Observation of anomalous thermal Hall effect in a Kagome superconductor

IF 12.5 1区 综合性期刊 Q1 MULTIDISCIPLINARY SCIENCES
Hiroki Yoshida, Hikaru Takeda, Jian Yan, Yui Kanemori, Brenden R. Ortiz, Yuzki M. Oey, Stephen D. Wilson, Marcin Konczykowski, Kota Ishihara, Takasada Shibauchi, Minoru Yamashita
{"title":"Observation of anomalous thermal Hall effect in a Kagome superconductor","authors":"Hiroki Yoshida,&nbsp;Hikaru Takeda,&nbsp;Jian Yan,&nbsp;Yui Kanemori,&nbsp;Brenden R. Ortiz,&nbsp;Yuzki M. Oey,&nbsp;Stephen D. Wilson,&nbsp;Marcin Konczykowski,&nbsp;Kota Ishihara,&nbsp;Takasada Shibauchi,&nbsp;Minoru Yamashita","doi":"10.1126/sciadv.adu2973","DOIUrl":null,"url":null,"abstract":"<div >Broken time-reversal symmetry (TRS) in superconductors can induce not only spontaneous magnetization by the finite angular momentum of Cooper pairs but also the anomalous thermal Hall effects (ATHEs), whose detection has been extremely challenging. Here, we report the successful observation of an ATHE developing below the superconducting transition temperature at zero magnetic field in the kagome-lattice superconductor CsV<sub>3</sub>Sb<sub>5</sub>. This finding is verified by the absence of a signal in a conventional type-II superconductor using the same setup and by ruling out the trapped-vortex effects through micro-Hall array measurements. Both the temperature dependence and the magnitude of the observed anomalous thermal Hall conductivity are quite different from those expected for the quantized thermal edge current of an intrinsic ATHE but consistent with extrinsic impurity-induced ATHEs in chiral superconductivity. Our study of ATHE offers an alternative approach to probe TRS breaking in the superconducting states.</div>","PeriodicalId":21609,"journal":{"name":"Science Advances","volume":"11 40","pages":""},"PeriodicalIF":12.5000,"publicationDate":"2025-10-03","publicationTypes":"Journal Article","fieldsOfStudy":null,"isOpenAccess":false,"openAccessPdf":"https://www.science.org/doi/reader/10.1126/sciadv.adu2973","citationCount":"0","resultStr":null,"platform":"Semanticscholar","paperid":null,"PeriodicalName":"Science Advances","FirstCategoryId":"103","ListUrlMain":"https://www.science.org/doi/10.1126/sciadv.adu2973","RegionNum":1,"RegionCategory":"综合性期刊","ArticlePicture":[],"TitleCN":null,"AbstractTextCN":null,"PMCID":null,"EPubDate":"","PubModel":"","JCR":"Q1","JCRName":"MULTIDISCIPLINARY SCIENCES","Score":null,"Total":0}
引用次数: 0

Abstract

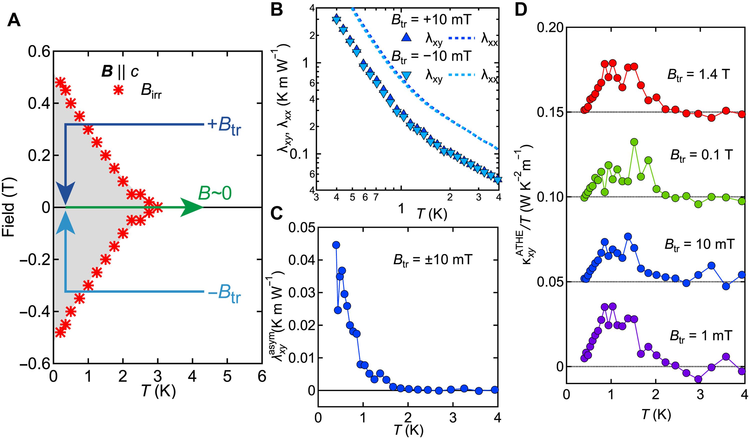
Broken time-reversal symmetry (TRS) in superconductors can induce not only spontaneous magnetization by the finite angular momentum of Cooper pairs but also the anomalous thermal Hall effects (ATHEs), whose detection has been extremely challenging. Here, we report the successful observation of an ATHE developing below the superconducting transition temperature at zero magnetic field in the kagome-lattice superconductor CsV3Sb5. This finding is verified by the absence of a signal in a conventional type-II superconductor using the same setup and by ruling out the trapped-vortex effects through micro-Hall array measurements. Both the temperature dependence and the magnitude of the observed anomalous thermal Hall conductivity are quite different from those expected for the quantized thermal edge current of an intrinsic ATHE but consistent with extrinsic impurity-induced ATHEs in chiral superconductivity. Our study of ATHE offers an alternative approach to probe TRS breaking in the superconducting states.

Abstract Image

Kagome超导体中反常热霍尔效应的观察
超导体中破缺的时间反转对称性(TRS)不仅会引起库珀对有限角动量的自发磁化,而且还会引起异常热霍尔效应(ATHEs),这是一个极具挑战性的探测问题。在这里,我们报道了在kagome晶格超导体CsV 3sb5中,在零磁场下,在超导转变温度以下发展的ATHE的成功观察。通过使用相同的装置,在传统的ii型超导体中没有信号,并通过微霍尔阵列测量排除了困涡效应,这一发现得到了验证。观察到的温度依赖性和异常热霍尔电导率的大小与本征热边电流量子化的预期值有很大不同,但与手性超导中外来杂质诱导的异常热霍尔电导率一致。我们对ATHE的研究提供了另一种方法来探测超导状态下的TRS断裂。
本文章由计算机程序翻译,如有差异,请以英文原文为准。
求助全文
约1分钟内获得全文 求助全文
来源期刊
Science Advances
Science Advances 综合性期刊-综合性期刊
CiteScore
21.40
自引率
1.50%
发文量
1937
审稿时长
29 weeks
期刊介绍: Science Advances, an open-access journal by AAAS, publishes impactful research in diverse scientific areas. It aims for fair, fast, and expert peer review, providing freely accessible research to readers. Led by distinguished scientists, the journal supports AAAS's mission by extending Science magazine's capacity to identify and promote significant advances. Evolving digital publishing technologies play a crucial role in advancing AAAS's global mission for science communication and benefitting humankind.
×
引用
GB/T 7714-2015
复制
MLA
复制
APA
复制
导出至
BibTeX EndNote RefMan NoteFirst NoteExpress
×
提示
您的信息不完整,为了账户安全,请先补充。
现在去补充
×
提示
您因"违规操作"
具体请查看互助需知
我知道了
×
提示
确定
请完成安全验证×
copy
已复制链接
快去分享给好友吧!
我知道了
右上角分享
点击右上角分享
0
联系我们:info@booksci.cn Book学术提供免费学术资源搜索服务,方便国内外学者检索中英文文献。致力于提供最便捷和优质的服务体验。 Copyright © 2023 布克学术 All rights reserved.
京ICP备2023020795号-1
ghs 京公网安备 11010802042870号
Book学术文献互助
Book学术文献互助群
群 号:604180095
Book学术官方微信