFR)使用CKD-EPI(慢性肾脏疾病流行病学合作)方程计算。生存率采用Kaplan-Meier分析。结果:IVP组和MSP组的中位随访时间分别为44.5个月和35.5个月。倾向评分后,84例患者(每组42例)纳入分析。两组手术时间(p = 0.128)和尿分流时间(p = 0.354)比较,差异均无统计学意义。Kaplan-Meier曲线显示两组肿瘤特异性生存期(CSS) (p = 0.181)和总生存期(OS) (p = 0.611)无显著差异。两组总并发症及肾功能比较,差异无统计学意义(p < 0.05)。VIP组因尿路感染需要再次住院的患者发生率低于MSP组(p = 0.039)。术后12个月,IVP组eGFR下降率和肾功能损害率低于MSP组(p = 0.031)。结论:VIP技术的初步结果是安全有效的。不增加抗返流施工时间。两组并发症发生率相似。然而,术后12个月对肾功能的保护似乎优于MSP。影响肾功能损害的独立因素是新膀胱类型和术前eGFR。
本文章由计算机程序翻译,如有差异,请以英文原文为准。
求助全文
约1分钟内获得全文 求助全文
来源期刊
CiteScore
4.70
自引率
15.60%
发文量
362
审稿时长
3 months
期刊介绍: World Journal of Surgical Oncology publishes articles related to surgical oncology and its allied subjects, such as epidemiology, cancer research, biomarkers, prevention, pathology, radiology, cancer treatment, clinical trials, multimodality treatment and molecular biology. Emphasis is placed on original research articles. The journal also publishes significant clinical case reports, as well as balanced and timely reviews on selected topics. Oncology is a multidisciplinary super-speciality of which surgical oncology forms an integral component, especially with solid tumors. Surgical oncologists around the world are involved in research extending from detecting the mechanisms underlying the causation of cancer, to its treatment and prevention. The role of a surgical oncologist extends across the whole continuum of care. With continued developments in diagnosis and treatment, the role of a surgical oncologist is ever-changing. Hence, World Journal of Surgical Oncology aims to keep readers abreast with latest developments that will ultimately influence the work of surgical oncologists.
×
引用
GB/T 7714-2015
复制
MLA
复制
APA
复制
导出至
BibTeX EndNote RefMan NoteFirst NoteExpress
×
提示
您的信息不完整,为了账户安全,请先补充。
现在去补充
×
提示
您因"违规操作"
具体请查看互助需知
我知道了
×
提示
确定
请完成安全验证×
copy
已复制链接
快去分享给好友吧!
我知道了
右上角分享
点击右上角分享
0
联系我们:info@booksci.cn Book学术提供免费学术资源搜索服务,方便国内外学者检索中英文文献。致力于提供最便捷和优质的服务体验。 Copyright © 2023 布克学术 All rights reserved.
京ICP备2023020795号-1
ghs 京公网安备 11010802042870号
Book学术文献互助
Book学术文献互助群
群 号:604180095
Book学术官方微信