The influencing factors of cognitive dysfunction in patients after cardiac surgery and the construction of a nomogram prediction model.

IF 3.4 3区 医学 Q2 MEDICINE, RESEARCH & EXPERIMENTAL
Ani Zhao, Yanchun Peng, Lingyu Lin, Liangwan Chen, Yanjuan Lin
{"title":"The influencing factors of cognitive dysfunction in patients after cardiac surgery and the construction of a nomogram prediction model.","authors":"Ani Zhao, Yanchun Peng, Lingyu Lin, Liangwan Chen, Yanjuan Lin","doi":"10.1186/s40001-025-02949-x","DOIUrl":null,"url":null,"abstract":"<p><strong>Background: </strong>Early detection of cognitive dysfunction (POCD) in patients undergoing cardiac surgery may help improve the prognosis and quality of life. Identifying risk factors and clinically relevant factors is critical for prevention and treatment.</p><p><strong>Methods: </strong>This study retrospectively selected 305 patients admitted to the cardiac surgery Department of Union Hospital Affiliated with Fujian Medical University from January 2024 to July 2024 as the study objects. The cognitive function of the patients was assessed by the Montreal Cognitive Assessment Scale (MOCA) before and on the 6th day after surgery, and the patients were divided into a cognitive dysfunction group and a non-cognitive dysfunction group. Logistic regression was used to analyze the risk factors of POCD in patients undergoing cardiac surgery. R software was used to construct the nomogram model of POCD in heart patients.</p><p><strong>Results: </strong>Logistic regression model was used to screen the included variables, and the final results showed age (OR = 2.670, 95%CI 1.675-4.255, P < 0.001), white blood cell count (OR = 1.155, 95%CI 1.050-1.271, P = 0.009), lymphocytes (OR = 2.200, 95%CI 1.512-3.200, P < 0.001), and hemoglobin (OR = 1.020, 95%CI 1.009-1.032, P < 0.001) were independent risk factors for POCD on day 6 in patients undergoing cardiac surgery. The predicted value of the calibration curve of POCD on the 6th day of cardiac surgery was consistent with the actual value, and the Hosmer-Lemeshow goodness-of-fit test (χ<sup>2</sup> = 8.73, P = 0.36 > 0.05) showed good consistency. The area under the ROC curve is 0.80, with a good differentiation and decision curve.</p><p><strong>Conclusions: </strong>Age, white blood cell count, lymphocyte, and hemoglobin are independent risk factors for POCD on day 6 of cardiac surgery. The nomogram prediction model constructed in this study has good predictive ability.</p>","PeriodicalId":11949,"journal":{"name":"European Journal of Medical Research","volume":"30 1","pages":"925"},"PeriodicalIF":3.4000,"publicationDate":"2025-10-01","publicationTypes":"Journal Article","fieldsOfStudy":null,"isOpenAccess":false,"openAccessPdf":"https://www.ncbi.nlm.nih.gov/pmc/articles/PMC12486628/pdf/","citationCount":"0","resultStr":null,"platform":"Semanticscholar","paperid":null,"PeriodicalName":"European Journal of Medical Research","FirstCategoryId":"3","ListUrlMain":"https://doi.org/10.1186/s40001-025-02949-x","RegionNum":3,"RegionCategory":"医学","ArticlePicture":[],"TitleCN":null,"AbstractTextCN":null,"PMCID":null,"EPubDate":"","PubModel":"","JCR":"Q2","JCRName":"MEDICINE, RESEARCH & EXPERIMENTAL","Score":null,"Total":0}
引用次数: 0

Abstract

Background: Early detection of cognitive dysfunction (POCD) in patients undergoing cardiac surgery may help improve the prognosis and quality of life. Identifying risk factors and clinically relevant factors is critical for prevention and treatment.

Methods: This study retrospectively selected 305 patients admitted to the cardiac surgery Department of Union Hospital Affiliated with Fujian Medical University from January 2024 to July 2024 as the study objects. The cognitive function of the patients was assessed by the Montreal Cognitive Assessment Scale (MOCA) before and on the 6th day after surgery, and the patients were divided into a cognitive dysfunction group and a non-cognitive dysfunction group. Logistic regression was used to analyze the risk factors of POCD in patients undergoing cardiac surgery. R software was used to construct the nomogram model of POCD in heart patients.

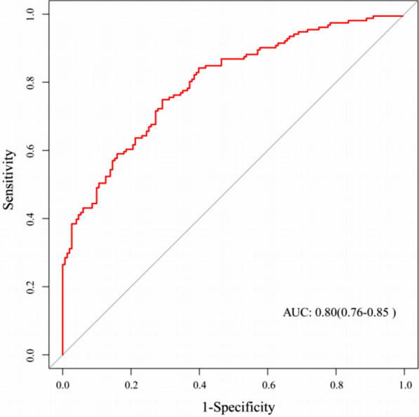
Results: Logistic regression model was used to screen the included variables, and the final results showed age (OR = 2.670, 95%CI 1.675-4.255, P < 0.001), white blood cell count (OR = 1.155, 95%CI 1.050-1.271, P = 0.009), lymphocytes (OR = 2.200, 95%CI 1.512-3.200, P < 0.001), and hemoglobin (OR = 1.020, 95%CI 1.009-1.032, P < 0.001) were independent risk factors for POCD on day 6 in patients undergoing cardiac surgery. The predicted value of the calibration curve of POCD on the 6th day of cardiac surgery was consistent with the actual value, and the Hosmer-Lemeshow goodness-of-fit test (χ2 = 8.73, P = 0.36 > 0.05) showed good consistency. The area under the ROC curve is 0.80, with a good differentiation and decision curve.

Conclusions: Age, white blood cell count, lymphocyte, and hemoglobin are independent risk factors for POCD on day 6 of cardiac surgery. The nomogram prediction model constructed in this study has good predictive ability.

Abstract Image

Abstract Image

Abstract Image

心脏手术后患者认知功能障碍的影响因素及nomogram预测模型的建立。
背景:早期发现心脏手术患者的认知功能障碍(POCD)可能有助于改善预后和生活质量。确定危险因素和临床相关因素对预防和治疗至关重要。方法:本研究回顾性选择2024年1月至2024年7月福建医科大学附属协和医院心脏外科收治的305例患者作为研究对象。术前及术后第6天采用蒙特利尔认知评估量表(MOCA)对患者进行认知功能评估,并将患者分为认知功能障碍组和非认知功能障碍组。采用Logistic回归分析心脏手术患者发生POCD的危险因素。采用R软件构建心绞痛患者POCD的nomogram模型。结果:采用Logistic回归模型筛选纳入变量,最终结果显示年龄(OR = 2.670, 95%CI 1.675 ~ 4.255, P 2 = 8.73, P = 0.36 bb0 0.05)具有较好的一致性。ROC曲线下面积为0.80,具有良好的判别和决策曲线。结论:年龄、白细胞计数、淋巴细胞和血红蛋白是心脏手术第6天发生POCD的独立危险因素。本研究构建的nomogram预测模型具有较好的预测能力。
本文章由计算机程序翻译,如有差异,请以英文原文为准。
求助全文
约1分钟内获得全文 求助全文
来源期刊
European Journal of Medical Research
European Journal of Medical Research 医学-医学:研究与实验
CiteScore
3.20
自引率
0.00%
发文量
247
审稿时长
>12 weeks
期刊介绍: European Journal of Medical Research publishes translational and clinical research of international interest across all medical disciplines, enabling clinicians and other researchers to learn about developments and innovations within these disciplines and across the boundaries between disciplines. The journal publishes high quality research and reviews and aims to ensure that the results of all well-conducted research are published, regardless of their outcome.
×
引用
GB/T 7714-2015
复制
MLA
复制
APA
复制
导出至
BibTeX EndNote RefMan NoteFirst NoteExpress
×
提示
您的信息不完整,为了账户安全,请先补充。
现在去补充
×
提示
您因"违规操作"
具体请查看互助需知
我知道了
×
提示
确定
请完成安全验证×
copy
已复制链接
快去分享给好友吧!
我知道了
右上角分享
点击右上角分享
0
联系我们:info@booksci.cn Book学术提供免费学术资源搜索服务,方便国内外学者检索中英文文献。致力于提供最便捷和优质的服务体验。 Copyright © 2023 布克学术 All rights reserved.
京ICP备2023020795号-1
ghs 京公网安备 11010802042870号
Book学术文献互助
Book学术文献互助群
群 号:604180095
Book学术官方微信