Fine particulate matter exposure and risk of scooter collisions among older adults.

IF 2.2 3区 医学 Q2 PUBLIC, ENVIRONMENTAL & OCCUPATIONAL HEALTH
Hsuan-Min Kao, Yi-Ching Lo, Chung-Yi Li, I-Lin Hsu, Yu-Tai Lo, Hon-Ping Ma, Ping-Ling Chen, Pei-Yi Wong, Chih-Da Wu, Muhammad Atoillah Isfandiari, Yun-Kai Wen, Ya-Hui Chang
{"title":"Fine particulate matter exposure and risk of scooter collisions among older adults.","authors":"Hsuan-Min Kao, Yi-Ching Lo, Chung-Yi Li, I-Lin Hsu, Yu-Tai Lo, Hon-Ping Ma, Ping-Ling Chen, Pei-Yi Wong, Chih-Da Wu, Muhammad Atoillah Isfandiari, Yun-Kai Wen, Ya-Hui Chang","doi":"10.1186/s40621-025-00620-x","DOIUrl":null,"url":null,"abstract":"<p><strong>Background: </strong>With the global rise in the aging population, ensuring safe mobility for older adults is an urgent public health concern. In Taiwan, scooters are widely used by older individuals, yet the impact of air pollution, particularly fine particulate matter (PM<sub>2.5</sub>), on their traffic safety remains poorly understood. This study investigated the short-term association between PM<sub>2.5</sub> exposure and the risk of scooter collisions among older adults.</p><p><strong>Methods: </strong>We conducted a nationwide time-series analysis using Taiwan's Police-Reported Traffic Accident Registry and air quality monitoring data from 2023. The study included 58,181 scooter riders aged ≥ 65 years involved in collisions. Daily PM<sub>2.5</sub> concentrations were derived from over 70 monitoring stations. We applied distributed lag non-linear models (DLNM) with a negative binomial distribution to estimate the association between PM<sub>2.5</sub> exposure and daily scooter collision counts, adjusting for meteorological variables, co-pollutants (NO₂ and SO₂), and temporal variables. The models accounted for both same-day exposure and cumulative effect of exposure across lag periods of up to 14 days.</p><p><strong>Results: </strong>We found that 159 older adults were involved in scooter collisions per day on average, with a mean PM<sub>2.5</sub> level of 13.4 µg/m³. A non-linear exposure-response relationship was observed, with rate ratios increased at PM<sub>2.5</sub> levels ≥ 20 µg/m³, particularly over longer lag periods. The highest risk estimate was observed for 15-day cumulative exposure at 31 µg/m³ (rate ratio = 2.357; 95% CI: 1.419-3.914). In contrast, same-day exposure showed a limited association with collision risk.</p><p><strong>Conclusions: </strong>These findings suggest that prolonged exposure to elevated PM<sub>2.5</sub> may increase the risk of scooter collisions among older adults, highlighting the need to integrate air quality considerations into traffic safety strategies for aging populations.</p>","PeriodicalId":37379,"journal":{"name":"Injury Epidemiology","volume":"12 1","pages":"65"},"PeriodicalIF":2.2000,"publicationDate":"2025-10-01","publicationTypes":"Journal Article","fieldsOfStudy":null,"isOpenAccess":false,"openAccessPdf":"https://www.ncbi.nlm.nih.gov/pmc/articles/PMC12486730/pdf/","citationCount":"0","resultStr":null,"platform":"Semanticscholar","paperid":null,"PeriodicalName":"Injury Epidemiology","FirstCategoryId":"3","ListUrlMain":"https://doi.org/10.1186/s40621-025-00620-x","RegionNum":3,"RegionCategory":"医学","ArticlePicture":[],"TitleCN":null,"AbstractTextCN":null,"PMCID":null,"EPubDate":"","PubModel":"","JCR":"Q2","JCRName":"PUBLIC, ENVIRONMENTAL & OCCUPATIONAL HEALTH","Score":null,"Total":0}
引用次数: 0

Abstract

Background: With the global rise in the aging population, ensuring safe mobility for older adults is an urgent public health concern. In Taiwan, scooters are widely used by older individuals, yet the impact of air pollution, particularly fine particulate matter (PM2.5), on their traffic safety remains poorly understood. This study investigated the short-term association between PM2.5 exposure and the risk of scooter collisions among older adults.

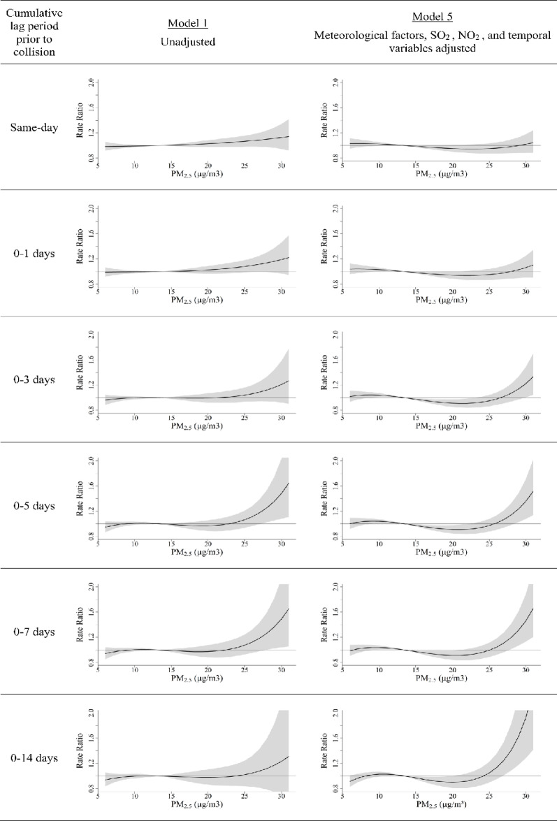
Methods: We conducted a nationwide time-series analysis using Taiwan's Police-Reported Traffic Accident Registry and air quality monitoring data from 2023. The study included 58,181 scooter riders aged ≥ 65 years involved in collisions. Daily PM2.5 concentrations were derived from over 70 monitoring stations. We applied distributed lag non-linear models (DLNM) with a negative binomial distribution to estimate the association between PM2.5 exposure and daily scooter collision counts, adjusting for meteorological variables, co-pollutants (NO₂ and SO₂), and temporal variables. The models accounted for both same-day exposure and cumulative effect of exposure across lag periods of up to 14 days.

Results: We found that 159 older adults were involved in scooter collisions per day on average, with a mean PM2.5 level of 13.4 µg/m³. A non-linear exposure-response relationship was observed, with rate ratios increased at PM2.5 levels ≥ 20 µg/m³, particularly over longer lag periods. The highest risk estimate was observed for 15-day cumulative exposure at 31 µg/m³ (rate ratio = 2.357; 95% CI: 1.419-3.914). In contrast, same-day exposure showed a limited association with collision risk.

Conclusions: These findings suggest that prolonged exposure to elevated PM2.5 may increase the risk of scooter collisions among older adults, highlighting the need to integrate air quality considerations into traffic safety strategies for aging populations.

Abstract Image

Abstract Image

老年人中细颗粒物暴露与滑板车碰撞风险
背景:随着全球老龄化人口的增加,确保老年人的安全行动是一个紧迫的公共卫生问题。在台湾,老年人广泛使用滑板车,但空气污染,特别是细颗粒物(PM2.5)对他们交通安全的影响仍然知之甚少。这项研究调查了PM2.5暴露与老年人滑板车碰撞风险之间的短期联系。方法:我们使用台湾警方报告的交通事故登记和2023年的空气质量监测数据进行了全国范围的时间序列分析。该研究包括58,181名年龄≥65岁的滑板车驾驶员。每日PM2.5浓度来自70多个监测站。我们应用负二项分布的分布滞后非线性模型(DLNM)来估计PM2.5暴露与每日滑板车碰撞次数之间的关系,调整了气象变量、共污染物(NO₂和SO₂)和时间变量。这些模型既考虑了当天的暴露,也考虑了长达14天的滞后期暴露的累积效应。结果:我们发现平均每天有159名老年人涉及滑板车碰撞,平均PM2.5水平为13.4µg/m³。观察到非线性暴露-响应关系,PM2.5水平≥20µg/m³时,速率比增加,特别是在较长的滞后期。在31 μ g/m³的15天累积暴露中观察到最高的风险估计(比率比= 2.357;95% CI: 1.419-3.914)。相比之下,当天暴露与碰撞风险的关联有限。结论:这些研究结果表明,长时间暴露在PM2.5浓度升高的环境中可能会增加老年人摩托车碰撞的风险,这凸显了将空气质量因素纳入老年人交通安全策略的必要性。
本文章由计算机程序翻译,如有差异,请以英文原文为准。
求助全文
约1分钟内获得全文 求助全文
来源期刊
Injury Epidemiology
Injury Epidemiology Medicine-Medicine (all)
CiteScore
3.20
自引率
4.50%
发文量
34
审稿时长
13 weeks
期刊介绍: Injury Epidemiology is dedicated to advancing the scientific foundation for injury prevention and control through timely publication and dissemination of peer-reviewed research. Injury Epidemiology aims to be the premier venue for communicating epidemiologic studies of unintentional and intentional injuries, including, but not limited to, morbidity and mortality from motor vehicle crashes, drug overdose/poisoning, falls, drowning, fires/burns, iatrogenic injury, suicide, homicide, assaults, and abuse. We welcome investigations designed to understand the magnitude, distribution, determinants, causes, prevention, diagnosis, treatment, prognosis, and outcomes of injuries in specific population groups, geographic regions, and environmental settings (e.g., home, workplace, transport, recreation, sports, and urban/rural). Injury Epidemiology has a special focus on studies generating objective and practical knowledge that can be translated into interventions to reduce injury morbidity and mortality on a population level. Priority consideration will be given to manuscripts that feature contemporary theories and concepts, innovative methods, and novel techniques as applied to injury surveillance, risk assessment, development and implementation of effective interventions, and program and policy evaluation.
×
引用
GB/T 7714-2015
复制
MLA
复制
APA
复制
导出至
BibTeX EndNote RefMan NoteFirst NoteExpress
×
提示
您的信息不完整,为了账户安全,请先补充。
现在去补充
×
提示
您因"违规操作"
具体请查看互助需知
我知道了
×
提示
确定
请完成安全验证×
copy
已复制链接
快去分享给好友吧!
我知道了
右上角分享
点击右上角分享
0
联系我们:info@booksci.cn Book学术提供免费学术资源搜索服务,方便国内外学者检索中英文文献。致力于提供最便捷和优质的服务体验。 Copyright © 2023 布克学术 All rights reserved.
京ICP备2023020795号-1
ghs 京公网安备 11010802042870号
Book学术文献互助
Book学术文献互助群
群 号:604180095
Book学术官方微信