Decreasing Procalcitonin and Its Ratio to Albumin Predict Mortality in Patients with Abdominal Sepsis.

IF 4.1 2区 医学 Q2 IMMUNOLOGY
Journal of Inflammation Research Pub Date : 2025-09-26 eCollection Date: 2025-01-01 DOI:10.2147/JIR.S523827
Qiang Li, Zhuo-Chen Lyu, Le-Le Zhang, Yi-Ran Li, Jia-Ying Chen, Ya-Wei Yuan
{"title":"Decreasing Procalcitonin and Its Ratio to Albumin Predict Mortality in Patients with Abdominal Sepsis.","authors":"Qiang Li, Zhuo-Chen Lyu, Le-Le Zhang, Yi-Ran Li, Jia-Ying Chen, Ya-Wei Yuan","doi":"10.2147/JIR.S523827","DOIUrl":null,"url":null,"abstract":"<p><strong>Purpose: </strong>Abdominal sepsis may act as a life-threatening disease characterized by a dysregulated inflammatory response and nutritional deficits. Given the complex interplay between inflammation and malnutrition, integrating these biomarkers may provide a more comprehensive understanding of patients' outcomes and improve early prognosis in the intensive care unit (ICU). Herein, we report the predictive value of procalcitonin (PCT) and its ratio to albumin (ALB) for mortality of abdominal sepsis patients, aiming to provide more references for clinical disease management.</p><p><strong>Patients and methods: </strong>This is a retrospective study involving one hundred and twenty-four patients diagnosed with abdominal sepsis. Kaplan-Meier survival analysis was utilized to analyze the 30- and 90-day mortality of patients. Univariable and multivariable Cox regression analyses were conducted to confirm the prognostic factors. In addition, ROC analyses were performed to evaluate the diagnostic efficiency.</p><p><strong>Results: </strong>An 80% decrease of PCT within 4 days was identified as a cutoff to predict the 30-day (<i>P</i> = 0.032) and 90-day mortality (<i>P</i> = 0.030) with the help of Kaplan-Meier analysis. In the multivariate Cox regression analysis, the PCT decrease/ALB was an independent prognostic factor for 30-day mortality (<i>P</i> <0.05) and 90-day mortality (<i>P</i> <0.05) before and after adjustment for age, gender, and BMI. Moreover, ROC analysis revealed the significance of PCT and PCT decrease/ALB in predicting 30-day and 90-day mortality.</p><p><strong>Conclusion: </strong>In conclusion, the decrease in PCT and the ratio of PCT decrease/ALB are promising biomarkers to predict mortality in patients with abdominal sepsis.</p>","PeriodicalId":16107,"journal":{"name":"Journal of Inflammation Research","volume":"18 ","pages":"13413-13422"},"PeriodicalIF":4.1000,"publicationDate":"2025-09-26","publicationTypes":"Journal Article","fieldsOfStudy":null,"isOpenAccess":false,"openAccessPdf":"https://www.ncbi.nlm.nih.gov/pmc/articles/PMC12484115/pdf/","citationCount":"0","resultStr":null,"platform":"Semanticscholar","paperid":null,"PeriodicalName":"Journal of Inflammation Research","FirstCategoryId":"3","ListUrlMain":"https://doi.org/10.2147/JIR.S523827","RegionNum":2,"RegionCategory":"医学","ArticlePicture":[],"TitleCN":null,"AbstractTextCN":null,"PMCID":null,"EPubDate":"2025/1/1 0:00:00","PubModel":"eCollection","JCR":"Q2","JCRName":"IMMUNOLOGY","Score":null,"Total":0}
引用次数: 0

Abstract

Purpose: Abdominal sepsis may act as a life-threatening disease characterized by a dysregulated inflammatory response and nutritional deficits. Given the complex interplay between inflammation and malnutrition, integrating these biomarkers may provide a more comprehensive understanding of patients' outcomes and improve early prognosis in the intensive care unit (ICU). Herein, we report the predictive value of procalcitonin (PCT) and its ratio to albumin (ALB) for mortality of abdominal sepsis patients, aiming to provide more references for clinical disease management.

Patients and methods: This is a retrospective study involving one hundred and twenty-four patients diagnosed with abdominal sepsis. Kaplan-Meier survival analysis was utilized to analyze the 30- and 90-day mortality of patients. Univariable and multivariable Cox regression analyses were conducted to confirm the prognostic factors. In addition, ROC analyses were performed to evaluate the diagnostic efficiency.

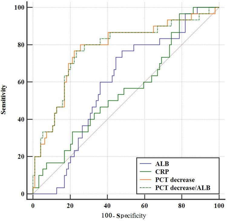
Results: An 80% decrease of PCT within 4 days was identified as a cutoff to predict the 30-day (P = 0.032) and 90-day mortality (P = 0.030) with the help of Kaplan-Meier analysis. In the multivariate Cox regression analysis, the PCT decrease/ALB was an independent prognostic factor for 30-day mortality (P <0.05) and 90-day mortality (P <0.05) before and after adjustment for age, gender, and BMI. Moreover, ROC analysis revealed the significance of PCT and PCT decrease/ALB in predicting 30-day and 90-day mortality.

Conclusion: In conclusion, the decrease in PCT and the ratio of PCT decrease/ALB are promising biomarkers to predict mortality in patients with abdominal sepsis.

Abstract Image

Abstract Image

Abstract Image

降低降钙素原及其与白蛋白的比值预测腹部败血症患者的死亡率。
目的:腹部败血症可能是一种危及生命的疾病,其特征是炎症反应失调和营养缺乏。考虑到炎症和营养不良之间复杂的相互作用,整合这些生物标志物可以更全面地了解患者的预后,并改善重症监护病房(ICU)的早期预后。本文报道降钙素原(PCT)及其与白蛋白(ALB)比值对腹部脓毒症患者死亡率的预测价值,旨在为临床疾病管理提供更多参考。患者和方法:这是一项回顾性研究,涉及124例诊断为腹部败血症的患者。Kaplan-Meier生存分析用于分析患者30天和90天的死亡率。进行单变量和多变量Cox回归分析以确定预后因素。此外,进行ROC分析以评估诊断效率。结果:在Kaplan-Meier分析的帮助下,4天内PCT下降80%被确定为预测30天(P = 0.032)和90天死亡率(P = 0.030)的截止值。在多因素Cox回归分析中,PCT降低/ALB是30天死亡率的独立预后因素(P P结论:PCT降低和PCT降低/ALB比值是预测腹部脓毒症患者死亡率的有希望的生物标志物。
本文章由计算机程序翻译,如有差异,请以英文原文为准。
求助全文
约1分钟内获得全文 求助全文
来源期刊
Journal of Inflammation Research
Journal of Inflammation Research Immunology and Microbiology-Immunology
CiteScore
6.10
自引率
2.20%
发文量
658
审稿时长
16 weeks
期刊介绍: An international, peer-reviewed, open access, online journal that welcomes laboratory and clinical findings on the molecular basis, cell biology and pharmacology of inflammation.
×
引用
GB/T 7714-2015
复制
MLA
复制
APA
复制
导出至
BibTeX EndNote RefMan NoteFirst NoteExpress
×
提示
您的信息不完整,为了账户安全,请先补充。
现在去补充
×
提示
您因"违规操作"
具体请查看互助需知
我知道了
×
提示
确定
请完成安全验证×
copy
已复制链接
快去分享给好友吧!
我知道了
右上角分享
点击右上角分享
0
联系我们:info@booksci.cn Book学术提供免费学术资源搜索服务,方便国内外学者检索中英文文献。致力于提供最便捷和优质的服务体验。 Copyright © 2023 布克学术 All rights reserved.
京ICP备2023020795号-1
ghs 京公网安备 11010802042870号
Book学术文献互助
Book学术文献互助群
群 号:604180095
Book学术官方微信