Effects of surgery and CPAP on cardiovascular health in patients with obstructive sleep apnea.

IF 3.4 3区 医学 Q2 MEDICINE, RESEARCH & EXPERIMENTAL
Nai-Chen Shih, Chien-Han Tsao, Yu-Hsun Wang, James Cheng-Chung Wei
{"title":"Effects of surgery and CPAP on cardiovascular health in patients with obstructive sleep apnea.","authors":"Nai-Chen Shih, Chien-Han Tsao, Yu-Hsun Wang, James Cheng-Chung Wei","doi":"10.1186/s40001-025-03132-y","DOIUrl":null,"url":null,"abstract":"<p><strong>Purpose: </strong>This study aimed to assess and compare the risks of cardiovascular disease and mortality in individuals with obstructive sleep apnea (OSA) undergoing treatment with either continuous positive airway pressure (CPAP) or upper airway surgery (UAS).</p><p><strong>Methods: </strong>Using the TriNetX database, we identified 1,477,746 OSA patients between 2014 and 2019. In total 3638 matched pairs of patients were selected, based on their propensity scores, with one group having received UAS and the other having received CPAP therapy. The Cox proportional hazards models were used to compare the risk of major adverse cardiovascular events (MACEs) between the two groups. Subgroup analyses based on age, sex, race, and BMI categories were conducted to validate the findings.</p><p><strong>Results: </strong>After propensity score matching, the UAS group had significantly lower risks of all-cause mortality (HR 0.45; 95% CI 0.33-0.59) and MACEs (HR 0.61; 95% CI 0.49-0.75) compared to the CPAP group. Subgroup analyses revealed that both male and female patients treated with UAS were associated with lower risks of all-cause mortality and MACEs. White individuals and those with BMI < 30 or ≥ 30, with age < 65 in the UAS group, consistently exhibited lower risks of all-cause mortality and MACEs.</p><p><strong>Conclusions: </strong>Patients with OSA receiving UAS were associated with lower risks of all-cause mortality and MACEs compared to those on CPAP. Subgroup analyses revealed variations in benefits, with lower risks of mortality and MACEs observed across different genders, age groups, racial backgrounds, and BMI categories within the UAS-treated population.</p>","PeriodicalId":11949,"journal":{"name":"European Journal of Medical Research","volume":"30 1","pages":"923"},"PeriodicalIF":3.4000,"publicationDate":"2025-10-01","publicationTypes":"Journal Article","fieldsOfStudy":null,"isOpenAccess":false,"openAccessPdf":"https://www.ncbi.nlm.nih.gov/pmc/articles/PMC12487084/pdf/","citationCount":"0","resultStr":null,"platform":"Semanticscholar","paperid":null,"PeriodicalName":"European Journal of Medical Research","FirstCategoryId":"3","ListUrlMain":"https://doi.org/10.1186/s40001-025-03132-y","RegionNum":3,"RegionCategory":"医学","ArticlePicture":[],"TitleCN":null,"AbstractTextCN":null,"PMCID":null,"EPubDate":"","PubModel":"","JCR":"Q2","JCRName":"MEDICINE, RESEARCH & EXPERIMENTAL","Score":null,"Total":0}
引用次数: 0

Abstract

Purpose: This study aimed to assess and compare the risks of cardiovascular disease and mortality in individuals with obstructive sleep apnea (OSA) undergoing treatment with either continuous positive airway pressure (CPAP) or upper airway surgery (UAS).

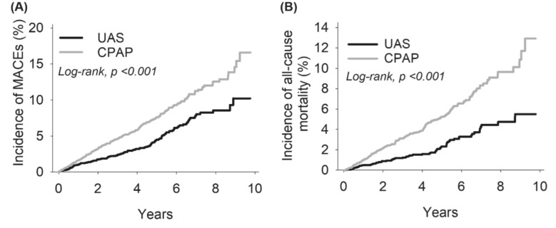
Methods: Using the TriNetX database, we identified 1,477,746 OSA patients between 2014 and 2019. In total 3638 matched pairs of patients were selected, based on their propensity scores, with one group having received UAS and the other having received CPAP therapy. The Cox proportional hazards models were used to compare the risk of major adverse cardiovascular events (MACEs) between the two groups. Subgroup analyses based on age, sex, race, and BMI categories were conducted to validate the findings.

Results: After propensity score matching, the UAS group had significantly lower risks of all-cause mortality (HR 0.45; 95% CI 0.33-0.59) and MACEs (HR 0.61; 95% CI 0.49-0.75) compared to the CPAP group. Subgroup analyses revealed that both male and female patients treated with UAS were associated with lower risks of all-cause mortality and MACEs. White individuals and those with BMI < 30 or ≥ 30, with age < 65 in the UAS group, consistently exhibited lower risks of all-cause mortality and MACEs.

Conclusions: Patients with OSA receiving UAS were associated with lower risks of all-cause mortality and MACEs compared to those on CPAP. Subgroup analyses revealed variations in benefits, with lower risks of mortality and MACEs observed across different genders, age groups, racial backgrounds, and BMI categories within the UAS-treated population.

Abstract Image

Abstract Image

Abstract Image

手术和CPAP对阻塞性睡眠呼吸暂停患者心血管健康的影响。
目的:本研究旨在评估和比较接受持续气道正压通气(CPAP)或上呼吸道手术(UAS)治疗的阻塞性睡眠呼吸暂停(OSA)患者心血管疾病和死亡率的风险。方法:使用TriNetX数据库,我们在2014年至2019年期间确定了1,477,746例OSA患者。根据他们的倾向得分,总共选择了3638对匹配的患者,其中一组接受了UAS,另一组接受了CPAP治疗。采用Cox比例风险模型比较两组主要不良心血管事件(mace)的风险。进行了基于年龄、性别、种族和BMI类别的亚组分析来验证研究结果。结果:倾向评分匹配后,与CPAP组相比,UAS组的全因死亡率(HR 0.45; 95% CI 0.33-0.59)和mace (HR 0.61; 95% CI 0.49-0.75)的风险显著降低。亚组分析显示,接受UAS治疗的男性和女性患者的全因死亡率和mace风险均较低。结论:与接受CPAP的OSA患者相比,接受UAS的OSA患者的全因死亡率和mace风险较低。亚组分析揭示了获益的差异,在接受uas治疗的人群中,不同性别、年龄组、种族背景和BMI类别观察到的死亡率和mace风险较低。
本文章由计算机程序翻译,如有差异,请以英文原文为准。
求助全文
约1分钟内获得全文 求助全文
来源期刊
European Journal of Medical Research
European Journal of Medical Research 医学-医学:研究与实验
CiteScore
3.20
自引率
0.00%
发文量
247
审稿时长
>12 weeks
期刊介绍: European Journal of Medical Research publishes translational and clinical research of international interest across all medical disciplines, enabling clinicians and other researchers to learn about developments and innovations within these disciplines and across the boundaries between disciplines. The journal publishes high quality research and reviews and aims to ensure that the results of all well-conducted research are published, regardless of their outcome.
×
引用
GB/T 7714-2015
复制
MLA
复制
APA
复制
导出至
BibTeX EndNote RefMan NoteFirst NoteExpress
×
提示
您的信息不完整,为了账户安全,请先补充。
现在去补充
×
提示
您因"违规操作"
具体请查看互助需知
我知道了
×
提示
确定
请完成安全验证×
copy
已复制链接
快去分享给好友吧!
我知道了
右上角分享
点击右上角分享
0
联系我们:info@booksci.cn Book学术提供免费学术资源搜索服务,方便国内外学者检索中英文文献。致力于提供最便捷和优质的服务体验。 Copyright © 2023 布克学术 All rights reserved.
京ICP备2023020795号-1
ghs 京公网安备 11010802042870号
Book学术文献互助
Book学术文献互助群
群 号:604180095
Book学术官方微信